Номер 2.270, страница 214 - гдз по алгебре 10 класс учебник Арефьева, Пирютко

Алгебра, 10 класс Учебник, авторы: Арефьева Ирина Глебовна, Пирютко Ольга Николаевна, издательство Народная асвета, Минск, 2019, голубого цвета

Авторы: Арефьева И. Г., Пирютко О. Н.

Тип: Учебник

Издательство: Народная асвета

Год издания: 2019 - 2025

Цвет обложки: голубой с графиком

Допущено Министерством образования Республики Беларусь

Популярные ГДЗ в 10 классе

Глава 2. Корень n-й степени из числа. Параграф 17. Иррациональные уравнения - номер 2.270, страница 214.

№2.270 (с. 214)
Условие. №2.270 (с. 214)
скриншот условия
Алгебра, 10 класс Учебник, авторы: Арефьева Ирина Глебовна, Пирютко Ольга Николаевна, издательство Народная асвета, Минск, 2019, голубого цвета, страница 214, номер 2.270, Условие

2.270. Найдите нули функции:

а) $y = \sqrt{x+3}-x+3$;

б) $y = \sqrt{2x^2-7x+5}+x-1$.

Решение. №2.270 (с. 214)
Алгебра, 10 класс Учебник, авторы: Арефьева Ирина Глебовна, Пирютко Ольга Николаевна, издательство Народная асвета, Минск, 2019, голубого цвета, страница 214, номер 2.270, Решение Алгебра, 10 класс Учебник, авторы: Арефьева Ирина Глебовна, Пирютко Ольга Николаевна, издательство Народная асвета, Минск, 2019, голубого цвета, страница 214, номер 2.270, Решение (продолжение 2)
Решение 2. №2.270 (с. 214)

a) Чтобы найти нули функции $y = \sqrt{x+3} - x + 3$, необходимо приравнять функцию к нулю и решить полученное уравнение:
$\sqrt{x+3} - x + 3 = 0$
Для решения этого иррационального уравнения уединим корень в одной части уравнения:
$\sqrt{x+3} = x - 3$
Прежде чем возводить в квадрат, определим область допустимых значений (ОДЗ). Выражение под знаком корня должно быть неотрицательным, и часть уравнения, которой равен корень, также должна быть неотрицательной.
$ \begin{cases} x + 3 \ge 0 \\ x - 3 \ge 0 \end{cases} $
$ \begin{cases} x \ge -3 \\ x \ge 3 \end{cases} $
Следовательно, ОДЗ: $x \ge 3$.
Теперь возведем обе части уравнения $\sqrt{x+3} = x - 3$ в квадрат:
$(\sqrt{x+3})^2 = (x - 3)^2$
$x + 3 = x^2 - 6x + 9$
Перенесем все члены в одну сторону, чтобы получить стандартное квадратное уравнение:
$x^2 - 6x - x + 9 - 3 = 0$
$x^2 - 7x + 6 = 0$
Найдем корни этого уравнения, используя теорему Виета. Сумма корней $x_1 + x_2 = 7$, а их произведение $x_1 \cdot x_2 = 6$. Отсюда корни:
$x_1 = 1$, $x_2 = 6$.
Проверим, удовлетворяют ли найденные корни ОДЗ ($x \ge 3$):

  • $x_1 = 1$ не удовлетворяет условию $1 \ge 3$, значит, это посторонний корень.
  • $x_2 = 6$ удовлетворяет условию $6 \ge 3$, значит, это решение.

Проведем проверку, подставив $x=6$ в исходное уравнение:
$\sqrt{6+3} - 6 + 3 = \sqrt{9} - 3 = 3 - 3 = 0$.
$0 = 0$. Равенство верное.
Ответ: 6

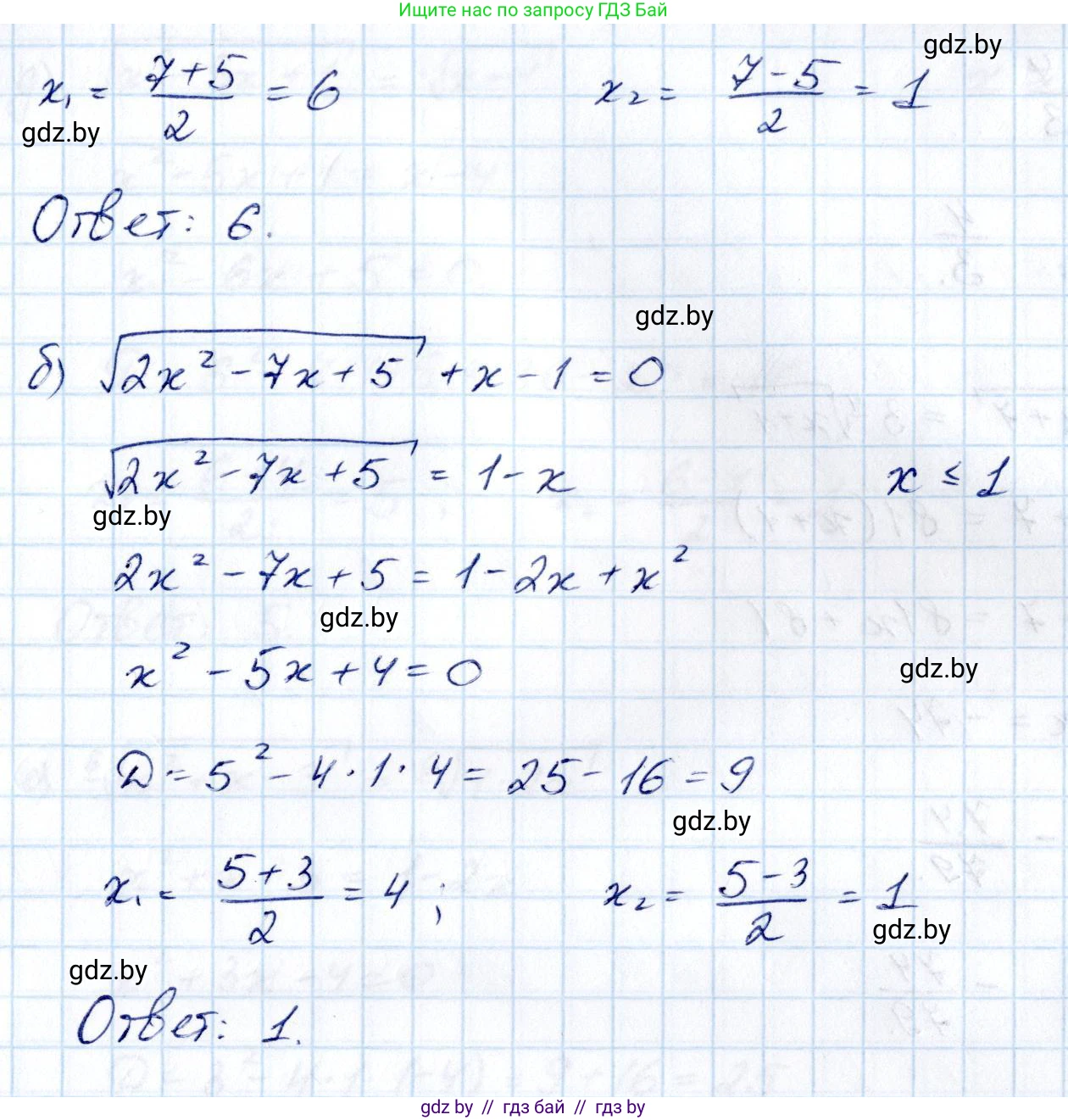
б) Чтобы найти нули функции $y = \sqrt{2x^2 - 7x + 5} + x - 1$, приравняем ее к нулю:
$\sqrt{2x^2 - 7x + 5} + x - 1 = 0$
Уединим радикал:
$\sqrt{2x^2 - 7x + 5} = 1 - x$
Найдем область допустимых значений (ОДЗ):
$ \begin{cases} 2x^2 - 7x + 5 \ge 0 \\ 1 - x \ge 0 \end{cases} $
Решим первое неравенство. Найдем корни уравнения $2x^2 - 7x + 5 = 0$.
Дискриминант $D = (-7)^2 - 4 \cdot 2 \cdot 5 = 49 - 40 = 9$.
$x_{1,2} = \frac{7 \pm \sqrt{9}}{4} = \frac{7 \pm 3}{4}$.
$x_1 = \frac{4}{4} = 1$, $x_2 = \frac{10}{4} = \frac{5}{2}$.
Так как ветви параболы $y=2x^2-7x+5$ направлены вверх, неравенство $2x^2 - 7x + 5 \ge 0$ выполняется при $x \in (-\infty, 1] \cup [\frac{5}{2}, +\infty)$.
Второе неравенство системы: $1 - x \ge 0 \implies x \le 1$.
Пересечением двух условий $(-\infty, 1] \cup [\frac{5}{2}, +\infty)$ и $x \le 1$ является $x \le 1$. Это и есть ОДЗ.
Возведем обе части уравнения $\sqrt{2x^2 - 7x + 5} = 1 - x$ в квадрат:
$2x^2 - 7x + 5 = (1 - x)^2$
$2x^2 - 7x + 5 = 1 - 2x + x^2$
Приведем к стандартному виду:
$2x^2 - x^2 - 7x + 2x + 5 - 1 = 0$
$x^2 - 5x + 4 = 0$
По теореме Виета, $x_1 + x_2 = 5$ и $x_1 \cdot x_2 = 4$. Корни:
$x_1 = 1$, $x_2 = 4$.
Проверим корни на соответствие ОДЗ ($x \le 1$):

  • $x_1 = 1$ удовлетворяет условию $1 \le 1$, значит, это решение.
  • $x_2 = 4$ не удовлетворяет условию $4 \le 1$, значит, это посторонний корень.

Проведем проверку, подставив $x=1$ в исходное уравнение:
$\sqrt{2(1)^2 - 7(1) + 5} + 1 - 1 = \sqrt{2-7+5} + 0 = \sqrt{0} = 0$.
$0=0$. Равенство верное.
Ответ: 1

Помогло решение? Оставьте отзыв в комментариях ниже.

Присоединяйтесь к Телеграм-группе @gdz_by_belarus

Присоединиться

Мы подготовили для вас ответ c подробным объяснением домашего задания по алгебре за 10 класс, для упражнения номер 2.270 расположенного на странице 214 к учебнику 2019 года издания для учащихся школ и гимназий.

Теперь на нашем сайте ГДЗ.ТОП вы всегда легко и бесплатно найдёте условие с правильным ответом на вопрос «Как решить ДЗ» и «Как сделать» задание по алгебре к упражнению №2.270 (с. 214), авторов: Арефьева (Ирина Глебовна), Пирютко (Ольга Николаевна), учебного пособия издательства Народная асвета.