Номер 1.342, страница 113 - гдз по алгебре 10 класс учебник Арефьева, Пирютко

Алгебра, 10 класс Учебник, авторы: Арефьева Ирина Глебовна, Пирютко Ольга Николаевна, издательство Народная асвета, Минск, 2019, голубого цвета

Авторы: Арефьева И. Г., Пирютко О. Н.

Тип: Учебник

Издательство: Народная асвета

Год издания: 2019 - 2025

Цвет обложки: голубой с графиком

Допущено Министерством образования Республики Беларусь

Популярные ГДЗ в 10 классе

Глава 1. Тригонометрия. Параграф 8. Тригонометрические уравнения - номер 1.342, страница 113.

№1.342 (с. 113)
Условие. №1.342 (с. 113)
скриншот условия
Алгебра, 10 класс Учебник, авторы: Арефьева Ирина Глебовна, Пирютко Ольга Николаевна, издательство Народная асвета, Минск, 2019, голубого цвета, страница 113, номер 1.342, Условие

1.342. Найдите корни уравнения:

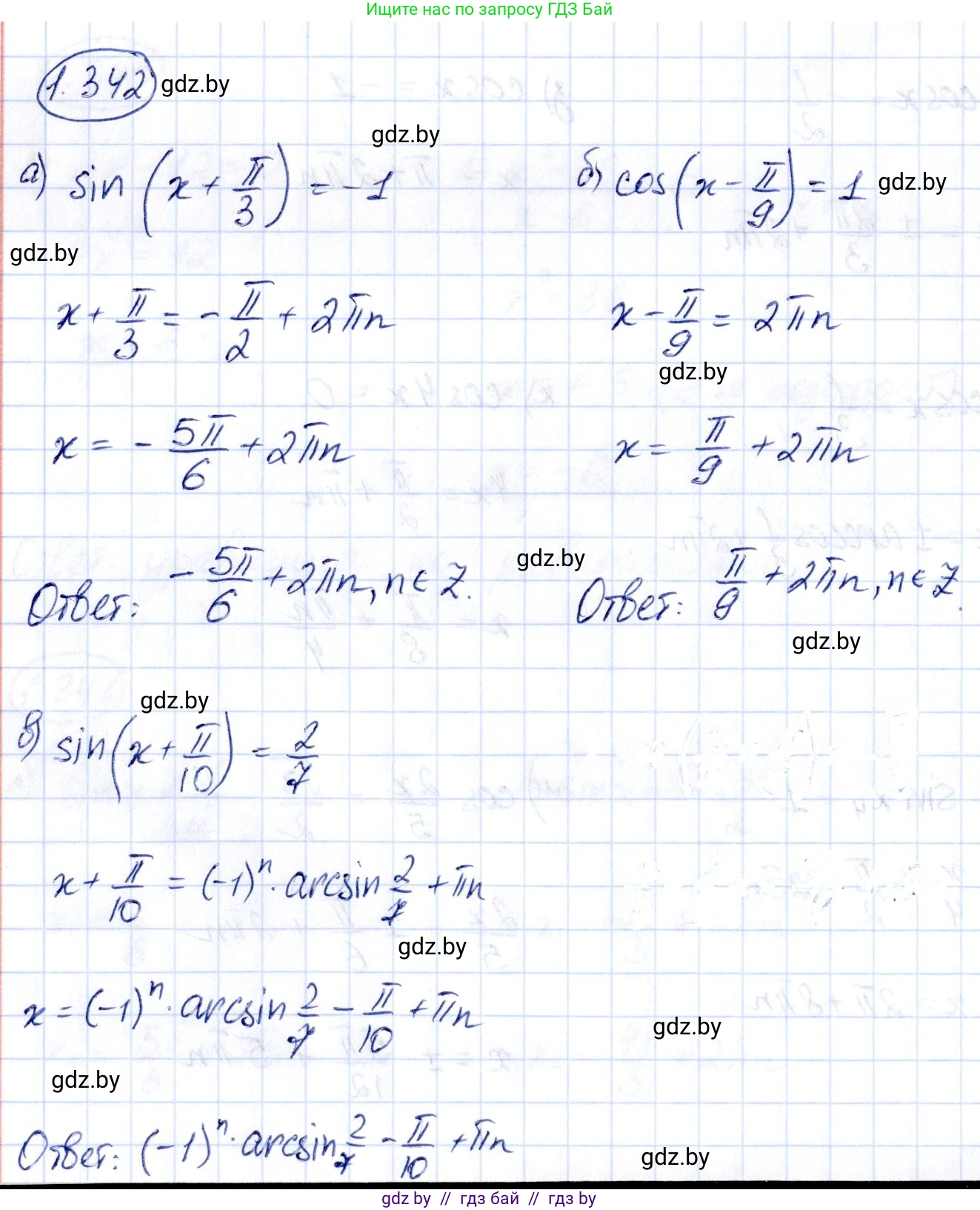
а) $\sin\left(x + \frac{\pi}{3}\right) = -1;$

б) $\cos\left(x - \frac{\pi}{9}\right) = 1;$

в) $\sin\left(x + \frac{\pi}{10}\right) = \frac{2}{7};$

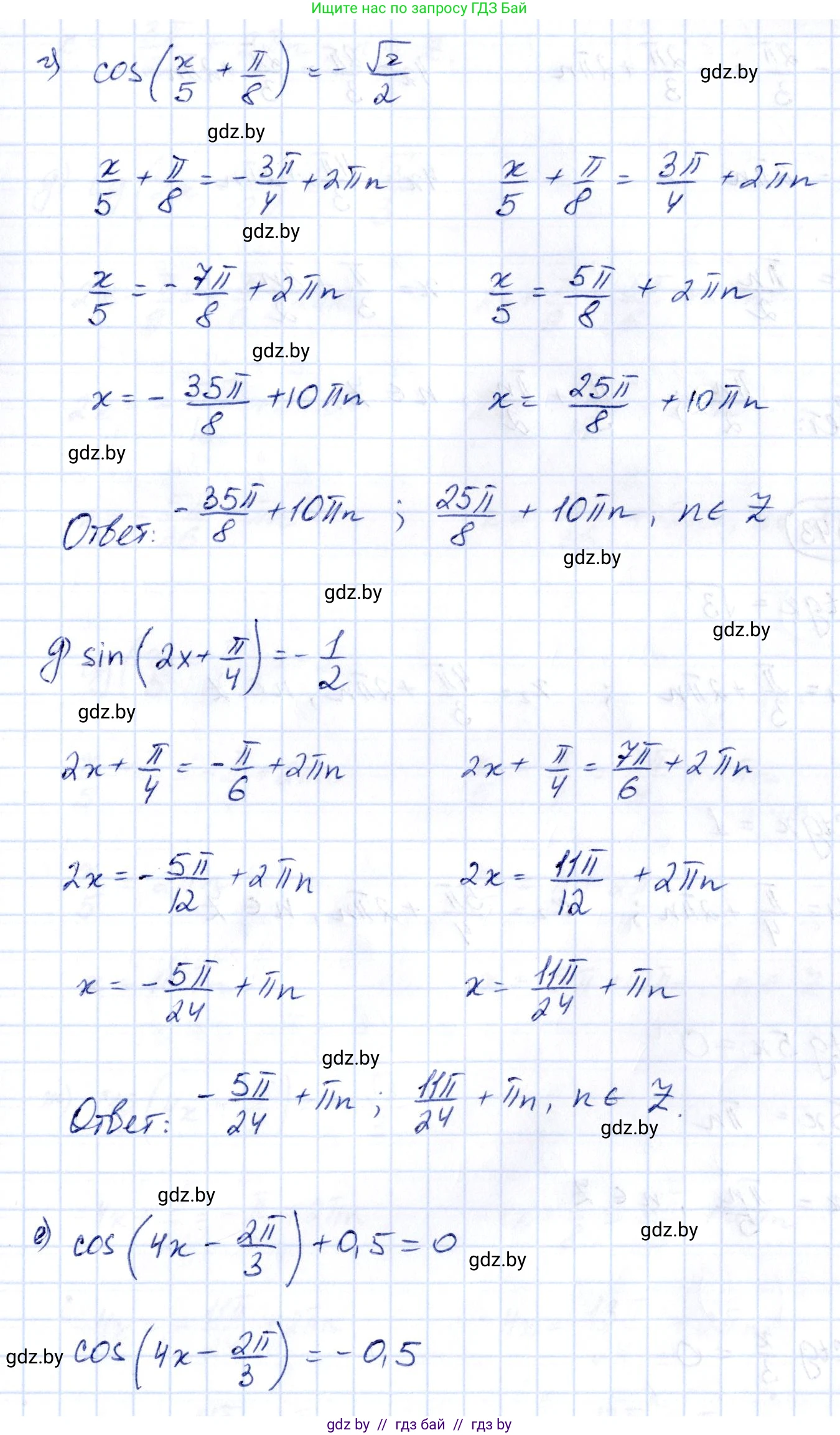
г) $\cos\left(\frac{x}{5} + \frac{\pi}{8}\right) = -\frac{\sqrt{2}}{2};$

д) $\sin\left(2x + \frac{\pi}{4}\right) = -\frac{1}{2};$

е) $\cos\left(4x - \frac{2\pi}{3}\right) + 0,5 = 0.$

Решение. №1.342 (с. 113)
Алгебра, 10 класс Учебник, авторы: Арефьева Ирина Глебовна, Пирютко Ольга Николаевна, издательство Народная асвета, Минск, 2019, голубого цвета, страница 113, номер 1.342, Решение Алгебра, 10 класс Учебник, авторы: Арефьева Ирина Глебовна, Пирютко Ольга Николаевна, издательство Народная асвета, Минск, 2019, голубого цвета, страница 113, номер 1.342, Решение (продолжение 2)
Решение 2. №1.342 (с. 113)

а) $ \sin(x + \frac{\pi}{3}) = -1 $

Это частный случай решения простейшего тригонометрического уравнения. Равенство $ \sin(t) = -1 $ выполняется, когда аргумент синуса $t$ равен $ -\frac{\pi}{2} + 2\pi k $, где $k$ — любое целое число ($ k \in \mathbb{Z} $).

В нашем случае аргумент $ t = x + \frac{\pi}{3} $.

$ x + \frac{\pi}{3} = -\frac{\pi}{2} + 2\pi k $

Чтобы найти $x$, перенесем $ \frac{\pi}{3} $ в правую часть уравнения:

$ x = -\frac{\pi}{2} - \frac{\pi}{3} + 2\pi k $

Приведем дроби к общему знаменателю, который равен 6:

$ x = -\frac{3\pi}{6} - \frac{2\pi}{6} + 2\pi k $

$ x = -\frac{5\pi}{6} + 2\pi k, k \in \mathbb{Z} $

Ответ: $ x = -\frac{5\pi}{6} + 2\pi k, k \in \mathbb{Z} $.

б) $ \cos(x - \frac{\pi}{9}) = 1 $

Это также частный случай. Равенство $ \cos(t) = 1 $ выполняется, когда аргумент косинуса $t$ равен $ 2\pi k $, где $ k \in \mathbb{Z} $.

Здесь аргумент $ t = x - \frac{\pi}{9} $.

$ x - \frac{\pi}{9} = 2\pi k $

Выразим $x$:

$ x = \frac{\pi}{9} + 2\pi k, k \in \mathbb{Z} $

Ответ: $ x = \frac{\pi}{9} + 2\pi k, k \in \mathbb{Z} $.

в) $ \sin(x + \frac{\pi}{10}) = \frac{2}{7} $

Это общий случай решения уравнения $ \sin(t) = a $, где $ |a| \le 1 $. Общая формула для корней: $ t = (-1)^k \arcsin(a) + \pi k $, где $ k \in \mathbb{Z} $.

В данном уравнении $ t = x + \frac{\pi}{10} $ и $ a = \frac{2}{7} $.

$ x + \frac{\pi}{10} = (-1)^k \arcsin(\frac{2}{7}) + \pi k $

Выразим $x$:

$ x = -\frac{\pi}{10} + (-1)^k \arcsin(\frac{2}{7}) + \pi k, k \in \mathbb{Z} $

Ответ: $ x = -\frac{\pi}{10} + (-1)^k \arcsin(\frac{2}{7}) + \pi k, k \in \mathbb{Z} $.

г) $ \cos(\frac{x}{5} + \frac{\pi}{8}) = -\frac{\sqrt{2}}{2} $

Для решения уравнения $ \cos(t) = a $ используется формула $ t = \pm\arccos(a) + 2\pi k $, где $ k \in \mathbb{Z} $.

В нашем случае $ t = \frac{x}{5} + \frac{\pi}{8} $ и $ a = -\frac{\sqrt{2}}{2} $. Мы знаем, что $ \arccos(-\frac{\sqrt{2}}{2}) = \frac{3\pi}{4} $.

$ \frac{x}{5} + \frac{\pi}{8} = \pm\frac{3\pi}{4} + 2\pi k $

Выразим $ \frac{x}{5} $:

$ \frac{x}{5} = -\frac{\pi}{8} \pm\frac{3\pi}{4} + 2\pi k $

Разобьем решение на два случая:

1) Используем знак «+»:

$ \frac{x}{5} = -\frac{\pi}{8} + \frac{6\pi}{8} + 2\pi k = \frac{5\pi}{8} + 2\pi k $

$ x = 5 \cdot (\frac{5\pi}{8} + 2\pi k) = \frac{25\pi}{8} + 10\pi k $

2) Используем знак «-»:

$ \frac{x}{5} = -\frac{\pi}{8} - \frac{6\pi}{8} + 2\pi k = -\frac{7\pi}{8} + 2\pi k $

$ x = 5 \cdot (-\frac{7\pi}{8} + 2\pi k) = -\frac{35\pi}{8} + 10\pi k $

Выделим целую часть из полученных неправильных дробей:

$ \frac{25}{8} = 3\frac{1}{8} $ и $ -\frac{35}{8} = -4\frac{3}{8} $.

Ответ: $ x = 3\frac{1}{8}\pi + 10\pi k $; $ x = -4\frac{3}{8}\pi + 10\pi k, k \in \mathbb{Z} $.

д) $ \sin(2x + \frac{\pi}{4}) = -\frac{1}{2} $

Корни уравнения $ \sin(t) = a $ находятся по формуле $ t = (-1)^k \arcsin(a) + \pi k $, где $ k \in \mathbb{Z} $. Здесь $ t = 2x + \frac{\pi}{4} $ и $ a = -\frac{1}{2} $. Значение арксинуса: $ \arcsin(-\frac{1}{2}) = -\frac{\pi}{6} $.

Удобнее рассмотреть две серии решений для $t$: $ t = -\frac{\pi}{6} + 2\pi k $ и $ t = \pi - (-\frac{\pi}{6}) + 2\pi k = \frac{7\pi}{6} + 2\pi k $.

1) Первая серия корней:

$ 2x + \frac{\pi}{4} = -\frac{\pi}{6} + 2\pi k $

$ 2x = -\frac{\pi}{6} - \frac{\pi}{4} + 2\pi k = -\frac{2\pi}{12} - \frac{3\pi}{12} + 2\pi k = -\frac{5\pi}{12} + 2\pi k $

$ x = -\frac{5\pi}{24} + \pi k $

2) Вторая серия корней:

$ 2x + \frac{\pi}{4} = \frac{7\pi}{6} + 2\pi k $

$ 2x = \frac{7\pi}{6} - \frac{\pi}{4} + 2\pi k = \frac{14\pi}{12} - \frac{3\pi}{12} + 2\pi k = \frac{11\pi}{12} + 2\pi k $

$ x = \frac{11\pi}{24} + \pi k $

Ответ: $ x = -\frac{5\pi}{24} + \pi k $; $ x = \frac{11\pi}{24} + \pi k, k \in \mathbb{Z} $.

е) $ \cos(4x - \frac{2\pi}{3}) + 0,5 = 0 $

Сначала преобразуем уравнение:

$ \cos(4x - \frac{2\pi}{3}) = -0,5 = -\frac{1}{2} $

Используем формулу $ t = \pm\arccos(a) + 2\pi k $, где $ t = 4x - \frac{2\pi}{3} $, $ a = -\frac{1}{2} $. Значение арккосинуса: $ \arccos(-\frac{1}{2}) = \frac{2\pi}{3} $.

$ 4x - \frac{2\pi}{3} = \pm\frac{2\pi}{3} + 2\pi k $

Рассмотрим два случая:

1) С положительным знаком:

$ 4x - \frac{2\pi}{3} = \frac{2\pi}{3} + 2\pi k $

$ 4x = \frac{4\pi}{3} + 2\pi k $

$ x = \frac{\pi}{3} + \frac{\pi k}{2} $

2) С отрицательным знаком:

$ 4x - \frac{2\pi}{3} = -\frac{2\pi}{3} + 2\pi k $

$ 4x = 2\pi k $

$ x = \frac{\pi k}{2} $

Ответ: $ x = \frac{\pi}{3} + \frac{\pi k}{2} $; $ x = \frac{\pi k}{2}, k \in \mathbb{Z} $.

Помогло решение? Оставьте отзыв в комментариях ниже.

Присоединяйтесь к Телеграм-группе @gdz_by_belarus

Присоединиться

Мы подготовили для вас ответ c подробным объяснением домашего задания по алгебре за 10 класс, для упражнения номер 1.342 расположенного на странице 113 к учебнику 2019 года издания для учащихся школ и гимназий.

Теперь на нашем сайте ГДЗ.ТОП вы всегда легко и бесплатно найдёте условие с правильным ответом на вопрос «Как решить ДЗ» и «Как сделать» задание по алгебре к упражнению №1.342 (с. 113), авторов: Арефьева (Ирина Глебовна), Пирютко (Ольга Николаевна), учебного пособия издательства Народная асвета.