Номер 1.341, страница 112 - гдз по алгебре 10 класс учебник Арефьева, Пирютко

Алгебра, 10 класс Учебник, авторы: Арефьева Ирина Глебовна, Пирютко Ольга Николаевна, издательство Народная асвета, Минск, 2019, голубого цвета

Авторы: Арефьева И. Г., Пирютко О. Н.

Тип: Учебник

Издательство: Народная асвета

Год издания: 2019 - 2025

Цвет обложки: голубой с графиком

Допущено Министерством образования Республики Беларусь

Популярные ГДЗ в 10 классе

Глава 1. Тригонометрия. Параграф 8. Тригонометрические уравнения - номер 1.341, страница 112.

№1.341 (с. 112)
Условие. №1.341 (с. 112)
скриншот условия
Алгебра, 10 класс Учебник, авторы: Арефьева Ирина Глебовна, Пирютко Ольга Николаевна, издательство Народная асвета, Минск, 2019, голубого цвета, страница 112, номер 1.341, Условие

1.341. Решите уравнение, используя формулы решения простейших тригонометрических уравнений:

а) $sin x = \frac{1}{2};$

б) $sin x = -\frac{\sqrt{3}}{2};$

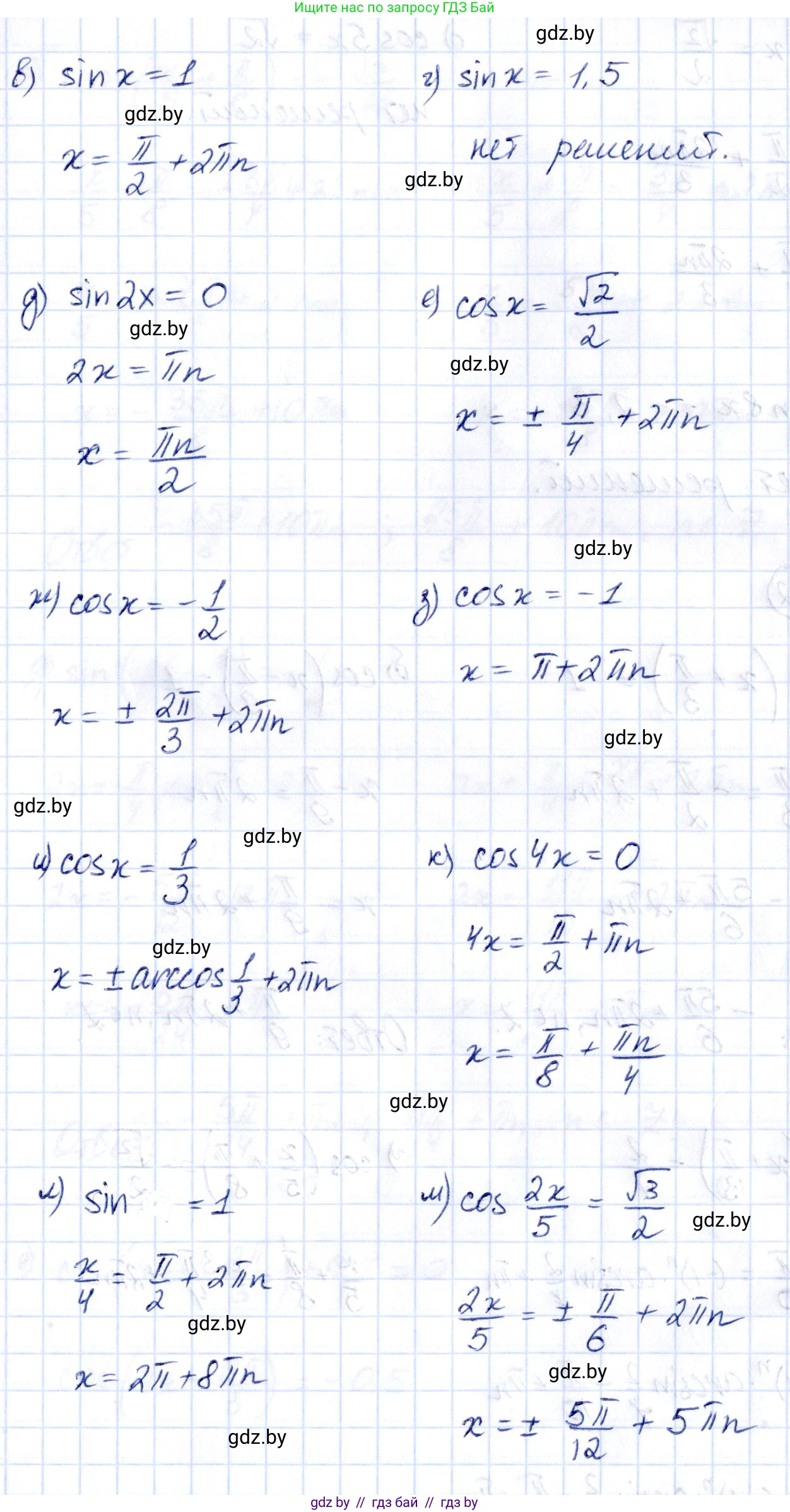
в) $sin x = 1;$

г) $sin x = 1,5;$

д) $sin 2x = 0;$

е) $cos x = \frac{\sqrt{2}}{2};$

ж) $cos x = -\frac{1}{2};$

з) $cos x = -1;$

и) $cos x = \frac{1}{3};$

к) $cos 4x = 0;$

л) $sin \frac{x}{4} = 1;$

м) $cos \frac{2x}{5} = \frac{\sqrt{3}}{2};$

н) $sin 3x = \frac{\sqrt{2}}{2};$

о) $cos 5x = \sqrt{2};$

п) $sin 8x = -2,3.$

Решение. №1.341 (с. 112)
Алгебра, 10 класс Учебник, авторы: Арефьева Ирина Глебовна, Пирютко Ольга Николаевна, издательство Народная асвета, Минск, 2019, голубого цвета, страница 112, номер 1.341, Решение Алгебра, 10 класс Учебник, авторы: Арефьева Ирина Глебовна, Пирютко Ольга Николаевна, издательство Народная асвета, Минск, 2019, голубого цвета, страница 112, номер 1.341, Решение (продолжение 2)
Решение 2. №1.341 (с. 112)

а) Это простейшее тригонометрическое уравнение вида $ \sin x = a $. Общая формула для его решения: $ x = (-1)^k \arcsin(a) + \pi k $, где $ k \in \mathbb{Z} $.
В данном случае $ a = \frac{1}{2} $. Находим значение арксинуса: $ \arcsin(\frac{1}{2}) = \frac{\pi}{6} $.
Подставляем в общую формулу:
Ответ: $ x = (-1)^k \frac{\pi}{6} + \pi k, k \in \mathbb{Z} $.

б) Используем общую формулу для синуса: $ x = (-1)^k \arcsin(a) + \pi k $, где $ k \in \mathbb{Z} $.
Здесь $ a = -\frac{\sqrt{3}}{2} $. Используя свойство нечетности арксинуса $ \arcsin(-a) = -\arcsin(a) $, получаем:$ \arcsin(-\frac{\sqrt{3}}{2}) = -\arcsin(\frac{\sqrt{3}}{2}) = -\frac{\pi}{3} $.
Подставляем в формулу:
$ x = (-1)^k (-\frac{\pi}{3}) + \pi k $, что можно записать как $ x = (-1)^{k+1} \frac{\pi}{3} + \pi k, k \in \mathbb{Z} $.
Ответ: $ x = (-1)^{k+1} \frac{\pi}{3} + \pi k, k \in \mathbb{Z} $.

в) Это частный случай уравнения $ \sin x = 1 $. Его решения соответствуют верхней точке единичной окружности.
Ответ: $ x = \frac{\pi}{2} + 2\pi k, k \in \mathbb{Z} $.

г) Область значений функции $ y = \sin x $ — это отрезок $ [-1, 1] $.
Так как $ 1,5 > 1 $, то уравнение не входит в область значений синуса.
Ответ: решений нет.

д) Это частный случай $ \sin t = 0 $, решение которого $ t = \pi k, k \in \mathbb{Z} $.
В данном уравнении $ t = 2x $.
$ 2x = \pi k $.
Делим обе части на 2, чтобы найти $ x $:
Ответ: $ x = \frac{\pi k}{2}, k \in \mathbb{Z} $.

е) Это простейшее тригонометрическое уравнение вида $ \cos x = a $. Общая формула для его решения: $ x = \pm \arccos(a) + 2\pi k $, где $ k \in \mathbb{Z} $.
Здесь $ a = \frac{\sqrt{2}}{2} $. Находим значение арккосинуса: $ \arccos(\frac{\sqrt{2}}{2}) = \frac{\pi}{4} $.
Подставляем в общую формулу:
Ответ: $ x = \pm \frac{\pi}{4} + 2\pi k, k \in \mathbb{Z} $.

ж) Используем общую формулу для косинуса: $ x = \pm \arccos(a) + 2\pi k $, где $ k \in \mathbb{Z} $.
Здесь $ a = -\frac{1}{2} $. Используя свойство $ \arccos(-a) = \pi - \arccos(a) $, получаем:$ \arccos(-\frac{1}{2}) = \pi - \arccos(\frac{1}{2}) = \pi - \frac{\pi}{3} = \frac{2\pi}{3} $.
Подставляем в формулу:
Ответ: $ x = \pm \frac{2\pi}{3} + 2\pi k, k \in \mathbb{Z} $.

з) Это частный случай уравнения $ \cos x = -1 $. Его решения соответствуют левой точке единичной окружности.
Ответ: $ x = \pi + 2\pi k, k \in \mathbb{Z} $.

и) Используем общую формулу для косинуса: $ x = \pm \arccos(a) + 2\pi k $, где $ k \in \mathbb{Z} $.
Здесь $ a = \frac{1}{3} $. Это значение не является табличным, поэтому ответ записывается через арккосинус.
Ответ: $ x = \pm \arccos(\frac{1}{3}) + 2\pi k, k \in \mathbb{Z} $.

к) Это частный случай $ \cos t = 0 $, решение которого $ t = \frac{\pi}{2} + \pi k, k \in \mathbb{Z} $.
В данном уравнении $ t = 4x $.
$ 4x = \frac{\pi}{2} + \pi k $.
Делим обе части на 4:
Ответ: $ x = \frac{\pi}{8} + \frac{\pi k}{4}, k \in \mathbb{Z} $.

л) Это частный случай $ \sin t = 1 $, решение которого $ t = \frac{\pi}{2} + 2\pi k, k \in \mathbb{Z} $.
В данном уравнении $ t = \frac{x}{4} $.
$ \frac{x}{4} = \frac{\pi}{2} + 2\pi k $.
Умножаем обе части на 4:
Ответ: $ x = 2\pi + 8\pi k, k \in \mathbb{Z} $.

м) Сделаем замену $ t = \frac{2x}{5} $. Уравнение примет вид $ \cos t = \frac{\sqrt{3}}{2} $.
Решение для $ t $: $ t = \pm \arccos(\frac{\sqrt{3}}{2}) + 2\pi k = \pm \frac{\pi}{6} + 2\pi k, k \in \mathbb{Z} $.
Выполняем обратную замену:
$ \frac{2x}{5} = \pm \frac{\pi}{6} + 2\pi k $.
Умножаем обе части на $ \frac{5}{2} $:
$ x = \frac{5}{2} (\pm \frac{\pi}{6} + 2\pi k) = \pm \frac{5\pi}{12} + 5\pi k $.
Ответ: $ x = \pm \frac{5\pi}{12} + 5\pi k, k \in \mathbb{Z} $.

н) Сделаем замену $ t = 3x $. Уравнение примет вид $ \sin t = \frac{\sqrt{2}}{2} $.
Решение для $ t $: $ t = (-1)^k \arcsin(\frac{\sqrt{2}}{2}) + \pi k = (-1)^k \frac{\pi}{4} + \pi k, k \in \mathbb{Z} $.
Выполняем обратную замену:
$ 3x = (-1)^k \frac{\pi}{4} + \pi k $.
Делим обе части на 3:
Ответ: $ x = (-1)^k \frac{\pi}{12} + \frac{\pi k}{3}, k \in \mathbb{Z} $.

о) Область значений функции $ y = \cos x $ — это отрезок $ [-1, 1] $.
Так как $ \sqrt{2} \approx 1.414 > 1 $, то уравнение не входит в область значений косинуса.
Ответ: решений нет.

п) Область значений функции $ y = \sin x $ — это отрезок $ [-1, 1] $.
Так как $ -2,3 < -1 $, то уравнение не входит в область значений синуса.
Ответ: решений нет.

Помогло решение? Оставьте отзыв в комментариях ниже.

Присоединяйтесь к Телеграм-группе @gdz_by_belarus

Присоединиться

Мы подготовили для вас ответ c подробным объяснением домашего задания по алгебре за 10 класс, для упражнения номер 1.341 расположенного на странице 112 к учебнику 2019 года издания для учащихся школ и гимназий.

Теперь на нашем сайте ГДЗ.ТОП вы всегда легко и бесплатно найдёте условие с правильным ответом на вопрос «Как решить ДЗ» и «Как сделать» задание по алгебре к упражнению №1.341 (с. 112), авторов: Арефьева (Ирина Глебовна), Пирютко (Ольга Николаевна), учебного пособия издательства Народная асвета.