Номер 2.182, страница 192 - гдз по алгебре 10 класс учебник Арефьева, Пирютко

Алгебра, 10 класс Учебник, авторы: Арефьева Ирина Глебовна, Пирютко Ольга Николаевна, издательство Народная асвета, Минск, 2019, голубого цвета

Авторы: Арефьева И. Г., Пирютко О. Н.

Тип: Учебник

Издательство: Народная асвета

Год издания: 2019 - 2025

Цвет обложки: голубой с графиком

Допущено Министерством образования Республики Беларусь

Популярные ГДЗ в 10 классе

Глава 2. Корень n-й степени из числа. Параграф 15. Применение свойств корней n-й степени для преобразования выражений - номер 2.182, страница 192.

№2.182 (с. 192)
Условие. №2.182 (с. 192)
скриншот условия
Алгебра, 10 класс Учебник, авторы: Арефьева Ирина Глебовна, Пирютко Ольга Николаевна, издательство Народная асвета, Минск, 2019, голубого цвета, страница 192, номер 2.182, Условие

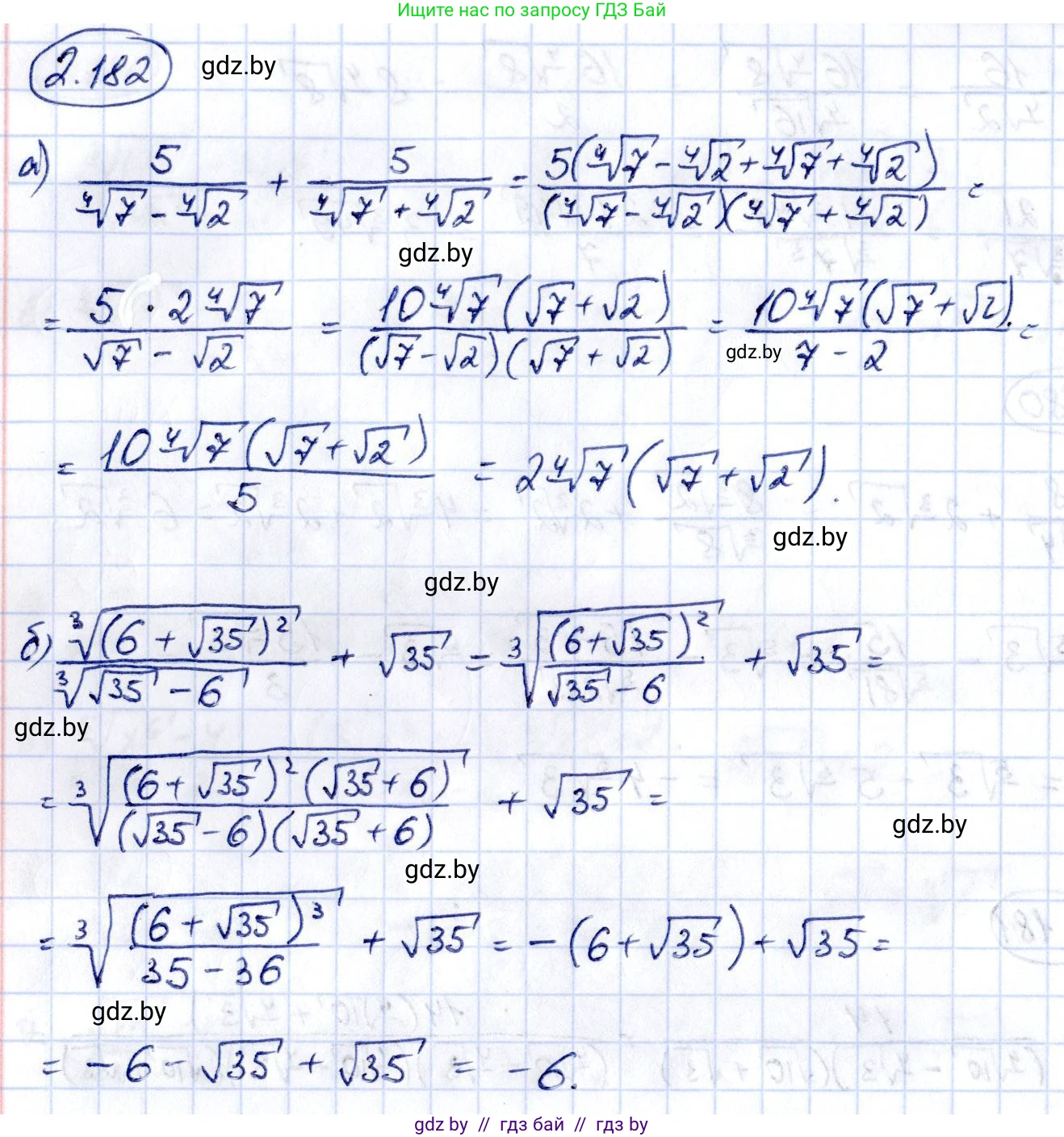
2.182. Найдите значение выражения:

a) $\frac{5}{\sqrt[4]{7}-\sqrt[4]{2}} + \frac{5}{\sqrt[4]{7}+\sqrt[4]{2}};$

б)* $\frac{\sqrt[3]{(6+\sqrt{35})^2}}{\sqrt[3]{\sqrt{35}-6}} + \sqrt{35}.$

Решение. №2.182 (с. 192)
Алгебра, 10 класс Учебник, авторы: Арефьева Ирина Глебовна, Пирютко Ольга Николаевна, издательство Народная асвета, Минск, 2019, голубого цвета, страница 192, номер 2.182, Решение
Решение 2. №2.182 (с. 192)

a) Для нахождения значения выражения приведем дроби к общему знаменателю. В знаменателях находятся сопряженные выражения, поэтому для нахождения общего знаменателя воспользуемся формулой разности квадратов $(a-b)(a+b) = a^2 - b^2$.

$\frac{5}{\sqrt[4]{7} - \sqrt[4]{2}} + \frac{5}{\sqrt[4]{7} + \sqrt[4]{2}} = \frac{5(\sqrt[4]{7} + \sqrt[4]{2}) + 5(\sqrt[4]{7} - \sqrt[4]{2})}{(\sqrt[4]{7} - \sqrt[4]{2})(\sqrt[4]{7} + \sqrt[4]{2})}$

Упростим знаменатель:

$(\sqrt[4]{7})^2 - (\sqrt[4]{2})^2 = \sqrt{7} - \sqrt{2}$

Упростим числитель:

$5(\sqrt[4]{7} + \sqrt[4]{2}) + 5(\sqrt[4]{7} - \sqrt[4]{2}) = 5\sqrt[4]{7} + 5\sqrt[4]{2} + 5\sqrt[4]{7} - 5\sqrt[4]{2} = 10\sqrt[4]{7}$

Таким образом, выражение принимает вид:

$\frac{10\sqrt[4]{7}}{\sqrt{7} - \sqrt{2}}$

Чтобы избавиться от иррациональности в знаменателе, домножим числитель и знаменатель на сопряженное к знаменателю выражение $(\sqrt{7} + \sqrt{2})$:

$\frac{10\sqrt[4]{7}(\sqrt{7} + \sqrt{2})}{(\sqrt{7} - \sqrt{2})(\sqrt{7} + \sqrt{2})} = \frac{10\sqrt[4]{7}(\sqrt{7} + \sqrt{2})}{7 - 2} = \frac{10\sqrt[4]{7}(\sqrt{7} + \sqrt{2})}{5} = 2\sqrt[4]{7}(\sqrt{7} + \sqrt{2})$

Ответ: $2\sqrt[4]{7}(\sqrt{7} + \sqrt{2})$

б)* Преобразуем данное выражение. Сначала объединим дробь под один знак кубического корня.

$\frac{\sqrt[3]{(6+\sqrt{35})^2}}{\sqrt[3]{\sqrt{35}-6}} + \sqrt{35} = \sqrt[3]{\frac{(6+\sqrt{35})^2}{\sqrt{35}-6}} + \sqrt{35}$

Заметим, что в знаменателе под корнем $\sqrt{35}-6 = -(6-\sqrt{35})$. Вынесем минус из-под знака кубического корня:

$\sqrt[3]{\frac{(6+\sqrt{35})^2}{-(6-\sqrt{35})}} + \sqrt{35} = -\sqrt[3]{\frac{(6+\sqrt{35})^2}{6-\sqrt{35}}} + \sqrt{35}$

Теперь избавимся от иррациональности в знаменателе дроби под корнем, домножив ее числитель и знаменатель на сопряженное выражение $(6+\sqrt{35})$:

$-\sqrt[3]{\frac{(6+\sqrt{35})^2(6+\sqrt{35})}{(6-\sqrt{35})(6+\sqrt{35})}} + \sqrt{35}$

Знаменатель станет равен $6^2 - (\sqrt{35})^2 = 36 - 35 = 1$. Числитель станет равен $(6+\sqrt{35})^3$.

Выражение примет вид:

$-\sqrt[3]{\frac{(6+\sqrt{35})^3}{1}} + \sqrt{35} = -\sqrt[3]{(6+\sqrt{35})^3} + \sqrt{35}$

Извлекая кубический корень, получаем:

$-(6+\sqrt{35}) + \sqrt{35} = -6 - \sqrt{35} + \sqrt{35} = -6$

Ответ: -6

Помогло решение? Оставьте отзыв в комментариях ниже.

Присоединяйтесь к Телеграм-группе @gdz_by_belarus

Присоединиться

Мы подготовили для вас ответ c подробным объяснением домашего задания по алгебре за 10 класс, для упражнения номер 2.182 расположенного на странице 192 к учебнику 2019 года издания для учащихся школ и гимназий.

Теперь на нашем сайте ГДЗ.ТОП вы всегда легко и бесплатно найдёте условие с правильным ответом на вопрос «Как решить ДЗ» и «Как сделать» задание по алгебре к упражнению №2.182 (с. 192), авторов: Арефьева (Ирина Глебовна), Пирютко (Ольга Николаевна), учебного пособия издательства Народная асвета.