Номер 3.87, страница 253 - гдз по алгебре 10 класс учебник Арефьева, Пирютко

Алгебра, 10 класс Учебник, авторы: Арефьева Ирина Глебовна, Пирютко Ольга Николаевна, издательство Народная асвета, Минск, 2019, голубого цвета

Авторы: Арефьева И. Г., Пирютко О. Н.

Тип: Учебник

Издательство: Народная асвета

Год издания: 2019 - 2025

Цвет обложки: голубой с графиком

Допущено Министерством образования Республики Беларусь

Популярные ГДЗ в 10 классе

Глава 3. Производная. Параграф 20. Геометрический смысл производной. Связь между знаком производной функции и ее возрастанием или убыванием - номер 3.87, страница 253.

№3.87 (с. 253)
Условие. №3.87 (с. 253)
скриншот условия
Алгебра, 10 класс Учебник, авторы: Арефьева Ирина Глебовна, Пирютко Ольга Николаевна, издательство Народная асвета, Минск, 2019, голубого цвета, страница 253, номер 3.87, Условие

3.87. Определите, принадлежит ли точка графику функции $f(x) = \frac{3x-2}{x+1}$,

составьте уравнение касательной к графику данной функции в точке:

a) A(1; 0,5);

б) A(0; -2).

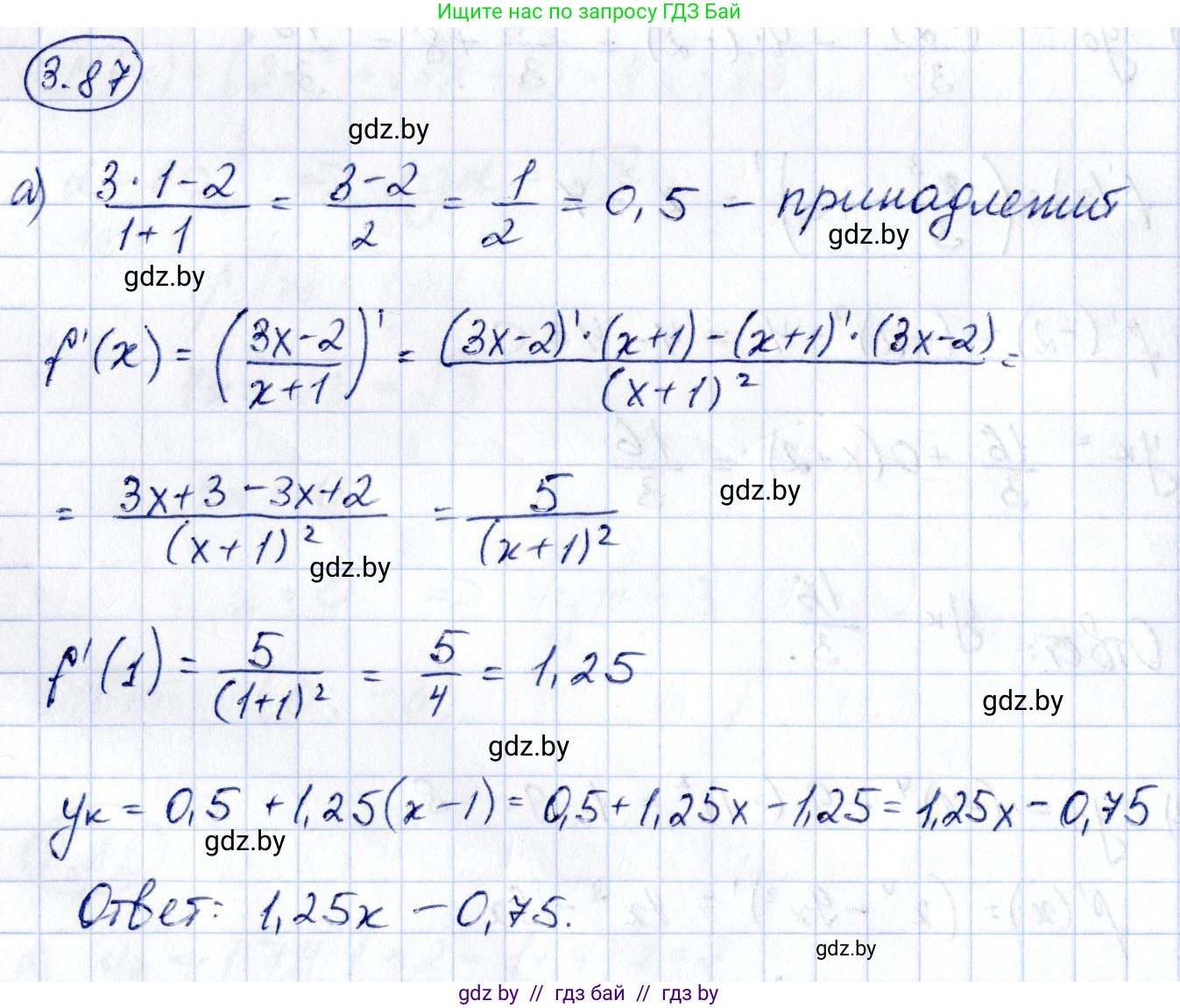
Решение. №3.87 (с. 253)
Алгебра, 10 класс Учебник, авторы: Арефьева Ирина Глебовна, Пирютко Ольга Николаевна, издательство Народная асвета, Минск, 2019, голубого цвета, страница 253, номер 3.87, Решение Алгебра, 10 класс Учебник, авторы: Арефьева Ирина Глебовна, Пирютко Ольга Николаевна, издательство Народная асвета, Минск, 2019, голубого цвета, страница 253, номер 3.87, Решение (продолжение 2)
Решение 2. №3.87 (с. 253)

Для решения задачи сначала определим, принадлежит ли точка графику функции, подставив её координаты в уравнение функции. Затем, если точка принадлежит графику, составим уравнение касательной, используя формулу $y = f(x_0) + f'(x_0)(x - x_0)$.

Дана функция $f(x) = \frac{3x-2}{x+1}$.

Найдем её производную, используя правило дифференцирования частного $\left(\frac{u}{v}\right)' = \frac{u'v - uv'}{v^2}$:

$f'(x) = \left(\frac{3x-2}{x+1}\right)' = \frac{(3x-2)'(x+1) - (3x-2)(x+1)'}{(x+1)^2} = \frac{3(x+1) - (3x-2) \cdot 1}{(x+1)^2} = \frac{3x+3-3x+2}{(x+1)^2} = \frac{5}{(x+1)^2}$.

Теперь рассмотрим каждую точку отдельно.

а) A(1; 0,5);

1. Проверка принадлежности точки графику.
Подставим абсциссу точки $x=1$ в функцию:

$f(1) = \frac{3(1) - 2}{1+1} = \frac{3 - 2}{2} = \frac{1}{2} = 0,5$.

Так как полученное значение совпадает с ординатой точки А, точка A(1; 0,5) принадлежит графику функции.

2. Составление уравнения касательной.
Используем точку касания $x_0 = 1$. Мы уже знаем, что $f(x_0) = f(1) = \frac{1}{2}$.
Найдем значение производной в этой точке:

$f'(x_0) = f'(1) = \frac{5}{(1+1)^2} = \frac{5}{2^2} = \frac{5}{4}$.

Подставим найденные значения $x_0=1$, $f(x_0)=\frac{1}{2}$ и $f'(x_0)=\frac{5}{4}$ в уравнение касательной:

$y = f(x_0) + f'(x_0)(x - x_0)$

$y = \frac{1}{2} + \frac{5}{4}(x - 1)$

$y = \frac{1}{2} + \frac{5}{4}x - \frac{5}{4}$

$y = \frac{2}{4} + \frac{5}{4}x - \frac{5}{4}$

$y = \frac{5}{4}x - \frac{3}{4}$

Выделим целую часть из неправильной дроби $\frac{5}{4} = 1\frac{1}{4}$.

Ответ: Точка принадлежит графику. Уравнение касательной: $y = \mathbf{1}\frac{1}{4}x - \frac{3}{4}$.

б) A(0; -2);

1. Проверка принадлежности точки графику.
Подставим абсциссу точки $x=0$ в функцию:

$f(0) = \frac{3(0) - 2}{0+1} = \frac{-2}{1} = -2$.

Так как полученное значение совпадает с ординатой точки А, точка A(0; -2) принадлежит графику функции.

2. Составление уравнения касательной.
Используем точку касания $x_0 = 0$. Мы уже знаем, что $f(x_0) = f(0) = -2$.
Найдем значение производной в этой точке:

$f'(x_0) = f'(0) = \frac{5}{(0+1)^2} = \frac{5}{1^2} = 5$.

Подставим найденные значения $x_0=0$, $f(x_0)=-2$ и $f'(x_0)=5$ в уравнение касательной:

$y = f(x_0) + f'(x_0)(x - x_0)$

$y = -2 + 5(x - 0)$

$y = 5x - 2$

Ответ: Точка принадлежит графику. Уравнение касательной: $y = 5x - 2$.

Помогло решение? Оставьте отзыв в комментариях ниже.

Присоединяйтесь к Телеграм-группе @gdz_by_belarus

Присоединиться

Мы подготовили для вас ответ c подробным объяснением домашего задания по алгебре за 10 класс, для упражнения номер 3.87 расположенного на странице 253 к учебнику 2019 года издания для учащихся школ и гимназий.

Теперь на нашем сайте ГДЗ.ТОП вы всегда легко и бесплатно найдёте условие с правильным ответом на вопрос «Как решить ДЗ» и «Как сделать» задание по алгебре к упражнению №3.87 (с. 253), авторов: Арефьева (Ирина Глебовна), Пирютко (Ольга Николаевна), учебного пособия издательства Народная асвета.