Номер 1.336, страница 99 - гдз по алгебре 10 класс учебник Арефьева, Пирютко

Алгебра, 10 класс Учебник, авторы: Арефьева Ирина Глебовна, Пирютко Ольга Николаевна, издательство Народная асвета, Минск, 2019, голубого цвета

Авторы: Арефьева И. Г., Пирютко О. Н.

Тип: Учебник

Издательство: Народная асвета

Год издания: 2019 - 2025

Цвет обложки: голубой с графиком

Допущено Министерством образования Республики Беларусь

Популярные ГДЗ в 10 классе

Глава 1. Тригонометрия. Параграф 7. Арксинус, арккосинус, арктангенс и арккотангенс числа - номер 1.336, страница 99.

№1.336 (с. 99)
Условие. №1.336 (с. 99)
скриншот условия
Алгебра, 10 класс Учебник, авторы: Арефьева Ирина Глебовна, Пирютко Ольга Николаевна, издательство Народная асвета, Минск, 2019, голубого цвета, страница 99, номер 1.336, Условие

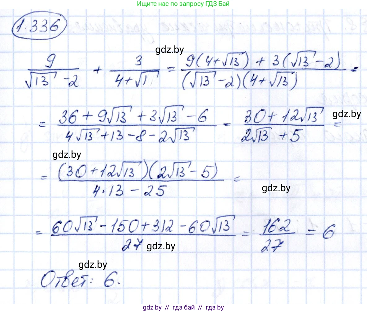
1.336. Найдите значение выражения $\frac{9}{\sqrt{13} - 2} + \frac{3}{4 + \sqrt{13}}$

Решение. №1.336 (с. 99)
Алгебра, 10 класс Учебник, авторы: Арефьева Ирина Глебовна, Пирютко Ольга Николаевна, издательство Народная асвета, Минск, 2019, голубого цвета, страница 99, номер 1.336, Решение
Решение 2. №1.336 (с. 99)

Чтобы найти значение выражения, упростим каждое слагаемое. Для этого избавимся от иррациональности в знаменателе каждой дроби, умножив её числитель и знаменатель на сопряженное к знаменателю выражение.

Для первой дроби $ \frac{9}{\sqrt{13}-2} $ сопряженным выражением к знаменателю $ (\sqrt{13}-2) $ является $ (\sqrt{13}+2) $.
Умножаем числитель и знаменатель на $ (\sqrt{13}+2) $ и применяем в знаменателе формулу разности квадратов $ (a-b)(a+b) = a^2 - b^2 $:
$ \frac{9}{\sqrt{13}-2} = \frac{9 \cdot (\sqrt{13}+2)}{(\sqrt{13}-2) \cdot (\sqrt{13}+2)} = \frac{9(\sqrt{13}+2)}{(\sqrt{13})^2 - 2^2} = \frac{9(\sqrt{13}+2)}{13 - 4} = \frac{9(\sqrt{13}+2)}{9} = \sqrt{13}+2 $

Для второй дроби $ \frac{3}{4+\sqrt{13}} $ сопряженным выражением к знаменателю $ (4+\sqrt{13}) $ является $ (4-\sqrt{13}) $.
Умножаем числитель и знаменатель на $ (4-\sqrt{13}) $:
$ \frac{3}{4+\sqrt{13}} = \frac{3 \cdot (4-\sqrt{13})}{(4+\sqrt{13}) \cdot (4-\sqrt{13})} = \frac{3(4-\sqrt{13})}{4^2 - (\sqrt{13})^2} = \frac{3(4-\sqrt{13})}{16 - 13} = \frac{3(4-\sqrt{13})}{3} = 4-\sqrt{13} $

Теперь сложим полученные упрощенные выражения:
$ (\sqrt{13}+2) + (4-\sqrt{13}) = \sqrt{13} + 2 + 4 - \sqrt{13} = 6 $

Ответ: 6

Помогло решение? Оставьте отзыв в комментариях ниже.

Присоединяйтесь к Телеграм-группе @gdz_by_belarus

Присоединиться

Мы подготовили для вас ответ c подробным объяснением домашего задания по алгебре за 10 класс, для упражнения номер 1.336 расположенного на странице 99 к учебнику 2019 года издания для учащихся школ и гимназий.

Теперь на нашем сайте ГДЗ.ТОП вы всегда легко и бесплатно найдёте условие с правильным ответом на вопрос «Как решить ДЗ» и «Как сделать» задание по алгебре к упражнению №1.336 (с. 99), авторов: Арефьева (Ирина Глебовна), Пирютко (Ольга Николаевна), учебного пособия издательства Народная асвета.