Номер 1.370, страница 124 - гдз по алгебре 10 класс учебник Арефьева, Пирютко

Алгебра, 10 класс Учебник, авторы: Арефьева Ирина Глебовна, Пирютко Ольга Николаевна, издательство Народная асвета, Минск, 2019, голубого цвета

Авторы: Арефьева И. Г., Пирютко О. Н.

Тип: Учебник

Издательство: Народная асвета

Год издания: 2019 - 2025

Цвет обложки: голубой с графиком

Допущено Министерством образования Республики Беларусь

Популярные ГДЗ в 10 классе

Глава 1. Тригонометрия. Параграф 9. Формулы приведения - номер 1.370, страница 124.

№1.370 (с. 124)
Условие. №1.370 (с. 124)
скриншот условия
Алгебра, 10 класс Учебник, авторы: Арефьева Ирина Глебовна, Пирютко Ольга Николаевна, издательство Народная асвета, Минск, 2019, голубого цвета, страница 124, номер 1.370, Условие

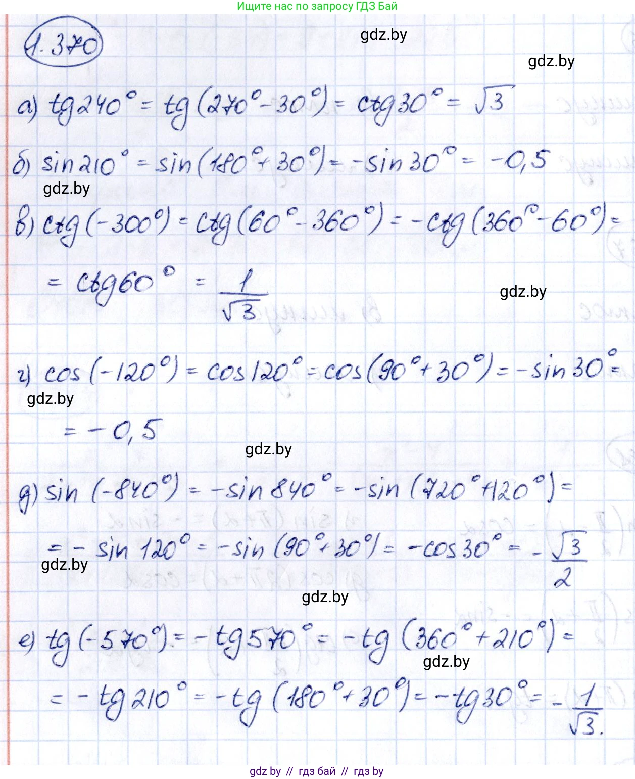
1.370. Найдите значение выражения, используя формулы приведения:

a) $ \text{tg} \, 240^{\circ} $;

б) $ \sin 210^{\circ} $;

в) $ \text{ctg} \, (-300^{\circ}) $;

г) $ \cos (-120^{\circ}) $;

д) $ \sin (-840^{\circ}) $;

е) $ \text{tg} \, (-570^{\circ}) $.

Решение. №1.370 (с. 124)
Алгебра, 10 класс Учебник, авторы: Арефьева Ирина Глебовна, Пирютко Ольга Николаевна, издательство Народная асвета, Минск, 2019, голубого цвета, страница 124, номер 1.370, Решение
Решение 2. №1.370 (с. 124)

а) tg 240°

Для нахождения значения $\text{tg}(240^\circ)$ используем формулы приведения. Угол $240^\circ$ находится в третьей четверти. Представим $240^\circ$ в виде суммы $180^\circ + 60^\circ$.

$\text{tg}(240^\circ) = \text{tg}(180^\circ + 60^\circ)$

Согласно формуле приведения $\text{tg}(180^\circ + \alpha) = \text{tg}(\alpha)$, так как тангенс в третьей четверти положителен. В данном случае $\alpha = 60^\circ$.

$\text{tg}(180^\circ + 60^\circ) = \text{tg}(60^\circ)$

Значение тангенса $60^\circ$ является табличным: $\text{tg}(60^\circ) = \sqrt{3}$.

Ответ: $\sqrt{3}$.

б) sin 210°

Для нахождения значения $\sin(210^\circ)$ используем формулы приведения. Угол $210^\circ$ находится в третьей четверти. Представим $210^\circ$ в виде суммы $180^\circ + 30^\circ$.

$\sin(210^\circ) = \sin(180^\circ + 30^\circ)$

Согласно формуле приведения $\sin(180^\circ + \alpha) = -\sin(\alpha)$, так как синус в третьей четверти отрицателен. В данном случае $\alpha = 30^\circ$.

$\sin(180^\circ + 30^\circ) = -\sin(30^\circ)$

Значение синуса $30^\circ$ является табличным: $\sin(30^\circ) = \frac{1}{2}$.

Следовательно, $\sin(210^\circ) = -\frac{1}{2}$.

Ответ: $-\frac{1}{2}$.

в) ctg(-300°)

Котангенс - нечетная функция, поэтому $\text{ctg}(-\alpha) = -\text{ctg}(\alpha)$.

$\text{ctg}(-300^\circ) = -\text{ctg}(300^\circ)$

Угол $300^\circ$ находится в четвертой четверти. Представим $300^\circ$ в виде разности $360^\circ - 60^\circ$.

$-\text{ctg}(300^\circ) = -\text{ctg}(360^\circ - 60^\circ)$

Согласно формуле приведения $\text{ctg}(360^\circ - \alpha) = -\text{ctg}(\alpha)$, так как котангенс в четвертой четверти отрицателен. В данном случае $\alpha = 60^\circ$.

$-\text{ctg}(360^\circ - 60^\circ) = -(-\text{ctg}(60^\circ)) = \text{ctg}(60^\circ)$

Значение котангенса $60^\circ$ является табличным: $\text{ctg}(60^\circ) = \frac{\sqrt{3}}{3}$.

Ответ: $\frac{\sqrt{3}}{3}$.

г) cos(-120°)

Косинус - четная функция, поэтому $\cos(-\alpha) = \cos(\alpha)$.

$\cos(-120^\circ) = \cos(120^\circ)$

Угол $120^\circ$ находится во второй четверти. Представим $120^\circ$ в виде разности $180^\circ - 60^\circ$.

$\cos(120^\circ) = \cos(180^\circ - 60^\circ)$

Согласно формуле приведения $\cos(180^\circ - \alpha) = -\cos(\alpha)$, так как косинус во второй четверти отрицателен. В данном случае $\alpha = 60^\circ$.

$\cos(180^\circ - 60^\circ) = -\cos(60^\circ)$

Значение косинуса $60^\circ$ является табличным: $\cos(60^\circ) = \frac{1}{2}$.

Следовательно, $\cos(-120^\circ) = -\frac{1}{2}$.

Ответ: $-\frac{1}{2}$.

д) sin(-840°)

Синус - нечетная функция, поэтому $\sin(-\alpha) = -\sin(\alpha)$.

$\sin(-840^\circ) = -\sin(840^\circ)$

Угол $840^\circ$ больше $360^\circ$. Используем периодичность синуса (период $360^\circ$).

$840^\circ = 2 \cdot 360^\circ + 120^\circ = 720^\circ + 120^\circ$

$-\sin(840^\circ) = -\sin(2 \cdot 360^\circ + 120^\circ) = -\sin(120^\circ)$

Теперь применим формулу приведения для $\sin(120^\circ)$. Угол $120^\circ$ находится во второй четверти. Представим $120^\circ$ как $180^\circ - 60^\circ$.

$-\sin(120^\circ) = -\sin(180^\circ - 60^\circ)$

Согласно формуле приведения $\sin(180^\circ - \alpha) = \sin(\alpha)$, так как синус во второй четверти положителен.

$-\sin(180^\circ - 60^\circ) = -\sin(60^\circ)$

Значение синуса $60^\circ$ является табличным: $\sin(60^\circ) = \frac{\sqrt{3}}{2}$.

Следовательно, $\sin(-840^\circ) = -\frac{\sqrt{3}}{2}$.

Ответ: $-\frac{\sqrt{3}}{2}$.

е) tg(-570°)

Тангенс - нечетная функция, поэтому $\text{tg}(-\alpha) = -\text{tg}(\alpha)$.

$\text{tg}(-570^\circ) = -\text{tg}(570^\circ)$

Угол $570^\circ$ больше $360^\circ$. Используем периодичность тангенса (период $180^\circ$).

$570^\circ = 3 \cdot 180^\circ + 30^\circ = 540^\circ + 30^\circ$

Согласно свойству периодичности $\text{tg}(\alpha + n \cdot 180^\circ) = \text{tg}(\alpha)$, где $n$ - целое число.

$-\text{tg}(570^\circ) = -\text{tg}(3 \cdot 180^\circ + 30^\circ) = -\text{tg}(30^\circ)$

Значение тангенса $30^\circ$ является табличным: $\text{tg}(30^\circ) = \frac{\sqrt{3}}{3}$.

Следовательно, $\text{tg}(-570^\circ) = -\frac{\sqrt{3}}{3}$.

Ответ: $-\frac{\sqrt{3}}{3}$.

Помогло решение? Оставьте отзыв в комментариях ниже.

Присоединяйтесь к Телеграм-группе @gdz_by_belarus

Присоединиться

Мы подготовили для вас ответ c подробным объяснением домашего задания по алгебре за 10 класс, для упражнения номер 1.370 расположенного на странице 124 к учебнику 2019 года издания для учащихся школ и гимназий.

Теперь на нашем сайте ГДЗ.ТОП вы всегда легко и бесплатно найдёте условие с правильным ответом на вопрос «Как решить ДЗ» и «Как сделать» задание по алгебре к упражнению №1.370 (с. 124), авторов: Арефьева (Ирина Глебовна), Пирютко (Ольга Николаевна), учебного пособия издательства Народная асвета.