Номер 3.85, страница 252 - гдз по алгебре 10 класс учебник Арефьева, Пирютко

Алгебра, 10 класс Учебник, авторы: Арефьева Ирина Глебовна, Пирютко Ольга Николаевна, издательство Народная асвета, Минск, 2019, голубого цвета

Авторы: Арефьева И. Г., Пирютко О. Н.

Тип: Учебник

Издательство: Народная асвета

Год издания: 2019 - 2025

Цвет обложки: голубой с графиком

Допущено Министерством образования Республики Беларусь

Популярные ГДЗ в 10 классе

Глава 3. Производная. Параграф 20. Геометрический смысл производной. Связь между знаком производной функции и ее возрастанием или убыванием - номер 3.85, страница 252.

№3.85 (с. 252)
Условие. №3.85 (с. 252)
скриншот условия
Алгебра, 10 класс Учебник, авторы: Арефьева Ирина Глебовна, Пирютко Ольга Николаевна, издательство Народная асвета, Минск, 2019, голубого цвета, страница 252, номер 3.85, Условие

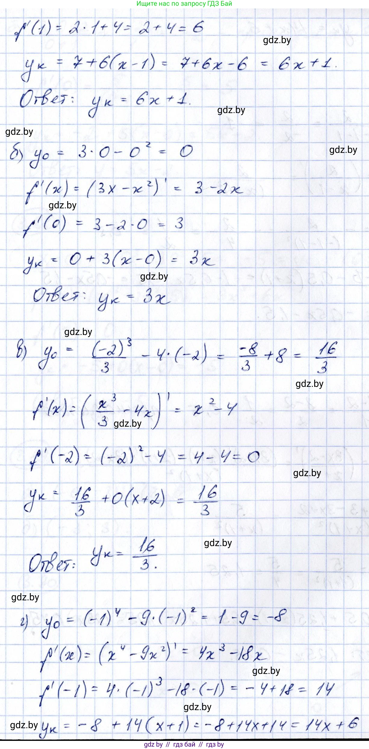
3.85. Составьте уравнение касательной к графику функции $y = f(x)$ в точке с абсциссой $x_0$:

а) $f(x) = x^2 + 4x + 2$, $x_0 = 1$;

б) $f(x) = 3x - x^2$, $x_0 = 0$;

В) $f(x) = \frac{x^3}{3} - 4x$, $x_0 = -2$;

Г) $f(x) = x^4 - 9x^2$, $x_0 = -1$.

Решение. №3.85 (с. 252)
Алгебра, 10 класс Учебник, авторы: Арефьева Ирина Глебовна, Пирютко Ольга Николаевна, издательство Народная асвета, Минск, 2019, голубого цвета, страница 252, номер 3.85, Решение Алгебра, 10 класс Учебник, авторы: Арефьева Ирина Глебовна, Пирютко Ольга Николаевна, издательство Народная асвета, Минск, 2019, голубого цвета, страница 252, номер 3.85, Решение (продолжение 2)
Решение 2. №3.85 (с. 252)

Общая формула уравнения касательной к графику функции $y = f(x)$ в точке с абсциссой $x_0$ имеет вид:

$y = f(x_0) + f'(x_0)(x - x_0)$

a) Дана функция $f(x) = x^2 + 4x + 2$ и точка $x_0 = 1$.

1. Найдем значение функции в точке $x_0$:

$f(x_0) = f(1) = 1^2 + 4 \cdot 1 + 2 = 1 + 4 + 2 = 7$.

2. Найдем производную функции:

$f'(x) = (x^2 + 4x + 2)' = 2x + 4$.

3. Найдем значение производной в точке $x_0$:

$f'(x_0) = f'(1) = 2 \cdot 1 + 4 = 6$.

4. Подставим найденные значения в уравнение касательной:

$y = 7 + 6(x - 1)$

$y = 7 + 6x - 6$

$y = 6x + 1$

Ответ: $y = 6x + 1$.

б) Дана функция $f(x) = 3x - x^2$ и точка $x_0 = 0$.

1. Найдем значение функции в точке $x_0$:

$f(x_0) = f(0) = 3 \cdot 0 - 0^2 = 0$.

2. Найдем производную функции:

$f'(x) = (3x - x^2)' = 3 - 2x$.

3. Найдем значение производной в точке $x_0$:

$f'(x_0) = f'(0) = 3 - 2 \cdot 0 = 3$.

4. Подставим найденные значения в уравнение касательной:

$y = 0 + 3(x - 0)$

$y = 3x$

Ответ: $y = 3x$.

в) Дана функция $f(x) = \frac{x^3}{3} - 4x$ и точка $x_0 = -2$.

1. Найдем значение функции в точке $x_0$:

$f(x_0) = f(-2) = \frac{(-2)^3}{3} - 4(-2) = \frac{-8}{3} + 8 = -\frac{8}{3} + \frac{24}{3} = \frac{16}{3}$.

2. Найдем производную функции:

$f'(x) = (\frac{x^3}{3} - 4x)' = \frac{1}{3} \cdot 3x^2 - 4 = x^2 - 4$.

3. Найдем значение производной в точке $x_0$:

$f'(x_0) = f'(-2) = (-2)^2 - 4 = 4 - 4 = 0$.

4. Подставим найденные значения в уравнение касательной:

$y = \frac{16}{3} + 0(x - (-2))$

$y = \frac{16}{3}$

Преобразуем неправильную дробь в смешанное число, выделив целую часть:

$y = 5\frac{1}{3}$

Ответ: $y = 5\frac{1}{3}$.

г) Дана функция $f(x) = x^4 - 9x^2$ и точка $x_0 = -1$.

1. Найдем значение функции в точке $x_0$:

$f(x_0) = f(-1) = (-1)^4 - 9(-1)^2 = 1 - 9 \cdot 1 = 1 - 9 = -8$.

2. Найдем производную функции:

$f'(x) = (x^4 - 9x^2)' = 4x^3 - 18x$.

3. Найдем значение производной в точке $x_0$:

$f'(x_0) = f'(-1) = 4(-1)^3 - 18(-1) = 4(-1) + 18 = -4 + 18 = 14$.

4. Подставим найденные значения в уравнение касательной:

$y = -8 + 14(x - (-1))$

$y = -8 + 14(x + 1)$

$y = -8 + 14x + 14$

$y = 14x + 6$

Ответ: $y = 14x + 6$.

Помогло решение? Оставьте отзыв в комментариях ниже.

Присоединяйтесь к Телеграм-группе @gdz_by_belarus

Присоединиться

Мы подготовили для вас ответ c подробным объяснением домашего задания по алгебре за 10 класс, для упражнения номер 3.85 расположенного на странице 252 к учебнику 2019 года издания для учащихся школ и гимназий.

Теперь на нашем сайте ГДЗ.ТОП вы всегда легко и бесплатно найдёте условие с правильным ответом на вопрос «Как решить ДЗ» и «Как сделать» задание по алгебре к упражнению №3.85 (с. 252), авторов: Арефьева (Ирина Глебовна), Пирютко (Ольга Николаевна), учебного пособия издательства Народная асвета.