Номер 1.344, страница 113 - гдз по алгебре 10 класс учебник Арефьева, Пирютко

Алгебра, 10 класс Учебник, авторы: Арефьева Ирина Глебовна, Пирютко Ольга Николаевна, издательство Народная асвета, Минск, 2019, голубого цвета

Авторы: Арефьева И. Г., Пирютко О. Н.

Тип: Учебник

Издательство: Народная асвета

Год издания: 2019 - 2025

Цвет обложки: голубой с графиком

Допущено Министерством образования Республики Беларусь

Популярные ГДЗ в 10 классе

Глава 1. Тригонометрия. Параграф 8. Тригонометрические уравнения - номер 1.344, страница 113.

№1.344 (с. 113)
Условие. №1.344 (с. 113)
скриншот условия
Алгебра, 10 класс Учебник, авторы: Арефьева Ирина Глебовна, Пирютко Ольга Николаевна, издательство Народная асвета, Минск, 2019, голубого цвета, страница 113, номер 1.344, Условие

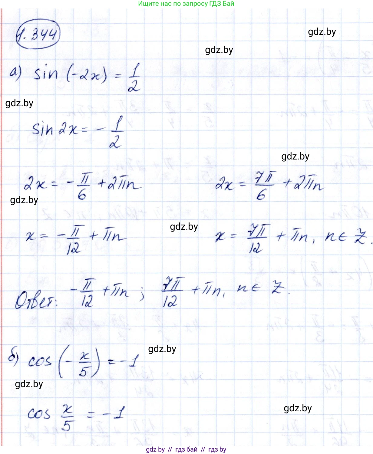
1.344. Воспользуйтесь свойством четности (нечетности) тригонометрических функций и решите уравнение:

а) $ \sin(-2x) = \frac{1}{2}; $

б) $ \cos\left(-\frac{x}{5}\right) = -1; $

в) $ \operatorname{tg}(-7x) = -\sqrt{3}; $

г) $ \sin\left(\frac{\pi}{5} - \frac{x}{2}\right) = \frac{\sqrt{2}}{2}. $

Решение. №1.344 (с. 113)
Алгебра, 10 класс Учебник, авторы: Арефьева Ирина Глебовна, Пирютко Ольга Николаевна, издательство Народная асвета, Минск, 2019, голубого цвета, страница 113, номер 1.344, Решение Алгебра, 10 класс Учебник, авторы: Арефьева Ирина Глебовна, Пирютко Ольга Николаевна, издательство Народная асвета, Минск, 2019, голубого цвета, страница 113, номер 1.344, Решение (продолжение 2)
Решение 2. №1.344 (с. 113)

Для решения данных уравнений воспользуемся свойствами четности и нечетности тригонометрических функций:

  • Синус – нечетная функция: $ \sin(-x) = -\sin(x) $
  • Косинус – четная функция: $ \cos(-x) = \cos(x) $
  • Тангенс – нечетная функция: $ \text{tg}(-x) = -\text{tg}(x) $

а) Решим уравнение $ \sin(-2x) = \frac{1}{2} $.

Используя свойство нечетности синуса, преобразуем уравнение:

$ -\sin(2x) = \frac{1}{2} $

$ \sin(2x) = -\frac{1}{2} $

Общее решение уравнения $ \sin(y) = a $ записывается в виде двух серий корней: $ y = \arcsin(a) + 2\pi k $ и $ y = \pi - \arcsin(a) + 2\pi k $, где $ k \in \mathbb{Z} $.

В нашем случае $ y = 2x $ и $ a = -\frac{1}{2} $. Находим $ \arcsin(-\frac{1}{2}) = -\frac{\pi}{6} $.

1. Первая серия корней:

$ 2x = -\frac{\pi}{6} + 2\pi k $

$ x = -\frac{\pi}{12} + \pi k, k \in \mathbb{Z} $

2. Вторая серия корней:

$ 2x = \pi - (-\frac{\pi}{6}) + 2\pi k = \pi + \frac{\pi}{6} + 2\pi k = \frac{7\pi}{6} + 2\pi k $

$ x = \frac{7\pi}{12} + \pi k, k \in \mathbb{Z} $

Ответ: $ x = -\frac{\pi}{12} + \pi k, k \in \mathbb{Z} $; $ x = \frac{7\pi}{12} + \pi k, k \in \mathbb{Z} $.

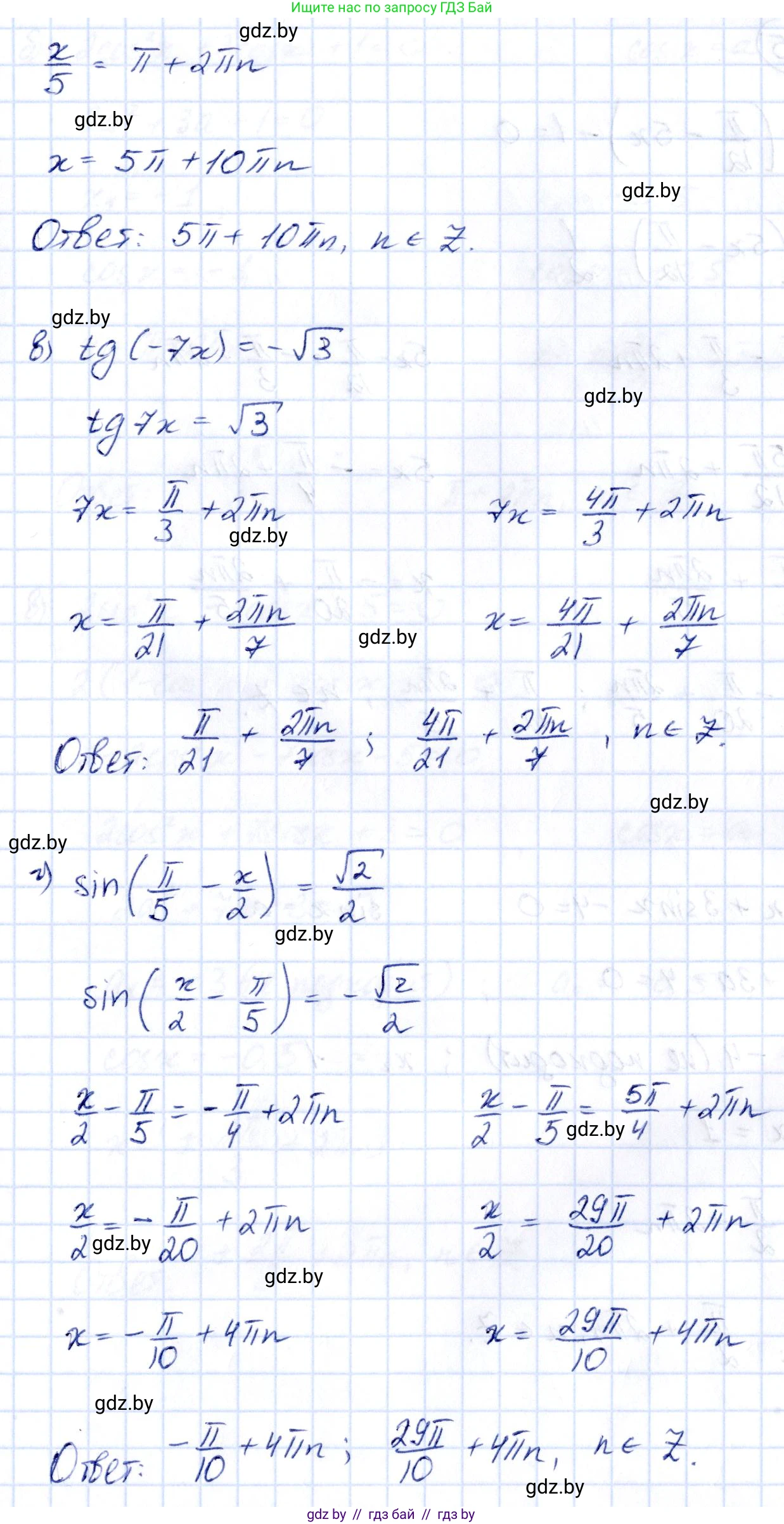
б) Решим уравнение $ \cos(-\frac{x}{5}) = -1 $.

Используя свойство четности косинуса, преобразуем уравнение:

$ \cos(\frac{x}{5}) = -1 $

Это частный случай тригонометрического уравнения. Решение уравнения $ \cos(y) = -1 $ имеет вид $ y = \pi + 2\pi k $, где $ k \in \mathbb{Z} $.

В нашем случае $ y = \frac{x}{5} $:

$ \frac{x}{5} = \pi + 2\pi k $

Умножим обе части на 5, чтобы найти $ x $:

$ x = 5(\pi + 2\pi k) = 5\pi + 10\pi k, k \in \mathbb{Z} $

Ответ: $ x = 5\pi + 10\pi k, k \in \mathbb{Z} $.

в) Решим уравнение $ \text{tg}(-7x) = -\sqrt{3} $.

Используя свойство нечетности тангенса, преобразуем уравнение:

$ -\text{tg}(7x) = -\sqrt{3} $

$ \text{tg}(7x) = \sqrt{3} $

Общее решение уравнения $ \text{tg}(y) = a $ имеет вид $ y = \text{arctg}(a) + \pi k $, где $ k \in \mathbb{Z} $.

В нашем случае $ y = 7x $ и $ a = \sqrt{3} $. Находим $ \text{arctg}(\sqrt{3}) = \frac{\pi}{3} $.

$ 7x = \frac{\pi}{3} + \pi k $

Разделим обе части на 7, чтобы найти $ x $:

$ x = \frac{1}{7}(\frac{\pi}{3} + \pi k) = \frac{\pi}{21} + \frac{\pi k}{7}, k \in \mathbb{Z} $

Ответ: $ x = \frac{\pi}{21} + \frac{\pi k}{7}, k \in \mathbb{Z} $.

г) Решим уравнение $ \sin(\frac{\pi}{5} - \frac{x}{2}) = \frac{\sqrt{2}}{2} $.

Используя свойство нечетности синуса, преобразуем аргумент функции: $ \sin(\frac{\pi}{5} - \frac{x}{2}) = \sin(-(\frac{x}{2} - \frac{\pi}{5})) = -\sin(\frac{x}{2} - \frac{\pi}{5}) $.

Уравнение принимает вид:

$ -\sin(\frac{x}{2} - \frac{\pi}{5}) = \frac{\sqrt{2}}{2} $

$ \sin(\frac{x}{2} - \frac{\pi}{5}) = -\frac{\sqrt{2}}{2} $

Пусть $ y = \frac{x}{2} - \frac{\pi}{5} $. Тогда $ \sin(y) = -\frac{\sqrt{2}}{2} $. Находим $ \arcsin(-\frac{\sqrt{2}}{2}) = -\frac{\pi}{4} $.

1. Первая серия корней:

$ y = -\frac{\pi}{4} + 2\pi k $

$ \frac{x}{2} - \frac{\pi}{5} = -\frac{\pi}{4} + 2\pi k $

$ \frac{x}{2} = \frac{\pi}{5} - \frac{\pi}{4} + 2\pi k = \frac{4\pi - 5\pi}{20} + 2\pi k = -\frac{\pi}{20} + 2\pi k $

$ x = 2(-\frac{\pi}{20} + 2\pi k) = -\frac{\pi}{10} + 4\pi k, k \in \mathbb{Z} $

2. Вторая серия корней:

$ y = \pi - (-\frac{\pi}{4}) + 2\pi k = \frac{5\pi}{4} + 2\pi k $

$ \frac{x}{2} - \frac{\pi}{5} = \frac{5\pi}{4} + 2\pi k $

$ \frac{x}{2} = \frac{\pi}{5} + \frac{5\pi}{4} + 2\pi k = \frac{4\pi + 25\pi}{20} + 2\pi k = \frac{29\pi}{20} + 2\pi k $

$ x = 2(\frac{29\pi}{20} + 2\pi k) = \frac{29\pi}{10} + 4\pi k, k \in \mathbb{Z} $

Дробь $ \frac{29}{10} $ является неправильной. Выделим целую часть: $ \frac{29}{10} = 2\frac{9}{10} $.

Таким образом, вторая серия корней: $ x = 2\frac{9}{10}\pi + 4\pi k, k \in \mathbb{Z} $.

Ответ: $ x = -\frac{\pi}{10} + 4\pi k, k \in \mathbb{Z} $; $ x = 2\frac{9}{10}\pi + 4\pi k, k \in \mathbb{Z} $.

Помогло решение? Оставьте отзыв в комментариях ниже.

Присоединяйтесь к Телеграм-группе @gdz_by_belarus

Присоединиться

Мы подготовили для вас ответ c подробным объяснением домашего задания по алгебре за 10 класс, для упражнения номер 1.344 расположенного на странице 113 к учебнику 2019 года издания для учащихся школ и гимназий.

Теперь на нашем сайте ГДЗ.ТОП вы всегда легко и бесплатно найдёте условие с правильным ответом на вопрос «Как решить ДЗ» и «Как сделать» задание по алгебре к упражнению №1.344 (с. 113), авторов: Арефьева (Ирина Глебовна), Пирютко (Ольга Николаевна), учебного пособия издательства Народная асвета.