Номер 3.96, страница 253 - гдз по алгебре 10 класс учебник Арефьева, Пирютко

Алгебра, 10 класс Учебник, авторы: Арефьева Ирина Глебовна, Пирютко Ольга Николаевна, издательство Народная асвета, Минск, 2019, голубого цвета

Авторы: Арефьева И. Г., Пирютко О. Н.

Тип: Учебник

Издательство: Народная асвета

Год издания: 2019 - 2025

Цвет обложки: голубой с графиком

Допущено Министерством образования Республики Беларусь

Популярные ГДЗ в 10 классе

Глава 3. Производная. Параграф 20. Геометрический смысл производной. Связь между знаком производной функции и ее возрастанием или убыванием - номер 3.96, страница 253.

№3.96 (с. 253)
Условие. №3.96 (с. 253)
скриншот условия
Алгебра, 10 класс Учебник, авторы: Арефьева Ирина Глебовна, Пирютко Ольга Николаевна, издательство Народная асвета, Минск, 2019, голубого цвета, страница 253, номер 3.96, Условие

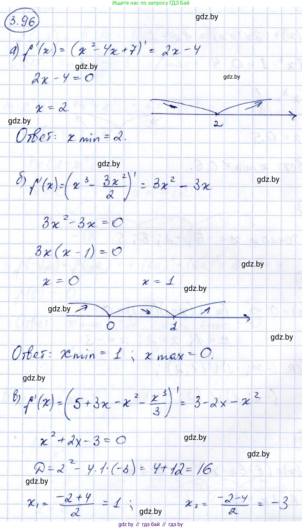
3.96. Используйте алгоритм и найдите точки экстремума функции:

a) $f(x) = x^2 - 4x + 7;$

б) $f(x) = x^3 - \frac{3x^2}{2};$

в) $f(x) = 5 + 3x - x^2 - \frac{x^3}{3};$

г) $f(x) = 2x^4 - x.$

Решение. №3.96 (с. 253)
Алгебра, 10 класс Учебник, авторы: Арефьева Ирина Глебовна, Пирютко Ольга Николаевна, издательство Народная асвета, Минск, 2019, голубого цвета, страница 253, номер 3.96, Решение Алгебра, 10 класс Учебник, авторы: Арефьева Ирина Глебовна, Пирютко Ольга Николаевна, издательство Народная асвета, Минск, 2019, голубого цвета, страница 253, номер 3.96, Решение (продолжение 2)
Решение 2. №3.96 (с. 253)

Для нахождения точек экстремума функции используется следующий алгоритм:

  1. Найти область определения функции $D(f)$.
  2. Найти производную функции $f'(x)$.
  3. Найти стационарные (критические) точки, решив уравнение $f'(x) = 0$ (а также найдя точки, в которых производная не существует).
  4. Отметить критические точки на числовой оси и определить знаки производной на получившихся интервалах.
  5. Определить точки экстремума: если при переходе через критическую точку производная меняет знак с «+» на «−», то это точка максимума ($x_{max}$); если с «−» на «+», то это точка минимума ($x_{min}$).

a) $f(x) = x^2 - 4x + 7$

1. Область определения функции — все действительные числа, $D(f) = (-\infty; +\infty)$, так как функция является многочленом.

2. Находим производную функции: $f'(x) = (x^2 - 4x + 7)' = 2x - 4$.

3. Находим критические точки, приравнивая производную к нулю: $f'(x) = 0$.

$2x - 4 = 0 \Rightarrow 2x = 4 \Rightarrow x = 2$.

4. Исследуем знак производной. При $x < 2$, $f'(x) < 0$ (функция убывает). При $x > 2$, $f'(x) > 0$ (функция возрастает).

5. В точке $x = 2$ производная меняет знак с «−» на «+», следовательно, $x=2$ является точкой минимума.

Ответ: $x_{min} = 2$.

б) $f(x) = x^3 - \frac{3x^2}{2}$

1. Область определения функции — все действительные числа, $D(f) = (-\infty; +\infty)$.

2. Находим производную: $f'(x) = (x^3 - \frac{3}{2}x^2)' = 3x^2 - 2 \cdot \frac{3}{2}x = 3x^2 - 3x$.

3. Находим критические точки: $f'(x) = 0$.

$3x^2 - 3x = 0 \Rightarrow 3x(x - 1) = 0$.

Критические точки: $x_1 = 0$, $x_2 = 1$.

4. Исследуем знак производной на интервалах $(-\infty; 0)$, $(0; 1)$ и $(1; +\infty)$.

  • На интервале $(-\infty; 0)$, $f'(x) > 0$ (функция возрастает).
  • На интервале $(0; 1)$, $f'(x) < 0$ (функция убывает).
  • На интервале $(1; +\infty)$, $f'(x) > 0$ (функция возрастает).

5. В точке $x=0$ производная меняет знак с «+» на «−», следовательно, это точка максимума. В точке $x=1$ производная меняет знак с «−» на «+», следовательно, это точка минимума.

Ответ: $x_{max} = 0, x_{min} = 1$.

в) $f(x) = 5 + 3x - x^2 - \frac{x^3}{3}$

1. Область определения функции — все действительные числа, $D(f) = (-\infty; +\infty)$.

2. Находим производную: $f'(x) = (5 + 3x - x^2 - \frac{x^3}{3})' = 3 - 2x - x^2$.

3. Находим критические точки: $f'(x) = 0$.

$-x^2 - 2x + 3 = 0 \Rightarrow x^2 + 2x - 3 = 0$.

По теореме Виета (или через дискриминант) находим корни: $x_1 = -3$, $x_2 = 1$.

4. Графиком производной $y = -x^2 - 2x + 3$ является парабола с ветвями, направленными вниз. Следовательно, $f'(x) < 0$ на интервалах $(-\infty; -3)$ и $(1; +\infty)$ (функция убывает), и $f'(x) > 0$ на интервале $(-3; 1)$ (функция возрастает).

5. В точке $x=-3$ производная меняет знак с «−» на «+», следовательно, это точка минимума. В точке $x=1$ производная меняет знак с «+» на «−», следовательно, это точка максимума. Значение функции в точке максимума: $f(1) = 5 + 3(1) - 1^2 - \frac{1^3}{3} = 5 + 3 - 1 - \frac{1}{3} = 7 - \frac{1}{3} = \frac{21-1}{3} = \frac{20}{3}$. Выделим целую часть: $f(1) = 6\frac{2}{3}$.

Ответ: $x_{min} = -3, x_{max} = 1$.

г) $f(x) = 2x^4 - x$

1. Область определения функции — все действительные числа, $D(f) = (-\infty; +\infty)$.

2. Находим производную: $f'(x) = (2x^4 - x)' = 8x^3 - 1$.

3. Находим критические точки: $f'(x) = 0$.

$8x^3 - 1 = 0 \Rightarrow 8x^3 = 1 \Rightarrow x^3 = \frac{1}{8} \Rightarrow x = \frac{1}{2}$.

4. Исследуем знак производной. При $x < \frac{1}{2}$, $f'(x) < 0$ (функция убывает). При $x > \frac{1}{2}$, $f'(x) > 0$ (функция возрастает).

5. В точке $x = \frac{1}{2}$ производная меняет знак с «−» на «+», следовательно, $x=\frac{1}{2}$ является точкой минимума.

Ответ: $x_{min} = \frac{1}{2}$.

Помогло решение? Оставьте отзыв в комментариях ниже.

Присоединяйтесь к Телеграм-группе @gdz_by_belarus

Присоединиться

Мы подготовили для вас ответ c подробным объяснением домашего задания по алгебре за 10 класс, для упражнения номер 3.96 расположенного на странице 253 к учебнику 2019 года издания для учащихся школ и гимназий.

Теперь на нашем сайте ГДЗ.ТОП вы всегда легко и бесплатно найдёте условие с правильным ответом на вопрос «Как решить ДЗ» и «Как сделать» задание по алгебре к упражнению №3.96 (с. 253), авторов: Арефьева (Ирина Глебовна), Пирютко (Ольга Николаевна), учебного пособия издательства Народная асвета.