Номер 3.120, страница 256 - гдз по алгебре 10 класс учебник Арефьева, Пирютко

Алгебра, 10 класс Учебник, авторы: Арефьева Ирина Глебовна, Пирютко Ольга Николаевна, издательство Народная асвета, Минск, 2019, голубого цвета

Авторы: Арефьева И. Г., Пирютко О. Н.

Тип: Учебник

Издательство: Народная асвета

Год издания: 2019 - 2025

Цвет обложки: голубой с графиком

Допущено Министерством образования Республики Беларусь

Популярные ГДЗ в 10 классе

Глава 3. Производная. Параграф 20. Геометрический смысл производной. Связь между знаком производной функции и ее возрастанием или убыванием - номер 3.120, страница 256.

№3.120 (с. 256)
Условие. №3.120 (с. 256)
скриншот условия
Алгебра, 10 класс Учебник, авторы: Арефьева Ирина Глебовна, Пирютко Ольга Николаевна, издательство Народная асвета, Минск, 2019, голубого цвета, страница 256, номер 3.120, Условие

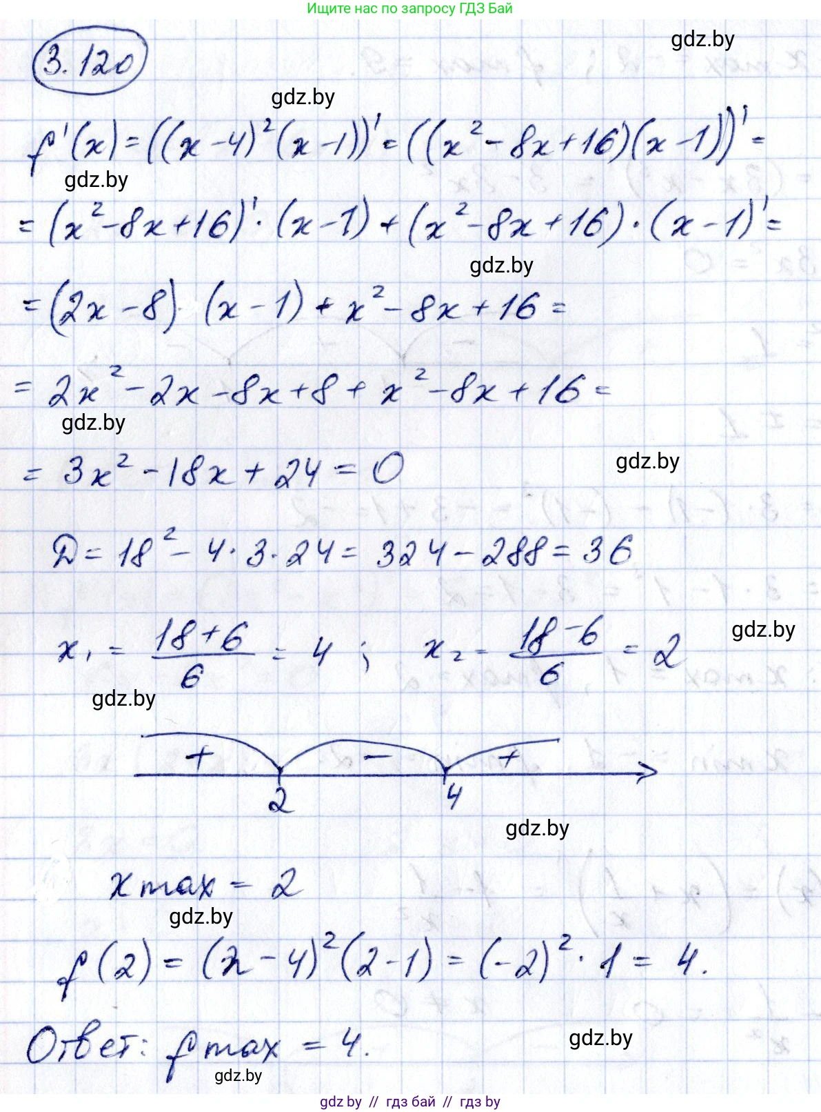
3.120. Найдите максимум функции $f(x) = (x-4)^2 (x-1)$. Можно ли найти минимум этой функции?

Решение. №3.120 (с. 256)
Алгебра, 10 класс Учебник, авторы: Арефьева Ирина Глебовна, Пирютко Ольга Николаевна, издательство Народная асвета, Минск, 2019, голубого цвета, страница 256, номер 3.120, Решение
Решение 2. №3.120 (с. 256)

Для нахождения экстремумов (максимумов и минимумов) функции $f(x) = (x-4)^2(x-1)$ необходимо найти ее производную и приравнять ее к нулю, чтобы найти критические точки.

Воспользуемся правилом дифференцирования произведения функций $(u \cdot v)' = u'v + uv'$:

$f'(x) = ((x-4)^2)' \cdot (x-1) + (x-4)^2 \cdot (x-1)'$

$f'(x) = 2(x-4)(x-1) + (x-4)^2 \cdot 1$

Вынесем за скобки общий множитель $(x-4)$:

$f'(x) = (x-4) \cdot [2(x-1) + (x-4)]$

$f'(x) = (x-4) \cdot (2x - 2 + x - 4)$

$f'(x) = (x-4)(3x - 6) = 3(x-4)(x-2)$

Приравняем производную к нулю:

$3(x-4)(x-2) = 0$

Критическими точками являются $x_1 = 2$ и $x_2 = 4$.

Чтобы определить характер экстремумов в этих точках (максимум или минимум), найдем вторую производную $f''(x)$. Для этого сначала представим первую производную в виде многочлена:

$f'(x) = 3(x^2 - 6x + 8) = 3x^2 - 18x + 24$

$f''(x) = (3x^2 - 18x + 24)' = 6x - 18$

Теперь исследуем знак второй производной в каждой критической точке:

  • При $x=2$: $f''(2) = 6 \cdot 2 - 18 = 12 - 18 = -6$. Так как $f''(2) < 0$, в точке $x=2$ функция имеет локальный максимум.
  • При $x=4$: $f''(4) = 6 \cdot 4 - 18 = 24 - 18 = 6$. Так как $f''(4) > 0$, в точке $x=4$ функция имеет локальный минимум.

Найдите максимум функции $f(x)=(x-4)^2(x-1)$.
Локальный максимум функции достигается в точке $x=2$. Вычислим значение функции в этой точке:
$f_{max} = f(2) = (2-4)^2(2-1) = (-2)^2 \cdot 1 = 4$.
Стоит отметить, что это локальный максимум. Глобального (абсолютного) максимума у данной функции не существует, так как это многочлен нечетной степени ($f(x) \to \infty$ при $x \to \infty$). В контексте подобных задач обычно требуется найти именно локальный экстремум.
Ответ: 4.

Можно ли найти минимум этой функции?
Да, у этой функции можно найти локальный минимум. Он достигается в точке $x=4$. Вычислим его значение:
$f_{min} = f(4) = (4-4)^2(4-1) = 0^2 \cdot 3 = 0$.
Однако, если речь идет о глобальном (абсолютном) минимуме, то его найти нельзя. Функция является многочленом третьей степени, и при $x \to -\infty$ ее значение также стремится к минус бесконечности ($f(x) \to -\infty$), то есть она не ограничена снизу. Таким образом, глобального минимума не существует.
Ответ: Да, можно найти локальный минимум, его значение равно 0.

Помогло решение? Оставьте отзыв в комментариях ниже.

Присоединяйтесь к Телеграм-группе @gdz_by_belarus

Присоединиться

Мы подготовили для вас ответ c подробным объяснением домашего задания по алгебре за 10 класс, для упражнения номер 3.120 расположенного на странице 256 к учебнику 2019 года издания для учащихся школ и гимназий.

Теперь на нашем сайте ГДЗ.ТОП вы всегда легко и бесплатно найдёте условие с правильным ответом на вопрос «Как решить ДЗ» и «Как сделать» задание по алгебре к упражнению №3.120 (с. 256), авторов: Арефьева (Ирина Глебовна), Пирютко (Ольга Николаевна), учебного пособия издательства Народная асвета.