Номер 3.113, страница 255 - гдз по алгебре 10 класс учебник Арефьева, Пирютко

Алгебра, 10 класс Учебник, авторы: Арефьева Ирина Глебовна, Пирютко Ольга Николаевна, издательство Народная асвета, Минск, 2019, голубого цвета

Авторы: Арефьева И. Г., Пирютко О. Н.

Тип: Учебник

Издательство: Народная асвета

Год издания: 2019 - 2025

Цвет обложки: голубой с графиком

Допущено Министерством образования Республики Беларусь

Популярные ГДЗ в 10 классе

Глава 3. Производная. Параграф 20. Геометрический смысл производной. Связь между знаком производной функции и ее возрастанием или убыванием - номер 3.113, страница 255.

№3.113 (с. 255)
Условие. №3.113 (с. 255)
скриншот условия
Алгебра, 10 класс Учебник, авторы: Арефьева Ирина Глебовна, Пирютко Ольга Николаевна, издательство Народная асвета, Минск, 2019, голубого цвета, страница 255, номер 3.113, Условие

3.113. Найдите промежутки монотонности функции:

а) $f(x) = 4x^2 + 2x;$

б) $f(x) = x^4 - 8x^2;$

в) $f(x) = 3x - x^3.$

Решение. №3.113 (с. 255)
Алгебра, 10 класс Учебник, авторы: Арефьева Ирина Глебовна, Пирютко Ольга Николаевна, издательство Народная асвета, Минск, 2019, голубого цвета, страница 255, номер 3.113, Решение Алгебра, 10 класс Учебник, авторы: Арефьева Ирина Глебовна, Пирютко Ольга Николаевна, издательство Народная асвета, Минск, 2019, голубого цвета, страница 255, номер 3.113, Решение (продолжение 2)
Решение 2. №3.113 (с. 255)

Чтобы найти промежутки монотонности функции, необходимо найти ее производную, приравнять ее к нулю, чтобы найти критические точки, а затем определить знаки производной на интервалах, на которые критические точки разбивают область определения функции. Если производная $f'(x) > 0$ на промежутке, функция на нем возрастает. Если $f'(x) < 0$ — убывает.

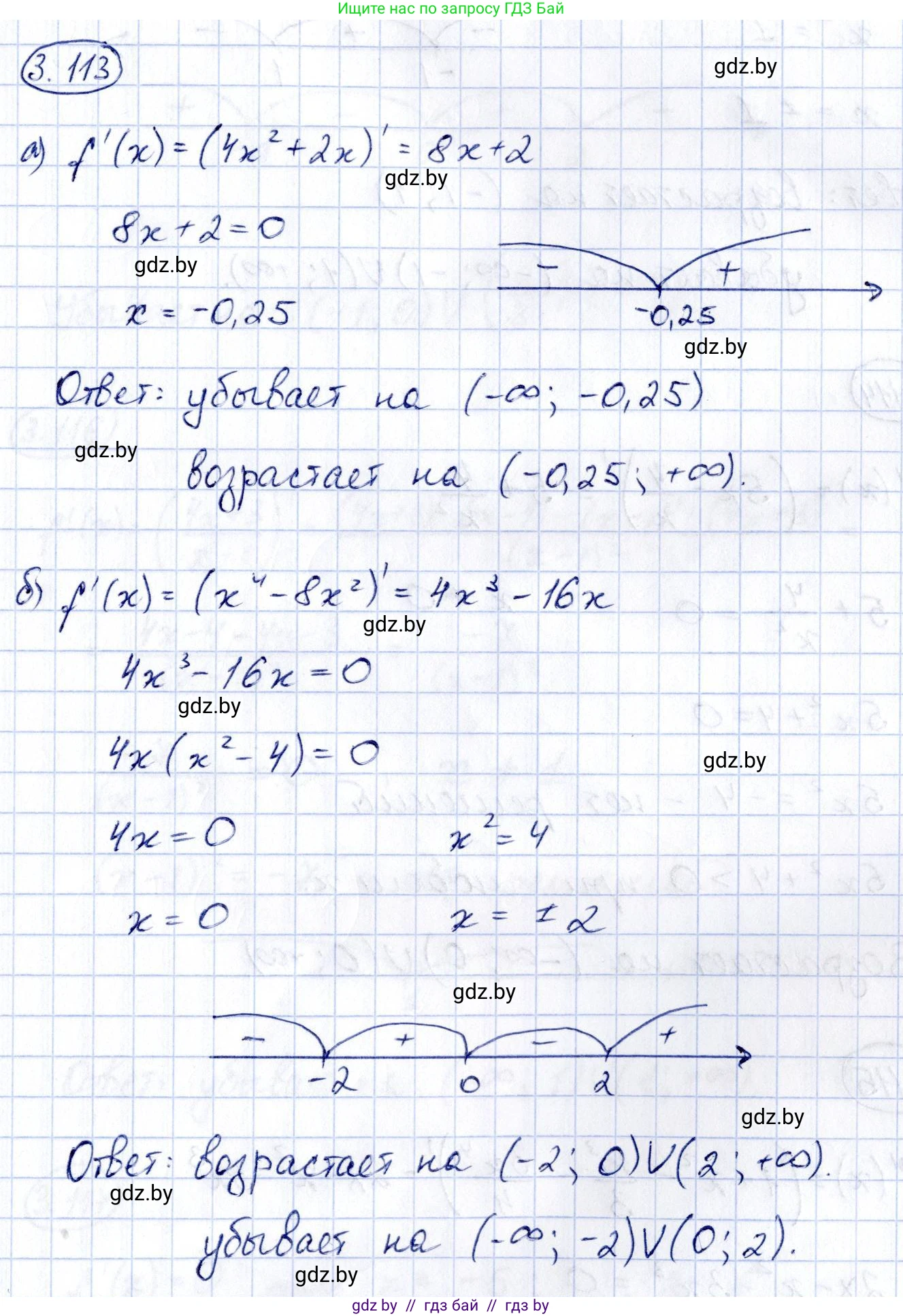
а) $f(x) = 4x^2 + 2x$

1. Область определения функции — все действительные числа ($D(f) = R$).
2. Находим производную функции:

$f'(x) = (4x^2 + 2x)' = 4 \cdot 2x + 2 = 8x + 2$

3. Находим критические точки, решая уравнение $f'(x) = 0$:

$8x + 2 = 0$

$8x = -2$

$x = -\frac{2}{8} = -\frac{1}{4}$

4. Критическая точка $x = -\frac{1}{4}$ делит числовую прямую на два интервала: $(-\infty; -\frac{1}{4})$ и $(-\frac{1}{4}; +\infty)$.
5. Определяем знак производной на каждом интервале:

  • На интервале $(-\infty; -\frac{1}{4})$ возьмем пробную точку $x = -1$:
    $f'(-1) = 8(-1) + 2 = -6 < 0$. Значит, на этом промежутке функция убывает.
  • На интервале $(-\frac{1}{4}; +\infty)$ возьмем пробную точку $x = 0$:
    $f'(0) = 8(0) + 2 = 2 > 0$. Значит, на этом промежутке функция возрастает.

Ответ: функция возрастает на промежутке $[-\frac{1}{4}; +\infty)$ и убывает на промежутке $(-\infty; -\frac{1}{4}]$.

б) $f(x) = x^4 - 8x^2$

1. Область определения функции — все действительные числа ($D(f) = R$).
2. Находим производную функции:

$f'(x) = (x^4 - 8x^2)' = 4x^3 - 16x$

3. Находим критические точки, решая уравнение $f'(x) = 0$:

$4x^3 - 16x = 0$

$4x(x^2 - 4) = 0$

$4x(x-2)(x+2) = 0$

Критические точки: $x_1 = 0$, $x_2 = 2$, $x_3 = -2$.

4. Критические точки делят числовую прямую на четыре интервала: $(-\infty; -2)$, $(-2; 0)$, $(0; 2)$ и $(2; +\infty)$.
5. Определяем знак производной на каждом интервале:

  • Интервал $(-\infty; -2)$: возьмем $x = -3$. $f'(-3) = 4(-3)^3 - 16(-3) = -108 + 48 = -60 < 0$. Функция убывает.
  • Интервал $(-2; 0)$: возьмем $x = -1$. $f'(-1) = 4(-1)^3 - 16(-1) = -4 + 16 = 12 > 0$. Функция возрастает.
  • Интервал $(0; 2)$: возьмем $x = 1$. $f'(1) = 4(1)^3 - 16(1) = 4 - 16 = -12 < 0$. Функция убывает.
  • Интервал $(2; +\infty)$: возьмем $x = 3$. $f'(3) = 4(3)^3 - 16(3) = 108 - 48 = 60 > 0$. Функция возрастает.

Ответ: функция возрастает на промежутках $[-2; 0]$ и $[2; +\infty)$, убывает на промежутках $(-\infty; -2]$ и $[0; 2]$.

в) $f(x) = 3x - x^3$

1. Область определения функции — все действительные числа ($D(f) = R$).
2. Находим производную функции:

$f'(x) = (3x - x^3)' = 3 - 3x^2$

3. Находим критические точки, решая уравнение $f'(x) = 0$:

$3 - 3x^2 = 0$

$3(1 - x^2) = 0$

$x^2 = 1$

Критические точки: $x_1 = 1$, $x_2 = -1$.

4. Критические точки делят числовую прямую на три интервала: $(-\infty; -1)$, $(-1; 1)$ и $(1; +\infty)$.
5. Определяем знак производной на каждом интервале:

  • Интервал $(-\infty; -1)$: возьмем $x = -2$. $f'(-2) = 3 - 3(-2)^2 = 3 - 12 = -9 < 0$. Функция убывает.
  • Интервал $(-1; 1)$: возьмем $x = 0$. $f'(0) = 3 - 3(0)^2 = 3 > 0$. Функция возрастает.
  • Интервал $(1; +\infty)$: возьмем $x = 2$. $f'(2) = 3 - 3(2)^2 = 3 - 12 = -9 < 0$. Функция убывает.

Ответ: функция возрастает на промежутке $[-1; 1]$, убывает на промежутках $(-\infty; -1]$ и $[1; +\infty)$.

Помогло решение? Оставьте отзыв в комментариях ниже.

Присоединяйтесь к Телеграм-группе @gdz_by_belarus

Присоединиться

Мы подготовили для вас ответ c подробным объяснением домашего задания по алгебре за 10 класс, для упражнения номер 3.113 расположенного на странице 255 к учебнику 2019 года издания для учащихся школ и гимназий.

Теперь на нашем сайте ГДЗ.ТОП вы всегда легко и бесплатно найдёте условие с правильным ответом на вопрос «Как решить ДЗ» и «Как сделать» задание по алгебре к упражнению №3.113 (с. 255), авторов: Арефьева (Ирина Глебовна), Пирютко (Ольга Николаевна), учебного пособия издательства Народная асвета.