Номер 3.94, страница 253 - гдз по алгебре 10 класс учебник Арефьева, Пирютко

Алгебра, 10 класс Учебник, авторы: Арефьева Ирина Глебовна, Пирютко Ольга Николаевна, издательство Народная асвета, Минск, 2019, голубого цвета

Авторы: Арефьева И. Г., Пирютко О. Н.

Тип: Учебник

Издательство: Народная асвета

Год издания: 2019 - 2025

Цвет обложки: голубой с графиком

Допущено Министерством образования Республики Беларусь

Популярные ГДЗ в 10 классе

Глава 3. Производная. Параграф 20. Геометрический смысл производной. Связь между знаком производной функции и ее возрастанием или убыванием - номер 3.94, страница 253.

№3.94 (с. 253)
Условие. №3.94 (с. 253)
скриншот условия
Алгебра, 10 класс Учебник, авторы: Арефьева Ирина Глебовна, Пирютко Ольга Николаевна, издательство Народная асвета, Минск, 2019, голубого цвета, страница 253, номер 3.94, Условие

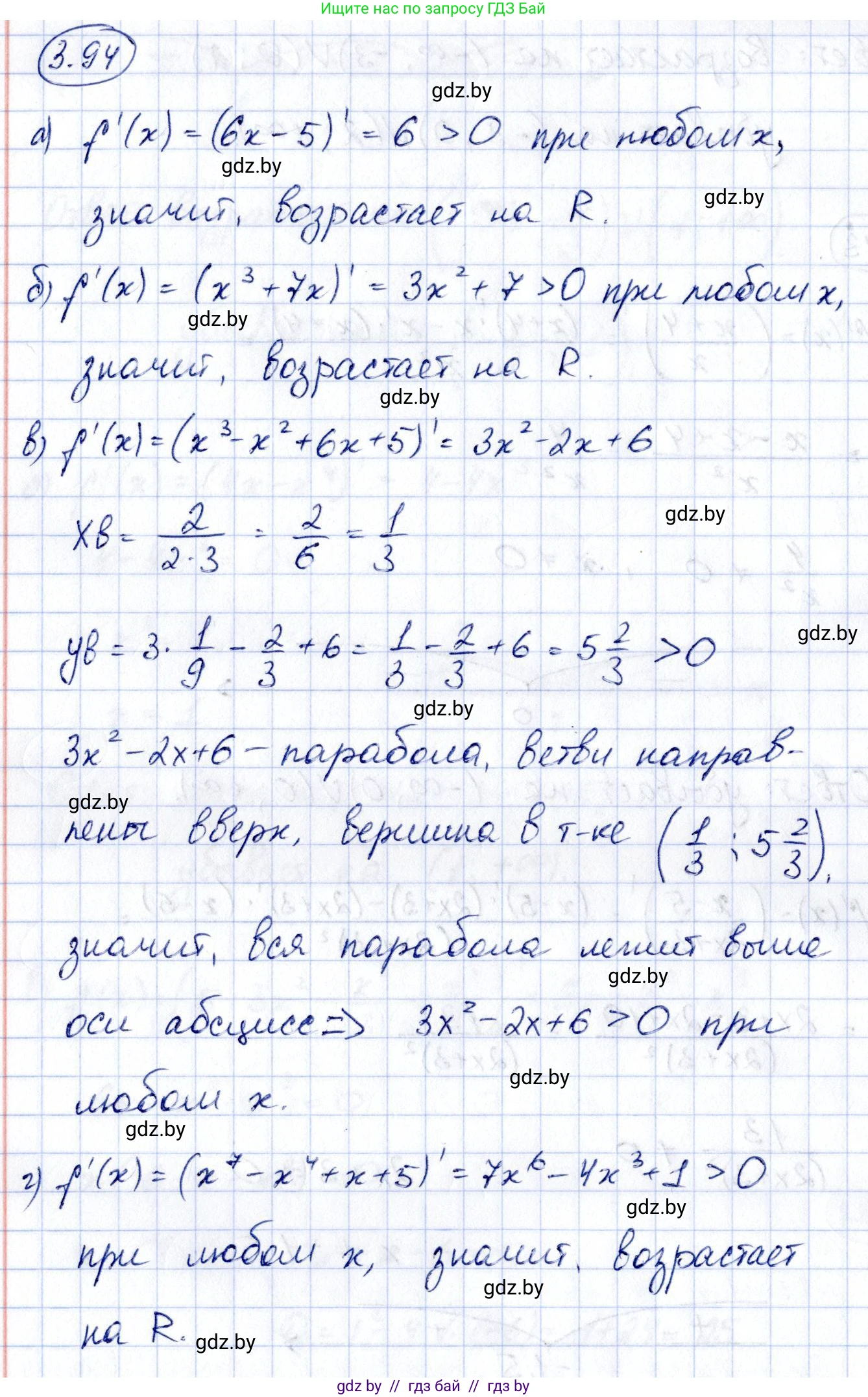
3.94. Докажите, что функция $y = f(x)$ возрастает на всей области определения:

а) $f(x) = 6x - 5;$

б) $f(x) = x^3 + 7x;$

в) $f(x) = x^3 - x^2 + 6x + 5;$

г) $f(x) = x^7 - x^4 + x + 5.$

Решение. №3.94 (с. 253)
Алгебра, 10 класс Учебник, авторы: Арефьева Ирина Глебовна, Пирютко Ольга Николаевна, издательство Народная асвета, Минск, 2019, голубого цвета, страница 253, номер 3.94, Решение
Решение 2. №3.94 (с. 253)

Для доказательства того, что функция возрастает на всей области определения, мы используем производную. Если производная функции $f'(x) > 0$ для всех $x$ из области определения, то функция является строго возрастающей. Для всех представленных функций область определения — это все действительные числа, $x \in (-\infty; +\infty)$.

а) Дана функция $f(x) = 6x - 5$.

Найдем ее производную: $f'(x) = (6x - 5)' = 6$.

Производная функции $f'(x) = 6$ является постоянной положительной величиной для любого значения $x$. Так как $f'(x) > 0$, функция $f(x)$ возрастает на всей области определения.

Ответ: Доказано, что функция возрастает на всей области определения, поскольку ее производная $f'(x) = 6$ положительна.


б) Дана функция $f(x) = x^3 + 7x$.

Найдем ее производную: $f'(x) = (x^3 + 7x)' = 3x^2 + 7$.

Проанализируем знак производной. Выражение $x^2$ всегда неотрицательно, то есть $x^2 \ge 0$ для любого $x$. Следовательно, $3x^2 \ge 0$. Прибавив к неотрицательному числу 7, мы получим строго положительное число: $3x^2 + 7 \ge 7 > 0$.

Таким образом, $f'(x) > 0$ для всех $x$, и функция $f(x)$ возрастает на всей области определения.

Ответ: Доказано, что функция возрастает на всей области определения, так как ее производная $f'(x) = 3x^2 + 7$ всегда положительна.


в) Дана функция $f(x) = x^3 - x^2 + 6x + 5$.

Найдем ее производную: $f'(x) = (x^3 - x^2 + 6x + 5)' = 3x^2 - 2x + 6$.

Чтобы определить знак производной, которая является квадратичной функцией, исследуем ее. Это парабола с ветвями, направленными вверх (коэффициент при $x^2$ равен 3, что больше 0). Найдем ее наименьшее значение, выделив полный квадрат: $3x^2 - 2x + 6 = 3(x^2 - \frac{2}{3}x) + 6 = 3(x^2 - 2 \cdot x \cdot \frac{1}{3} + (\frac{1}{3})^2 - (\frac{1}{3})^2) + 6$ $= 3((x - \frac{1}{3})^2 - \frac{1}{9}) + 6 = 3(x - \frac{1}{3})^2 - \frac{3}{9} + 6 = 3(x - \frac{1}{3})^2 - \frac{1}{3} + 6 = 3(x - \frac{1}{3})^2 + \frac{17}{3}$.

Выделим целую часть из неправильной дроби $\frac{17}{3}$: $\frac{17}{3} = 5\frac{2}{3}$. $f'(x) = 3(x - \frac{1}{3})^2 + 5\frac{2}{3}$.

Поскольку выражение $(x - \frac{1}{3})^2 \ge 0$, минимальное значение производной достигается при $x = \frac{1}{3}$ и равно $5\frac{2}{3}$. Так как минимальное значение производной положительно, $f'(x) > 0$ для всех $x$. Следовательно, функция $f(x)$ возрастает на всей области определения.

Ответ: Доказано, что функция возрастает на всей области определения, так как ее производная $f'(x) = 3x^2 - 2x + 6$ всегда положительна.


г) Дана функция $f(x) = x^7 - x^4 + x + 5$.

Найдем ее производную: $f'(x) = (x^7 - x^4 + x + 5)' = 7x^6 - 4x^3 + 1$.

Для анализа знака производной сделаем замену $t = x^3$. Тогда $x^6 = (x^3)^2 = t^2$, и выражение для производной можно рассматривать как квадратичную функцию от $t$: $g(t) = 7t^2 - 4t + 1$.

Это парабола с ветвями, направленными вверх (коэффициент при $t^2$ равен 7, что больше 0). Найдем дискриминант этого квадратного трехчлена: $D = b^2 - 4ac = (-4)^2 - 4 \cdot 7 \cdot 1 = 16 - 28 = -12$.

Так как дискриминант $D < 0$ и старший коэффициент $a = 7 > 0$, квадратный трехчлен $7t^2 - 4t + 1$ принимает только положительные значения при любом действительном $t$. Поскольку $t = x^3$ может принимать любое действительное значение, то и производная $f'(x) = 7x^6 - 4x^3 + 1$ всегда положительна.

Следовательно, функция $f(x)$ возрастает на всей области определения.

Ответ: Доказано, что функция возрастает на всей области определения, поскольку ее производная $f'(x) = 7x^6 - 4x^3 + 1$ всегда положительна.

Помогло решение? Оставьте отзыв в комментариях ниже.

Присоединяйтесь к Телеграм-группе @gdz_by_belarus

Присоединиться

Мы подготовили для вас ответ c подробным объяснением домашего задания по алгебре за 10 класс, для упражнения номер 3.94 расположенного на странице 253 к учебнику 2019 года издания для учащихся школ и гимназий.

Теперь на нашем сайте ГДЗ.ТОП вы всегда легко и бесплатно найдёте условие с правильным ответом на вопрос «Как решить ДЗ» и «Как сделать» задание по алгебре к упражнению №3.94 (с. 253), авторов: Арефьева (Ирина Глебовна), Пирютко (Ольга Николаевна), учебного пособия издательства Народная асвета.