Номер 2.188, страница 192 - гдз по алгебре 10 класс учебник Арефьева, Пирютко

Алгебра, 10 класс Учебник, авторы: Арефьева Ирина Глебовна, Пирютко Ольга Николаевна, издательство Народная асвета, Минск, 2019, голубого цвета

Авторы: Арефьева И. Г., Пирютко О. Н.

Тип: Учебник

Издательство: Народная асвета

Год издания: 2019 - 2025

Цвет обложки: голубой с графиком

Допущено Министерством образования Республики Беларусь

Популярные ГДЗ в 10 классе

Глава 2. Корень n-й степени из числа. Параграф 15. Применение свойств корней n-й степени для преобразования выражений - номер 2.188, страница 192.

№2.188 (с. 192)
Условие. №2.188 (с. 192)
скриншот условия
Алгебра, 10 класс Учебник, авторы: Арефьева Ирина Глебовна, Пирютко Ольга Николаевна, издательство Народная асвета, Минск, 2019, голубого цвета, страница 192, номер 2.188, Условие

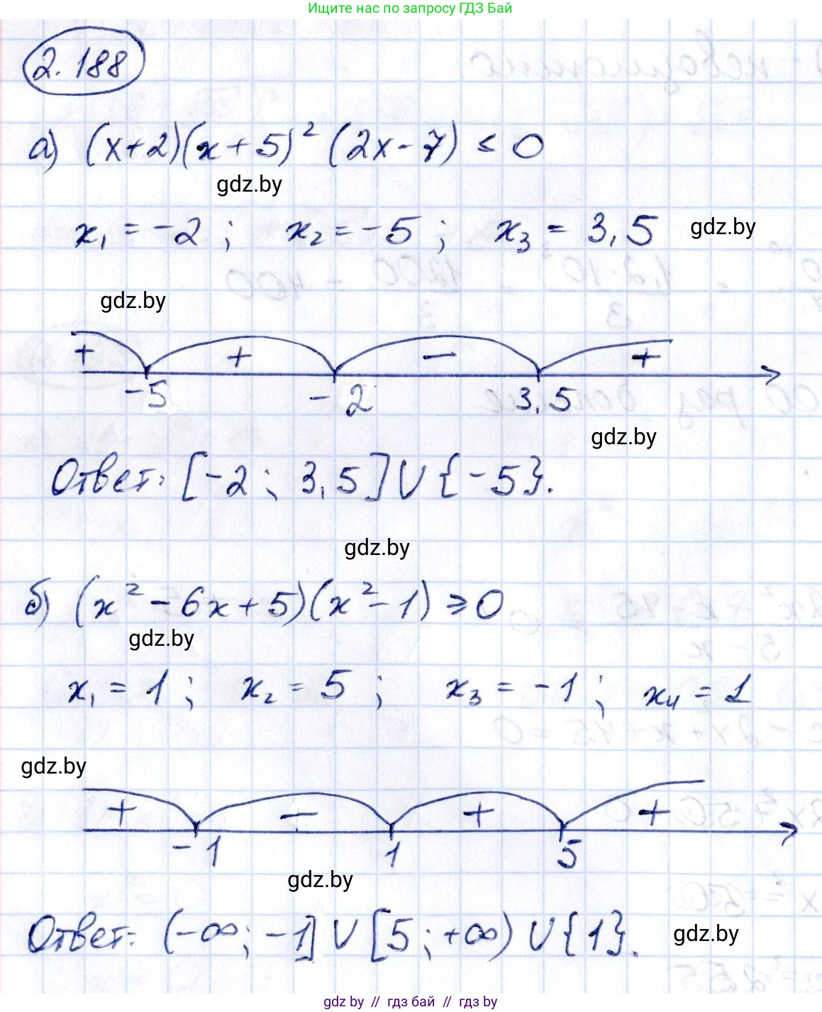
2.188. Используйте метод интервалов и решите неравенство:

а) $(x+2)(x+5)^2(2x-7) \le 0;$

б) $(x^2-6x+5)(x^2-1) \ge 0.$

Решение. №2.188 (с. 192)
Алгебра, 10 класс Учебник, авторы: Арефьева Ирина Глебовна, Пирютко Ольга Николаевна, издательство Народная асвета, Минск, 2019, голубого цвета, страница 192, номер 2.188, Решение
Решение 2. №2.188 (с. 192)

а) $(x + 2)(x + 5)^2(2x - 7) \le 0$

Для решения неравенства используем метод интервалов. Сначала найдем нули (корни) левой части неравенства, приравняв ее к нулю:

$(x + 2)(x + 5)^2(2x - 7) = 0$

Произведение равно нулю, когда один из множителей равен нулю:

  1. $x + 2 = 0 \implies x_1 = -2$ (корень 1-ой кратности, нечетной).
  2. $(x + 5)^2 = 0 \implies x + 5 = 0 \implies x_2 = -5$ (корень 2-ой кратности, четной).
  3. $2x - 7 = 0 \implies 2x = 7 \implies x_3 = \frac{7}{2} = 3\frac{1}{2}$ (корень 1-ой кратности, нечетной).

Отметим найденные корни на числовой оси. Так как неравенство нестрогое ($\le$), все точки будут закрашенными (включенными в решение).

-5 -2 $3\frac{1}{2}$ + - + +

Определим знаки выражения на каждом из полученных интервалов. При переходе через корень нечетной кратности ($-2$ и $3\frac{1}{2}$) знак меняется, а при переходе через корень четной кратности ($-5$) — не меняется.

  • В крайнем правом интервале $(3\frac{1}{2}; +\infty)$, взяв, например, $x=4$, получим $(4+2)(4+5)^2(2 \cdot 4 - 7) > 0$. Ставим знак "+".
  • Двигаясь влево, на интервале $(-2; 3\frac{1}{2})$ знак меняется на "-".
  • На интервале $(-5; -2)$ знак снова меняется на "+".
  • При переходе через $x=-5$ (корень четной кратности) знак не меняется, поэтому на интервале $(-\infty; -5)$ знак остается "+".

Нам нужно найти промежутки, где выражение меньше или равно нулю ($\le 0$). Это интервал со знаком "-" и сами точки, где выражение равно нулю.

Решением является отрезок $[-2; 3\frac{1}{2}]$ и изолированная точка $x=-5$.

Ответ: а) $x \in \{-5\} \cup [-2; 3\frac{1}{2}]$


б) $(x^2 - 6x + 5)(x^2 - 1) \ge 0$

Сначала разложим на множители левую часть неравенства.

Разложим первый квадратный трехчлен $x^2 - 6x + 5$. Найдем его корни, решив уравнение $x^2 - 6x + 5 = 0$. По теореме Виета, сумма корней равна $6$, а произведение равно $5$. Корни: $x_1=1$, $x_2=5$.
Следовательно, $x^2 - 6x + 5 = (x-1)(x-5)$.

Разложим второй множитель $x^2 - 1$ по формуле разности квадратов: $x^2 - 1 = (x-1)(x+1)$.

Подставим разложенные множители в исходное неравенство:

$(x-1)(x-5)(x-1)(x+1) \ge 0$

$(x-1)^2(x+1)(x-5) \ge 0$

Теперь применим метод интервалов. Найдем нули левой части:

  1. $(x-1)^2 = 0 \implies x_1 = 1$ (корень 2-ой кратности, четной).
  2. $x+1 = 0 \implies x_2 = -1$ (корень 1-ой кратности, нечетной).
  3. $x-5 = 0 \implies x_3 = 5$ (корень 1-ой кратности, нечетной).

Отметим корни на числовой оси. Точки закрашенные, так как неравенство нестрогое ($\ge$).

-1 1 5 + - - +

Определим знаки на интервалах, учитывая кратность корней:

  • В крайнем правом интервале $(5; +\infty)$, взяв $x=6$, получим $(6-1)^2(6+1)(6-5) > 0$. Ставим знак "+".
  • Двигаясь влево, на интервале $(1; 5)$ знак меняется на "-".
  • При переходе через $x=1$ (корень четной кратности) знак не меняется, на интервале $(-1; 1)$ знак остается "-".
  • При переходе через $x=-1$ знак меняется на "+".

Нам нужно найти промежутки, где выражение больше или равно нулю ($\ge 0$). Это интервалы со знаком "+" и сами точки, где выражение равно нулю.

Решением являются промежутки $(-\infty; -1]$ и $[5; +\infty)$, а также изолированная точка $x=1$ (так как в ней выражение равно нулю).

Ответ: б) $x \in (-\infty; -1] \cup \{1\} \cup [5; +\infty)$

Помогло решение? Оставьте отзыв в комментариях ниже.

Присоединяйтесь к Телеграм-группе @gdz_by_belarus

Присоединиться

Мы подготовили для вас ответ c подробным объяснением домашего задания по алгебре за 10 класс, для упражнения номер 2.188 расположенного на странице 192 к учебнику 2019 года издания для учащихся школ и гимназий.

Теперь на нашем сайте ГДЗ.ТОП вы всегда легко и бесплатно найдёте условие с правильным ответом на вопрос «Как решить ДЗ» и «Как сделать» задание по алгебре к упражнению №2.188 (с. 192), авторов: Арефьева (Ирина Глебовна), Пирютко (Ольга Николаевна), учебного пособия издательства Народная асвета.