Номер 27.33, страница 135 - гдз по алгебре 10 класс сборник задач Арефьева, Пирютко

Алгебра, 10 класс Сборник задач, авторы: Арефьева Ирина Глебовна, Пирютко Ольга Николаевна, издательство Народная асвета, Минск, 2020, белого цвета

Авторы: Арефьева И. Г., Пирютко О. Н.

Тип: Сборник задач

Издательство: Народная асвета

Год издания: 2020 - 2025

Уровень обучения: базовый и повышенный

Цвет обложки: белый, голубой с графиком

Допущено Министерством образования Республики Беларусь

Популярные ГДЗ в 10 классе

Глава 5. Производная. Параграф 27. Геометрический смысл производной. Связь между знаком производной функции и ее возрастанием или убыванием - номер 27.33, страница 135.

№27.33 (с. 135)
Условие. №27.33 (с. 135)
скриншот условия
Алгебра, 10 класс Сборник задач, авторы: Арефьева Ирина Глебовна, Пирютко Ольга Николаевна, издательство Народная асвета, Минск, 2020, белого цвета, страница 135, номер 27.33, Условие

27.33. Найдите все значения $m$, при которых функция $f(x)=(9-8m^2-m^4)x^3+5x$ возрастает на всей числовой прямой.

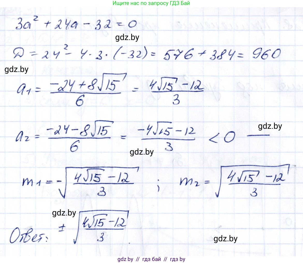
Решение. №27.33 (с. 135)
Алгебра, 10 класс Сборник задач, авторы: Арефьева Ирина Глебовна, Пирютко Ольга Николаевна, издательство Народная асвета, Минск, 2020, белого цвета, страница 135, номер 27.33, Решение Алгебра, 10 класс Сборник задач, авторы: Арефьева Ирина Глебовна, Пирютко Ольга Николаевна, издательство Народная асвета, Минск, 2020, белого цвета, страница 135, номер 27.33, Решение (продолжение 2)
Решение 2. №27.33 (с. 135)

Для того чтобы функция $f(x)$ возрастала на всей числовой прямой, необходимо и достаточно, чтобы её производная $f'(x)$ была неотрицательной для всех действительных значений $x$, то есть $f'(x) \ge 0$ для всех $x \in \mathbb{R}$.

Данная функция: $f(x) = (9 - 8m^2 - m^4)x^3 + 5x$.

Найдем ее производную: $f'(x) = ((9 - 8m^2 - m^4)x^3 + 5x)' = 3(9 - 8m^2 - m^4)x^2 + 5$.

Теперь наложим условие $f'(x) \ge 0$: $3(9 - 8m^2 - m^4)x^2 + 5 \ge 0$.

Это неравенство должно выполняться для любого значения $x$. Выражение $f'(x)$ является квадратичной функцией от $x$ вида $Ax^2+C$, где $A = 3(9 - 8m^2 - m^4)$ и $C = 5$.

Рассмотрим два случая для коэффициента $A$.

1. Если коэффициент при $x^2$ неотрицателен, то есть $A \ge 0$, то $A x^2 \ge 0$ для любого $x$, так как $x^2 \ge 0$. Тогда $f'(x) = Ax^2 + 5 \ge 0 + 5 = 5$. Неравенство $f'(x) \ge 0$ выполняется для всех $x$. Найдем значения $m$, при которых $A \ge 0$: $3(9 - 8m^2 - m^4) \ge 0$ $9 - 8m^2 - m^4 \ge 0$ Умножим на $-1$ и сменим знак неравенства: $m^4 + 8m^2 - 9 \le 0$.

Сделаем замену переменной. Пусть $t = m^2$. Так как $m^2 \ge 0$, то и $t \ge 0$. Неравенство принимает вид: $t^2 + 8t - 9 \le 0$.

Найдем корни квадратного трехчлена $t^2 + 8t - 9 = 0$. По теореме Виета, корни $t_1 = 1$ и $t_2 = -9$. Так как ветви параболы $y = t^2 + 8t - 9$ направлены вверх, неравенство $t^2 + 8t - 9 \le 0$ выполняется при $t \in [-9, 1]$.

Учитывая условие $t \ge 0$, получаем $0 \le t \le 1$. Вернемся к переменной $m$: $0 \le m^2 \le 1$. Неравенство $m^2 \ge 0$ выполняется всегда. Неравенство $m^2 \le 1$ равносильно $|m| \le 1$, что дает $-1 \le m \le 1$.

2. Если коэффициент при $x^2$ отрицателен, то есть $A < 0$, то график функции $y = Ax^2 + 5$ — парабола с ветвями, направленными вниз. Ее вершина находится в точке $(0, 5)$. При достаточно больших по модулю значениях $x$, значения функции $y$ становятся отрицательными. Следовательно, неравенство $Ax^2 + 5 \ge 0$ не может выполняться для всех $x$.

Таким образом, единственным условием, при котором функция $f(x)$ возрастает на всей числовой прямой, является $m \in [-1, 1]$.

Ответ: $m \in [-1, 1]$.

Помогло решение? Оставьте отзыв в комментариях ниже.

Присоединяйтесь к Телеграм-группе @gdz_by_belarus

Присоединиться

Мы подготовили для вас ответ c подробным объяснением домашего задания по алгебре за 10 класс, для упражнения номер 27.33 расположенного на странице 135 к сборнику задач 2020 года издания для учащихся школ и гимназий.

Теперь на нашем сайте ГДЗ.ТОП вы всегда легко и бесплатно найдёте условие с правильным ответом на вопрос «Как решить ДЗ» и «Как сделать» задание по алгебре к упражнению №27.33 (с. 135), авторов: Арефьева (Ирина Глебовна), Пирютко (Ольга Николаевна), базовый и повышенный уровень обучения учебного пособия издательства Народная асвета.