Номер 1.376, страница 125 - гдз по алгебре 10 класс учебник Арефьева, Пирютко

Алгебра, 10 класс Учебник, авторы: Арефьева Ирина Глебовна, Пирютко Ольга Николаевна, издательство Народная асвета, Минск, 2019, голубого цвета

Авторы: Арефьева И. Г., Пирютко О. Н.

Тип: Учебник

Издательство: Народная асвета

Год издания: 2019 - 2025

Цвет обложки: голубой с графиком

Допущено Министерством образования Республики Беларусь

Популярные ГДЗ в 10 классе

Глава 1. Тригонометрия. Параграф 9. Формулы приведения - номер 1.376, страница 125.

№1.376 (с. 125)
Условие. №1.376 (с. 125)
скриншот условия
Алгебра, 10 класс Учебник, авторы: Арефьева Ирина Глебовна, Пирютко Ольга Николаевна, издательство Народная асвета, Минск, 2019, голубого цвета, страница 125, номер 1.376, Условие

1.376. Найдите значение выражения:

a) $\sin(-300^\circ) \cdot \operatorname{tg}(-210^\circ);$

б) $2\sin870^\circ + 2\sqrt{3} \cos570^\circ - \operatorname{tg}^2 420^\circ.$

Решение. №1.376 (с. 125)
Алгебра, 10 класс Учебник, авторы: Арефьева Ирина Глебовна, Пирютко Ольга Николаевна, издательство Народная асвета, Минск, 2019, голубого цвета, страница 125, номер 1.376, Решение Алгебра, 10 класс Учебник, авторы: Арефьева Ирина Глебовна, Пирютко Ольга Николаевна, издательство Народная асвета, Минск, 2019, голубого цвета, страница 125, номер 1.376, Решение (продолжение 2)
Решение 2. №1.376 (с. 125)

а) Чтобы найти значение выражения $ \sin(-300^\circ) \cdot \operatorname{tg}(-210^\circ) $, воспользуемся свойствами тригонометрических функций: нечетностью синуса и тангенса, а также их периодичностью и формулами приведения.

1. Упростим первый множитель $ \sin(-300^\circ) $.

Так как синус является нечетной функцией, $ \sin(-\alpha) = -\sin(\alpha) $. Однако проще использовать периодичность синуса, прибавив к аргументу полный оборот $ 360^\circ $, так как значение функции от этого не изменится:

$ \sin(-300^\circ) = \sin(-300^\circ + 360^\circ) = \sin(60^\circ) $

Значение синуса для угла $ 60^\circ $ является табличным:

$ \sin(60^\circ) = \frac{\sqrt{3}}{2} $

2. Упростим второй множитель $ \operatorname{tg}(-210^\circ) $.

Тангенс также является нечетной функцией ($ \operatorname{tg}(-\alpha) = -\operatorname{tg}(\alpha) $) и периодической с периодом $ 180^\circ $.

$ \operatorname{tg}(-210^\circ) = -\operatorname{tg}(210^\circ) $

Применим формулу приведения для $ \operatorname{tg}(210^\circ) $:

$ \operatorname{tg}(210^\circ) = \operatorname{tg}(180^\circ + 30^\circ) = \operatorname{tg}(30^\circ) $

Табличное значение тангенса для угла $ 30^\circ $:

$ \operatorname{tg}(30^\circ) = \frac{1}{\sqrt{3}} $

Следовательно:

$ \operatorname{tg}(-210^\circ) = -\frac{1}{\sqrt{3}} $

3. Выполним умножение полученных значений:

$ \sin(-300^\circ) \cdot \operatorname{tg}(-210^\circ) = \frac{\sqrt{3}}{2} \cdot \left(-\frac{1}{\sqrt{3}}\right) = -\frac{\sqrt{3}}{2\sqrt{3}} = -\frac{1}{2} $

Ответ: а) $ -\frac{1}{2} $

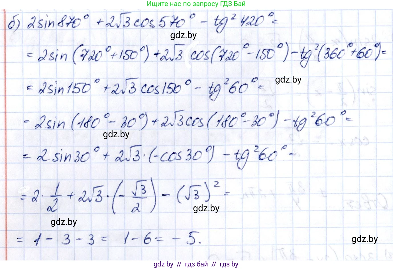
б) Чтобы найти значение выражения $ 2\sin(870^\circ) + 2\sqrt{3}\cos(570^\circ) - \operatorname{tg}^2(420^\circ) $, упростим каждое слагаемое по отдельности, используя периодичность тригонометрических функций и формулы приведения.

1. Найдем значение $ 2\sin(870^\circ) $.

Период функции синус равен $ 360^\circ $. Выделим целое число периодов в аргументе:

$ 870^\circ = 2 \cdot 360^\circ + 150^\circ $

$ \sin(870^\circ) = \sin(2 \cdot 360^\circ + 150^\circ) = \sin(150^\circ) $

Теперь применим формулу приведения:

$ \sin(150^\circ) = \sin(180^\circ - 30^\circ) = \sin(30^\circ) = \frac{1}{2} $

Тогда первое слагаемое равно:

$ 2\sin(870^\circ) = 2 \cdot \frac{1}{2} = 1 $

2. Найдем значение $ 2\sqrt{3}\cos(570^\circ) $.

Период функции косинус равен $ 360^\circ $.

$ 570^\circ = 1 \cdot 360^\circ + 210^\circ $

$ \cos(570^\circ) = \cos(1 \cdot 360^\circ + 210^\circ) = \cos(210^\circ) $

Применим формулу приведения:

$ \cos(210^\circ) = \cos(180^\circ + 30^\circ) = -\cos(30^\circ) = -\frac{\sqrt{3}}{2} $

Тогда второе слагаемое равно:

$ 2\sqrt{3}\cos(570^\circ) = 2\sqrt{3} \cdot \left(-\frac{\sqrt{3}}{2}\right) = - \frac{2 \cdot (\sqrt{3})^2}{2} = -3 $

3. Найдем значение $ \operatorname{tg}^2(420^\circ) $.

Сначала найдем $ \operatorname{tg}(420^\circ) $. Период тангенса равен $ 180^\circ $.

$ 420^\circ = 2 \cdot 180^\circ + 60^\circ $

$ \operatorname{tg}(420^\circ) = \operatorname{tg}(2 \cdot 180^\circ + 60^\circ) = \operatorname{tg}(60^\circ) = \sqrt{3} $

Теперь возведем в квадрат:

$ \operatorname{tg}^2(420^\circ) = (\operatorname{tg}(420^\circ))^2 = (\sqrt{3})^2 = 3 $

4. Подставим все найденные значения в исходное выражение:

$ 2\sin(870^\circ) + 2\sqrt{3}\cos(570^\circ) - \operatorname{tg}^2(420^\circ) = 1 + (-3) - 3 = 1 - 3 - 3 = -5 $

Ответ: б) -5

Помогло решение? Оставьте отзыв в комментариях ниже.

Присоединяйтесь к Телеграм-группе @gdz_by_belarus

Присоединиться

Мы подготовили для вас ответ c подробным объяснением домашего задания по алгебре за 10 класс, для упражнения номер 1.376 расположенного на странице 125 к учебнику 2019 года издания для учащихся школ и гимназий.

Теперь на нашем сайте ГДЗ.ТОП вы всегда легко и бесплатно найдёте условие с правильным ответом на вопрос «Как решить ДЗ» и «Как сделать» задание по алгебре к упражнению №1.376 (с. 125), авторов: Арефьева (Ирина Глебовна), Пирютко (Ольга Николаевна), учебного пособия издательства Народная асвета.