Номер 2.262, страница 214 - гдз по алгебре 10 класс учебник Арефьева, Пирютко

Алгебра, 10 класс Учебник, авторы: Арефьева Ирина Глебовна, Пирютко Ольга Николаевна, издательство Народная асвета, Минск, 2019, голубого цвета

Авторы: Арефьева И. Г., Пирютко О. Н.

Тип: Учебник

Издательство: Народная асвета

Год издания: 2019 - 2025

Цвет обложки: голубой с графиком

Допущено Министерством образования Республики Беларусь

Популярные ГДЗ в 10 классе

Глава 2. Корень n-й степени из числа. Параграф 17. Иррациональные уравнения - номер 2.262, страница 214.

№2.262 (с. 214)
Условие. №2.262 (с. 214)
скриншот условия
Алгебра, 10 класс Учебник, авторы: Арефьева Ирина Глебовна, Пирютко Ольга Николаевна, издательство Народная асвета, Минск, 2019, голубого цвета, страница 214, номер 2.262, Условие

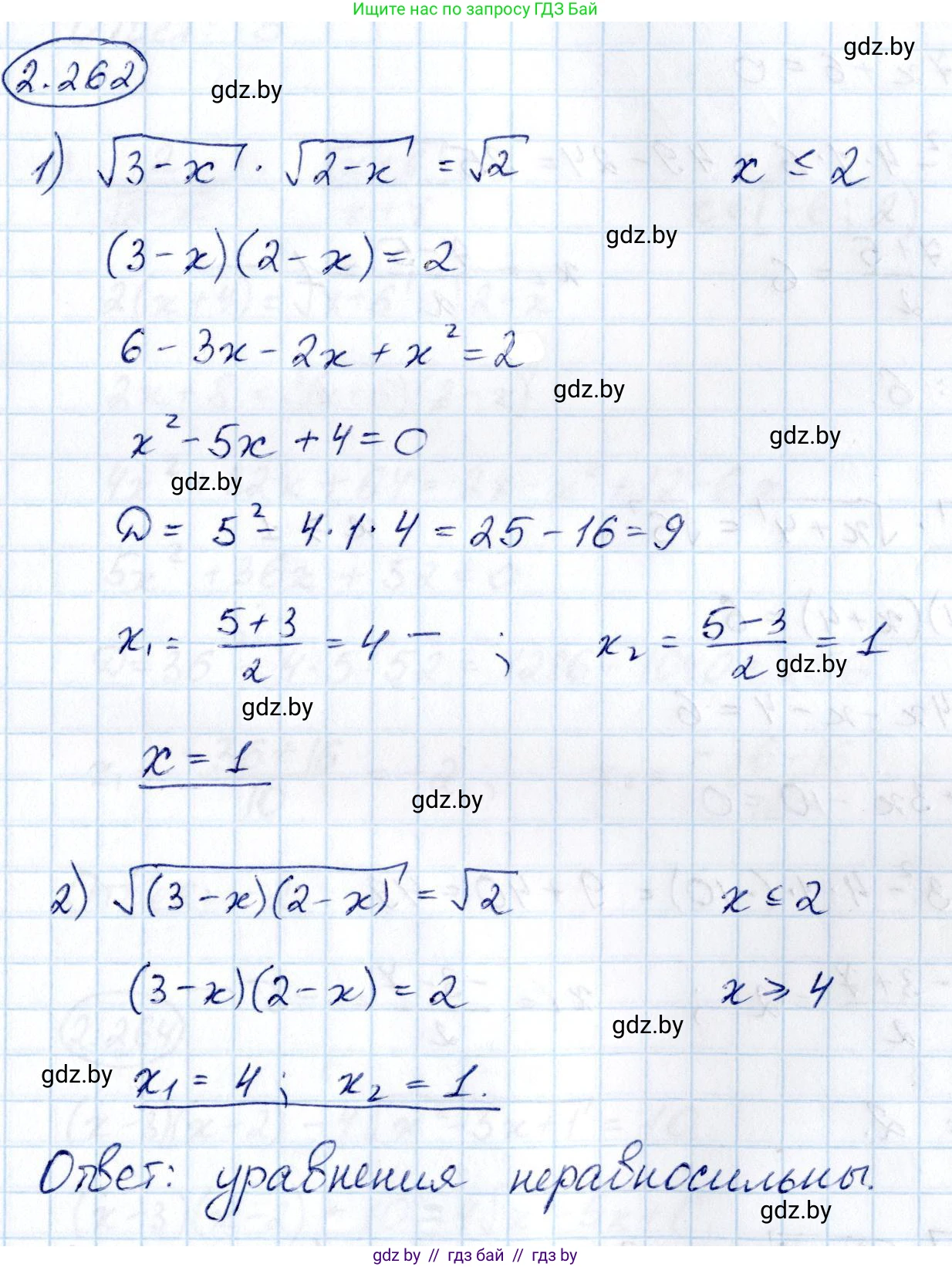
2.262. Верно ли, что равносильны уравнения $\sqrt{3-x}\sqrt{2-x}=\sqrt{2}$ и $\sqrt{(3-x)(2-x)}=\sqrt{2}$?

Решение. №2.262 (с. 214)
Алгебра, 10 класс Учебник, авторы: Арефьева Ирина Глебовна, Пирютко Ольга Николаевна, издательство Народная асвета, Минск, 2019, голубого цвета, страница 214, номер 2.262, Решение
Решение 2. №2.262 (с. 214)

Два уравнения называются равносильными, если множества их решений совпадают. Чтобы проверить, равносильны ли данные уравнения, найдем решения для каждого из них.

Анализ первого уравнения: $\sqrt{3-x}\sqrt{2-x} = \sqrt{2}$

1. Область допустимых значений (ОДЗ)
Для того чтобы корни имели смысл, подкоренные выражения должны быть неотрицательными. Это приводит к системе неравенств: $$ \begin{cases} 3 - x \ge 0 \\ 2 - x \ge 0 \end{cases} \Rightarrow \begin{cases} x \le 3 \\ x \le 2 \end{cases} $$ Пересечение этих условий дает ОДЗ: $x \le 2$, или $x \in (-\infty, 2]$.

2. Решение уравнения
Возведем обе части уравнения в квадрат: $$(\sqrt{3-x}\sqrt{2-x})^2 = (\sqrt{2})^2$$ $$(3-x)(2-x) = 2$$ $$6 - 3x - 2x + x^2 = 2$$ $$x^2 - 5x + 4 = 0$$ Корни этого квадратного уравнения: $x_1 = 1$, $x_2 = 4$.

3. Проверка корней по ОДЗ

  • $x_1 = 1$ удовлетворяет условию $x \le 2$. Следовательно, это корень уравнения.
  • $x_2 = 4$ не удовлетворяет условию $x \le 2$. Следовательно, это посторонний корень.

Множество решений первого уравнения: $\{1\}$.

Анализ второго уравнения: $\sqrt{(3-x)(2-x)} = \sqrt{2}$

1. Область допустимых значений (ОДЗ)
Подкоренное выражение должно быть неотрицательным: $$(3-x)(2-x) \ge 0$$ Это неравенство выполняется, когда оба множителя либо неотрицательны, либо неположительны.

  • $3-x \ge 0$ и $2-x \ge 0 \Rightarrow x \le 2$
  • $3-x \le 0$ и $2-x \le 0 \Rightarrow x \ge 3$

Объединяя эти условия, получаем ОДЗ: $x \in (-\infty, 2] \cup [3, \infty)$.

2. Решение уравнения
Возведение в квадрат приводит к тому же самому уравнению, что и в первом случае: $$x^2 - 5x + 4 = 0$$ Корни также $x_1 = 1$ и $x_2 = 4$.

3. Проверка корней по ОДЗ

  • $x_1 = 1$ удовлетворяет условию $x \le 2$. Следовательно, это корень уравнения.
  • $x_2 = 4$ удовлетворяет условию $x \ge 3$. Следовательно, это также корень уравнения.

Множество решений второго уравнения: $\{1, 4\}$.

Вывод

Множество решений первого уравнения $\{1\}$ не совпадает с множеством решений второго уравнения $\{1, 4\}$. Это связано с тем, что области допустимых значений у этих уравнений различны.

Ответ: неверно.

Помогло решение? Оставьте отзыв в комментариях ниже.

Присоединяйтесь к Телеграм-группе @gdz_by_belarus

Присоединиться

Мы подготовили для вас ответ c подробным объяснением домашего задания по алгебре за 10 класс, для упражнения номер 2.262 расположенного на странице 214 к учебнику 2019 года издания для учащихся школ и гимназий.

Теперь на нашем сайте ГДЗ.ТОП вы всегда легко и бесплатно найдёте условие с правильным ответом на вопрос «Как решить ДЗ» и «Как сделать» задание по алгебре к упражнению №2.262 (с. 214), авторов: Арефьева (Ирина Глебовна), Пирютко (Ольга Николаевна), учебного пособия издательства Народная асвета.