Номер 3.141, страница 264 - гдз по алгебре 10 класс учебник Арефьева, Пирютко

Алгебра, 10 класс Учебник, авторы: Арефьева Ирина Глебовна, Пирютко Ольга Николаевна, издательство Народная асвета, Минск, 2019, голубого цвета

Авторы: Арефьева И. Г., Пирютко О. Н.

Тип: Учебник

Издательство: Народная асвета

Год издания: 2019 - 2025

Цвет обложки: голубой с графиком

Допущено Министерством образования Республики Беларусь

Популярные ГДЗ в 10 классе

Глава 3. Производная. Параграф 21. Применение производной к исследованию функций - номер 3.141, страница 264.

№3.141 (с. 264)
Условие. №3.141 (с. 264)
скриншот условия
Алгебра, 10 класс Учебник, авторы: Арефьева Ирина Глебовна, Пирютко Ольга Николаевна, издательство Народная асвета, Минск, 2019, голубого цвета, страница 264, номер 3.141, Условие

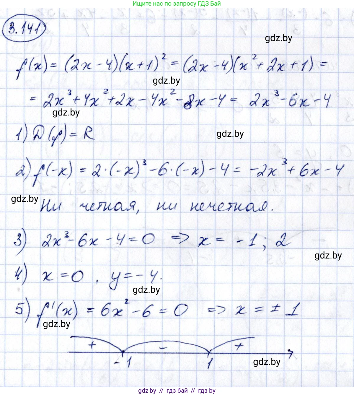
3.141. Исследуйте функцию $f(x)=(2x-4)(x+1)^2$, постройте ее график и найдите количество корней уравнения $f(x)=4$.

Решение. №3.141 (с. 264)
Алгебра, 10 класс Учебник, авторы: Арефьева Ирина Глебовна, Пирютко Ольга Николаевна, издательство Народная асвета, Минск, 2019, голубого цвета, страница 264, номер 3.141, Решение Алгебра, 10 класс Учебник, авторы: Арефьева Ирина Глебовна, Пирютко Ольга Николаевна, издательство Народная асвета, Минск, 2019, голубого цвета, страница 264, номер 3.141, Решение (продолжение 2)
Решение 2. №3.141 (с. 264)

Проведем полное исследование функции $f(x) = (2x - 4)(x + 1)^2$ по стандартному плану.

1. Область определения, точки пересечения с осями, четность

  • Область определения: Функция является многочленом, поэтому она определена для всех действительных чисел.
    Ответ: $D(f) = (-\infty; +\infty)$.
  • Точки пересечения с осями координат:
    - С осью OY (при $x=0$): $f(0) = (2 \cdot 0 - 4)(0 + 1)^2 = -4$. Точка пересечения $(0, -4)$.
    - С осью OX (при $f(x)=0$): $(2x - 4)(x + 1)^2 = 0$. Корни уравнения: $x=2$ и $x=-1$. Точки пересечения $(2, 0)$ и $(-1, 0)$. Заметим, что $x=-1$ — корень кратности 2, поэтому в этой точке график касается оси OX.
    Ответ: Точки пересечения с осями: $(0, -4)$, $(-1, 0)$, $(2, 0)$.
  • Четность и нечетность: Для исследования раскроем скобки: $f(x) = (2x-4)(x^2+2x+1) = 2x^3 - 6x - 4$.
    Найдем $f(-x) = 2(-x)^3 - 6(-x) - 4 = -2x^3 + 6x - 4$.
    Поскольку $f(-x) \neq f(x)$ и $f(-x) \neq -f(x)$, функция не является ни четной, ни нечетной.
    Ответ: Функция общего вида.

2. Исследование на монотонность и экстремумы

Найдем первую производную функции:
$f'(x) = ((2x-4)(x+1)^2)' = (2x-4)'(x+1)^2 + (2x-4)((x+1)^2)'$
$f'(x) = 2(x+1)^2 + (2x-4) \cdot 2(x+1) = 2(x+1) \cdot ((x+1) + (2x-4)) = 2(x+1)(3x-3) = 6(x-1)(x+1)$.
Найдем критические точки, приравняв производную к нулю: $6(x-1)(x+1) = 0$.
Критические точки: $x_1 = 1$, $x_2 = -1$.
Определим знаки производной на интервалах, образованных критическими точками:

  • Интервал $(-\infty, -1)$: $f'(x) > 0$, функция возрастает.
  • Интервал $(-1, 1)$: $f'(x) < 0$, функция убывает.
  • Интервал $(1, \infty)$: $f'(x) > 0$, функция возрастает.

В точке $x=-1$ производная меняет знак с «+» на «-», это точка локального максимума. $f_{max} = f(-1) = (2(-1)-4)(-1+1)^2 = 0$.
В точке $x=1$ производная меняет знак с «-» на «+», это точка локального минимума. $f_{min} = f(1) = (2(1)-4)(1+1)^2 = -2 \cdot 4 = -8$.
Ответ: Функция возрастает на $(-\infty, -1] \cup [1, \infty)$ и убывает на $[-1, 1]$. Точка максимума $(-1, 0)$, точка минимума $(1, -8)$.

3. Исследование на выпуклость, вогнутость и точки перегиба

Найдем вторую производную:
$f''(x) = (6x^2 - 6)' = 12x$.
Приравняем вторую производную к нулю: $12x = 0 \implies x=0$.
Определим знаки второй производной:

  • Интервал $(-\infty, 0)$: $f''(x) < 0$, график функции выпуклый вверх (вогнутый).
  • Интервал $(0, \infty)$: $f''(x) > 0$, график функции выпуклый вниз (выпуклый).

В точке $x=0$ направление выпуклости меняется, следовательно, это точка перегиба. $f(0) = -4$.
Ответ: График функции выпуклый вверх на $(-\infty, 0]$ и выпуклый вниз на $[0, \infty)$. Точка перегиба $(0, -4)$.

4. Построение графика функции

На основе проведенного анализа строим график функции $f(x)$ и прямую $y=4$.

x y -1 1 2 4 -4 -8 Max(-1,0) Min(1,-8) Перегиб(0,-4) y=4

5. Нахождение количества корней уравнения $f(x)=4$

Чтобы найти количество корней уравнения $f(x)=4$, необходимо определить, сколько раз горизонтальная прямая $y=4$ пересекает график функции $f(x)$.
Из графика и проведенного анализа видно:

  • Локальный максимум функции $y_{max}=0$. Так как $4 > 0$, прямая $y=4$ проходит выше этой точки.
  • На промежутке $(-\infty, -1]$ функция возрастает от $-\infty$ до $0$. Значение $4$ не достигается.
  • На промежутке $[-1, 1]$ функция убывает от $0$ до $-8$. Значение $4$ не достигается.
  • На промежутке $[1, \infty)$ функция возрастает от $-8$ до $+\infty$. Поскольку $4$ находится в этом диапазоне значений, и функция на этом интервале непрерывна и монотонна, она примет значение $4$ ровно один раз.

Таким образом, прямая $y=4$ пересекает график функции $f(x)$ только в одной точке.
Ответ: 1.

Помогло решение? Оставьте отзыв в комментариях ниже.

Присоединяйтесь к Телеграм-группе @gdz_by_belarus

Присоединиться

Мы подготовили для вас ответ c подробным объяснением домашего задания по алгебре за 10 класс, для упражнения номер 3.141 расположенного на странице 264 к учебнику 2019 года издания для учащихся школ и гимназий.

Теперь на нашем сайте ГДЗ.ТОП вы всегда легко и бесплатно найдёте условие с правильным ответом на вопрос «Как решить ДЗ» и «Как сделать» задание по алгебре к упражнению №3.141 (с. 264), авторов: Арефьева (Ирина Глебовна), Пирютко (Ольга Николаевна), учебного пособия издательства Народная асвета.