Номер 2.265, страница 214 - гдз по алгебре 10 класс учебник Арефьева, Пирютко

Алгебра, 10 класс Учебник, авторы: Арефьева Ирина Глебовна, Пирютко Ольга Николаевна, издательство Народная асвета, Минск, 2019, голубого цвета

Авторы: Арефьева И. Г., Пирютко О. Н.

Тип: Учебник

Издательство: Народная асвета

Год издания: 2019 - 2025

Цвет обложки: голубой с графиком

Допущено Министерством образования Республики Беларусь

Популярные ГДЗ в 10 классе

Глава 2. Корень n-й степени из числа. Параграф 17. Иррациональные уравнения - номер 2.265, страница 214.

№2.265 (с. 214)
Условие. №2.265 (с. 214)
скриншот условия
Алгебра, 10 класс Учебник, авторы: Арефьева Ирина Глебовна, Пирютко Ольга Николаевна, издательство Народная асвета, Минск, 2019, голубого цвета, страница 214, номер 2.265, Условие

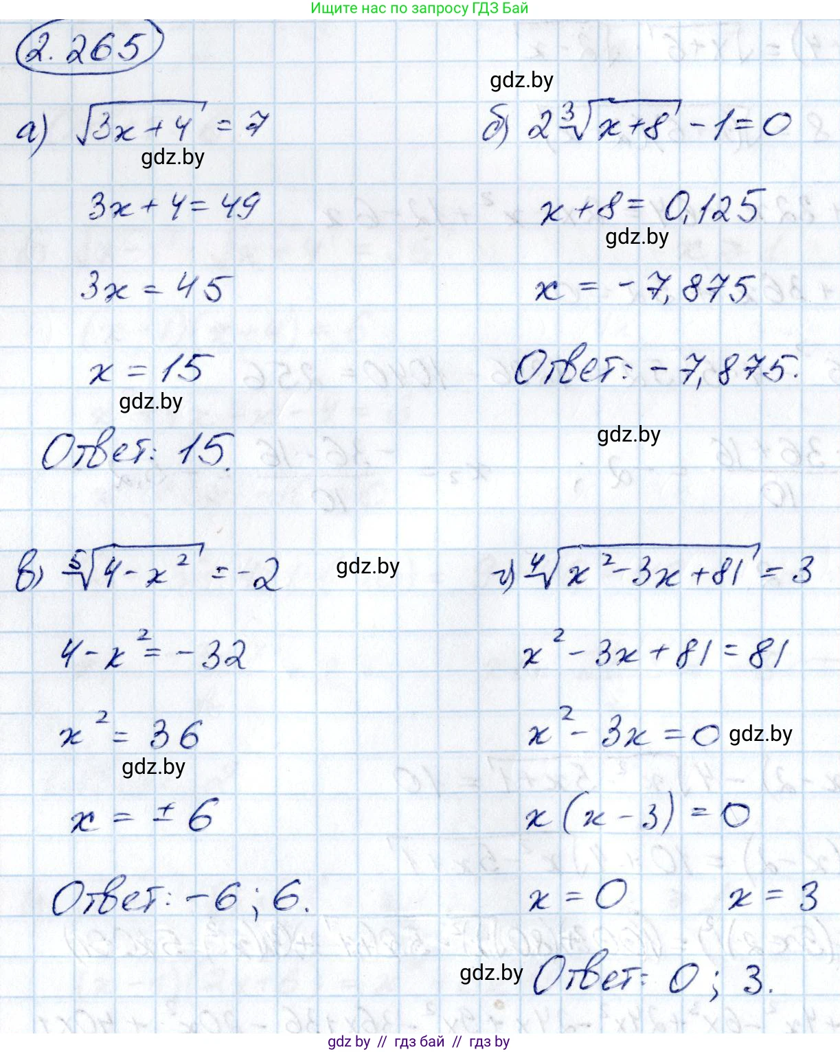
2.265. Решите уравнение:

а) $\sqrt{3x+4}=7;$

б) $2\sqrt[3]{x+8}-1=0;$

в) $\sqrt[5]{4-x^2}=-2;$

г) $\sqrt[4]{x^2-3x+81}=3;$

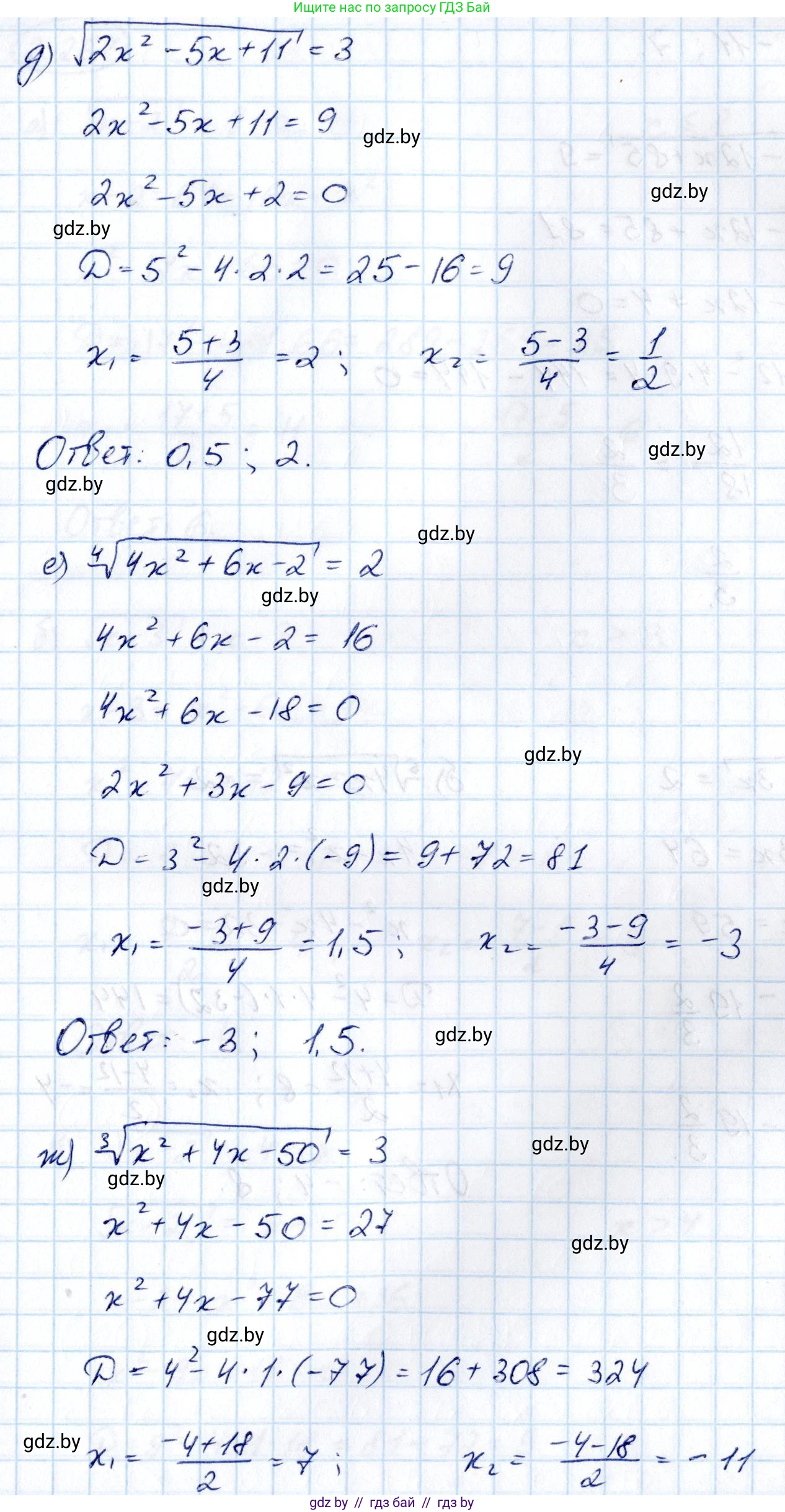
д) $\sqrt{2x^2-5x+11}=3;$

е) $\sqrt[4]{4x^2+6x-2}=2;$

ж) $\sqrt[3]{x^2+4x-50}=3;$

з) $\sqrt{9x^2-12x+85}=9.$

Решение. №2.265 (с. 214)
Алгебра, 10 класс Учебник, авторы: Арефьева Ирина Глебовна, Пирютко Ольга Николаевна, издательство Народная асвета, Минск, 2019, голубого цвета, страница 214, номер 2.265, Решение Алгебра, 10 класс Учебник, авторы: Арефьева Ирина Глебовна, Пирютко Ольга Николаевна, издательство Народная асвета, Минск, 2019, голубого цвета, страница 214, номер 2.265, Решение (продолжение 2)
Решение 2. №2.265 (с. 214)

а) $\sqrt{3x + 4} = 7$

Возведем обе части уравнения в квадрат, так как корень квадратный (четной степени), а правая часть ($7$) — неотрицательное число:

$(\sqrt{3x + 4})^2 = 7^2$

$3x + 4 = 49$

Решим полученное линейное уравнение:

$3x = 49 - 4$

$3x = 45$

$x = \frac{45}{3}$

$x = 15$

Проверка: $\sqrt{3 \cdot 15 + 4} = \sqrt{45+4} = \sqrt{49} = 7$. Равенство верно.

Ответ: 15

б) $2\sqrt[3]{x + 8} - 1 = 0$

Изолируем радикал:

$2\sqrt[3]{x + 8} = 1$

$\sqrt[3]{x + 8} = \frac{1}{2}$

Возведем обе части уравнения в куб:

$(\sqrt[3]{x + 8})^3 = (\frac{1}{2})^3$

$x + 8 = \frac{1}{8}$

Найдем $x$:

$x = \frac{1}{8} - 8 = \frac{1}{8} - \frac{64}{8} = -\frac{63}{8}$

Так как корень нечетной степени, проверка не обязательна. Выделим целую часть из неправильной дроби:

$-\frac{63}{8} = -7\frac{7}{8}$

Ответ: $-7\frac{7}{8}$

в) $\sqrt[5]{4 - x^2} = -2$

Возведем обе части уравнения в пятую степень (нечетная степень):

$(\sqrt[5]{4 - x^2})^5 = (-2)^5$

$4 - x^2 = -32$

Решим полученное уравнение:

$-x^2 = -32 - 4$

$-x^2 = -36$

$x^2 = 36$

$x = \pm\sqrt{36}$

$x_1 = 6, x_2 = -6$

Ответ: $\pm 6$

г) $\sqrt[4]{x^2 - 3x + 81} = 3$

Возведем обе части уравнения в четвертую степень:

$(\sqrt[4]{x^2 - 3x + 81})^4 = 3^4$

$x^2 - 3x + 81 = 81$

Решим полученное квадратное уравнение:

$x^2 - 3x = 0$

$x(x - 3) = 0$

Отсюда получаем два корня:

$x_1 = 0$

$x_2 = 3$

Проверка подкоренного выражения: $x^2 - 3x + 81 > 0$ для любых $x$, так как дискриминант $D = (-3)^2 - 4 \cdot 1 \cdot 81 < 0$ и ветви параболы направлены вверх.

Ответ: 0; 3

д) $\sqrt{2x^2 - 5x + 11} = 3$

Возведем обе части уравнения в квадрат:

$(\sqrt{2x^2 - 5x + 11})^2 = 3^2$

$2x^2 - 5x + 11 = 9$

$2x^2 - 5x + 2 = 0$

Решим квадратное уравнение с помощью дискриминанта:

$D = (-5)^2 - 4 \cdot 2 \cdot 2 = 25 - 16 = 9$

$x_1 = \frac{5 - \sqrt{9}}{2 \cdot 2} = \frac{5 - 3}{4} = \frac{2}{4} = \frac{1}{2}$

$x_2 = \frac{5 + \sqrt{9}}{2 \cdot 2} = \frac{5 + 3}{4} = \frac{8}{4} = 2$

Ответ: $\frac{1}{2}$; 2

е) $\sqrt[4]{4x^2 + 6x - 2} = 2$

Возведем обе части уравнения в четвертую степень:

$(\sqrt[4]{4x^2 + 6x - 2})^4 = 2^4$

$4x^2 + 6x - 2 = 16$

$4x^2 + 6x - 18 = 0$

Разделим все уравнение на 2 для упрощения:

$2x^2 + 3x - 9 = 0$

Решим квадратное уравнение:

$D = 3^2 - 4 \cdot 2 \cdot (-9) = 9 + 72 = 81$

$x_1 = \frac{-3 - \sqrt{81}}{2 \cdot 2} = \frac{-3 - 9}{4} = \frac{-12}{4} = -3$

$x_2 = \frac{-3 + \sqrt{81}}{2 \cdot 2} = \frac{-3 + 9}{4} = \frac{6}{4} = \frac{3}{2}$

Выделим целую часть из неправильной дроби $\frac{3}{2} = 1\frac{1}{2}$.

Ответ: -3; $1\frac{1}{2}$

ж) $\sqrt[3]{x^2 + 4x - 50} = 3$

Возведем обе части уравнения в куб:

$(\sqrt[3]{x^2 + 4x - 50})^3 = 3^3$

$x^2 + 4x - 50 = 27$

$x^2 + 4x - 77 = 0$

Решим квадратное уравнение по теореме Виета: произведение корней равно -77, а сумма -4. Подходят числа -11 и 7.

$x_1 = -11, x_2 = 7$

Ответ: -11; 7

з) $\sqrt{9x^2 - 12x + 85} = 9$

Возведем обе части уравнения в квадрат:

$(\sqrt{9x^2 - 12x + 85})^2 = 9^2$

$9x^2 - 12x + 85 = 81$

$9x^2 - 12x + 4 = 0$

Левая часть является полным квадратом:

$(3x)^2 - 2 \cdot (3x) \cdot 2 + 2^2 = 0$

$(3x - 2)^2 = 0$

Решим полученное уравнение:

$3x - 2 = 0$

$3x = 2$

$x = \frac{2}{3}$

Ответ: $\frac{2}{3}$

Помогло решение? Оставьте отзыв в комментариях ниже.

Присоединяйтесь к Телеграм-группе @gdz_by_belarus

Присоединиться

Мы подготовили для вас ответ c подробным объяснением домашего задания по алгебре за 10 класс, для упражнения номер 2.265 расположенного на странице 214 к учебнику 2019 года издания для учащихся школ и гимназий.

Теперь на нашем сайте ГДЗ.ТОП вы всегда легко и бесплатно найдёте условие с правильным ответом на вопрос «Как решить ДЗ» и «Как сделать» задание по алгебре к упражнению №2.265 (с. 214), авторов: Арефьева (Ирина Глебовна), Пирютко (Ольга Николаевна), учебного пособия издательства Народная асвета.