Номер 1.330, страница 99 - гдз по алгебре 10 класс учебник Арефьева, Пирютко

Алгебра, 10 класс Учебник, авторы: Арефьева Ирина Глебовна, Пирютко Ольга Николаевна, издательство Народная асвета, Минск, 2019, голубого цвета

Авторы: Арефьева И. Г., Пирютко О. Н.

Тип: Учебник

Издательство: Народная асвета

Год издания: 2019 - 2025

Цвет обложки: голубой с графиком

Допущено Министерством образования Республики Беларусь

Популярные ГДЗ в 10 классе

Глава 1. Тригонометрия. Параграф 7. Арксинус, арккосинус, арктангенс и арккотангенс числа - номер 1.330, страница 99.

№1.330 (с. 99)
Условие. №1.330 (с. 99)
скриншот условия
Алгебра, 10 класс Учебник, авторы: Арефьева Ирина Глебовна, Пирютко Ольга Николаевна, издательство Народная асвета, Минск, 2019, голубого цвета, страница 99, номер 1.330, Условие

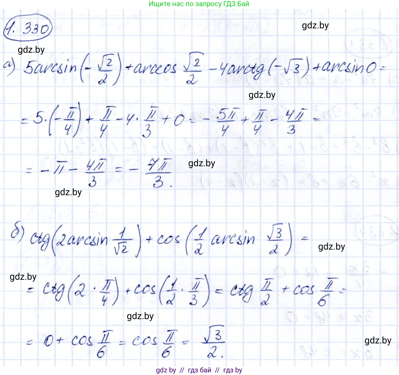
1.330. Вычислите:

а) $5\arcsin\left(-\frac{\sqrt{2}}{2}\right) + \arccos\frac{\sqrt{2}}{2} - 4\arctan\left(-\sqrt{3}\right) + \arcsin 0;$

б) $\cot\left(2\arcsin\frac{1}{\sqrt{2}}\right) + \cos\left(\frac{1}{2}\arcsin\frac{\sqrt{3}}{2}\right).$

Решение. №1.330 (с. 99)
Алгебра, 10 класс Учебник, авторы: Арефьева Ирина Глебовна, Пирютко Ольга Николаевна, издательство Народная асвета, Минск, 2019, голубого цвета, страница 99, номер 1.330, Решение
Решение 2. №1.330 (с. 99)

а) Вычислим значение выражения $5\arcsin(-\frac{\sqrt{2}}{2}) + \arccos\frac{\sqrt{2}}{2} - 4\operatorname{arctg}(-\sqrt{3}) + \arcsin0$.

Для этого найдем значения каждого обратного тригонометрического выражения, используя их определения и области значений:

  • $\arcsin(-\frac{\sqrt{2}}{2}) = -\arcsin(\frac{\sqrt{2}}{2}) = -\frac{\pi}{4}$ (область значений арксинуса $[-\frac{\pi}{2}, \frac{\pi}{2}]$)
  • $\arccos(\frac{\sqrt{2}}{2}) = \frac{\pi}{4}$ (область значений арккосинуса $[0, \pi]$)
  • $\operatorname{arctg}(-\sqrt{3}) = -\operatorname{arctg}(\sqrt{3}) = -\frac{\pi}{3}$ (область значений арктангенса $(-\frac{\pi}{2}, \frac{\pi}{2})$)
  • $\arcsin(0) = 0$

Теперь подставим найденные значения в исходное выражение:

$5 \cdot (-\frac{\pi}{4}) + \frac{\pi}{4} - 4 \cdot (-\frac{\pi}{3}) + 0 = -\frac{5\pi}{4} + \frac{\pi}{4} + \frac{4\pi}{3}$

Сгруппируем и упростим:

$(-\frac{5\pi}{4} + \frac{\pi}{4}) + \frac{4\pi}{3} = -\frac{4\pi}{4} + \frac{4\pi}{3} = -\pi + \frac{4\pi}{3}$

Приведем к общему знаменателю 3:

$-\frac{3\pi}{3} + \frac{4\pi}{3} = \frac{-3\pi + 4\pi}{3} = \frac{\pi}{3}$

Ответ: $\frac{\pi}{3}$

б) Вычислим значение выражения $\operatorname{ctg}(2\arcsin\frac{1}{\sqrt{2}}) + \cos(\frac{1}{2}\arcsin\frac{\sqrt{3}}{2})$.

Рассмотрим каждое слагаемое отдельно.

Первое слагаемое: $\operatorname{ctg}(2\arcsin\frac{1}{\sqrt{2}})$
Сначала найдем значение арксинуса: $\arcsin\frac{1}{\sqrt{2}} = \arcsin\frac{\sqrt{2}}{2} = \frac{\pi}{4}$.
Тогда аргумент котангенса равен $2 \cdot \frac{\pi}{4} = \frac{\pi}{2}$.
Следовательно, $\operatorname{ctg}(\frac{\pi}{2}) = 0$.

Второе слагаемое: $\cos(\frac{1}{2}\arcsin\frac{\sqrt{3}}{2})$
Сначала найдем значение арксинуса: $\arcsin\frac{\sqrt{3}}{2} = \frac{\pi}{3}$.
Тогда аргумент косинуса равен $\frac{1}{2} \cdot \frac{\pi}{3} = \frac{\pi}{6}$.
Следовательно, $\cos(\frac{\pi}{6}) = \frac{\sqrt{3}}{2}$.

Сложим значения двух слагаемых:

$0 + \frac{\sqrt{3}}{2} = \frac{\sqrt{3}}{2}$.

Ответ: $\frac{\sqrt{3}}{2}$

Помогло решение? Оставьте отзыв в комментариях ниже.

Присоединяйтесь к Телеграм-группе @gdz_by_belarus

Присоединиться

Мы подготовили для вас ответ c подробным объяснением домашего задания по алгебре за 10 класс, для упражнения номер 1.330 расположенного на странице 99 к учебнику 2019 года издания для учащихся школ и гимназий.

Теперь на нашем сайте ГДЗ.ТОП вы всегда легко и бесплатно найдёте условие с правильным ответом на вопрос «Как решить ДЗ» и «Как сделать» задание по алгебре к упражнению №1.330 (с. 99), авторов: Арефьева (Ирина Глебовна), Пирютко (Ольга Николаевна), учебного пособия издательства Народная асвета.