Номер 3.148, страница 265 - гдз по алгебре 10 класс учебник Арефьева, Пирютко

Алгебра, 10 класс Учебник, авторы: Арефьева Ирина Глебовна, Пирютко Ольга Николаевна, издательство Народная асвета, Минск, 2019, голубого цвета

Авторы: Арефьева И. Г., Пирютко О. Н.

Тип: Учебник

Издательство: Народная асвета

Год издания: 2019 - 2025

Цвет обложки: голубой с графиком

Допущено Министерством образования Республики Беларусь

Популярные ГДЗ в 10 классе

Глава 3. Производная. Параграф 22. Наибольшее и наименьшее значения функции - номер 3.148, страница 265.

№3.148 (с. 265)
Условие. №3.148 (с. 265)
скриншот условия
Алгебра, 10 класс Учебник, авторы: Арефьева Ирина Глебовна, Пирютко Ольга Николаевна, издательство Народная асвета, Минск, 2019, голубого цвета, страница 265, номер 3.148, Условие

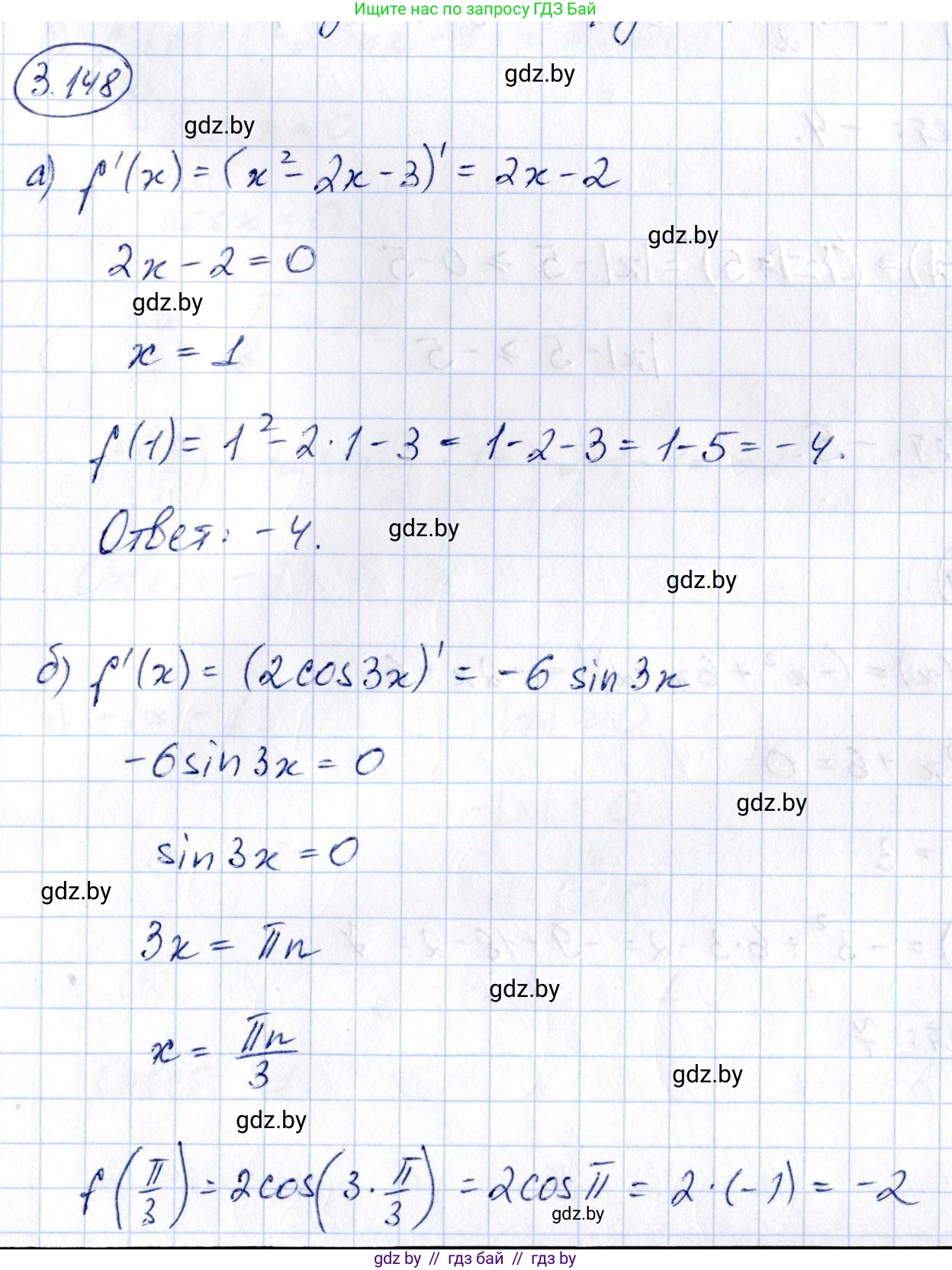
3.148. Найдите наименьшее значение функции:

а) $y = x^2 - 2x - 3$;

б) $y = 2\cos3x$;

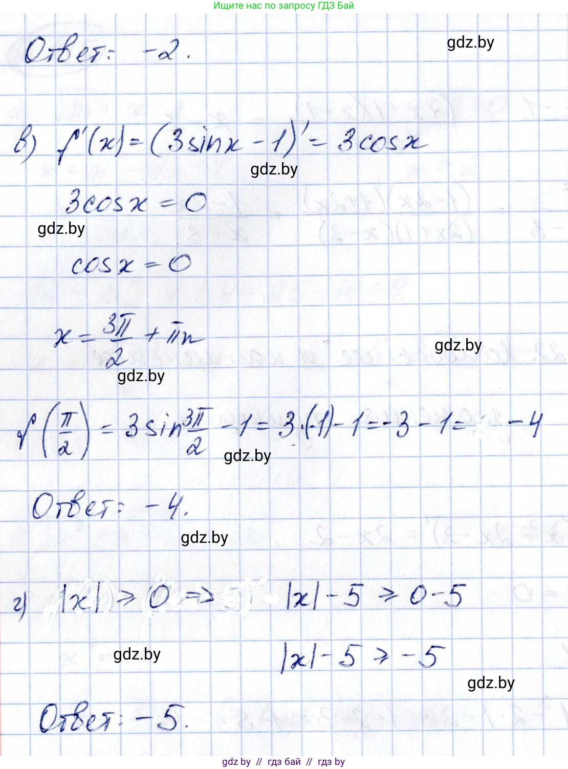
в) $y = 3\sin x - 1$;

г) $y = |x| - 5$.

Решение. №3.148 (с. 265)
Алгебра, 10 класс Учебник, авторы: Арефьева Ирина Глебовна, Пирютко Ольга Николаевна, издательство Народная асвета, Минск, 2019, голубого цвета, страница 265, номер 3.148, Решение Алгебра, 10 класс Учебник, авторы: Арефьева Ирина Глебовна, Пирютко Ольга Николаевна, издательство Народная асвета, Минск, 2019, голубого цвета, страница 265, номер 3.148, Решение (продолжение 2)
Решение 2. №3.148 (с. 265)

а) Для нахождения наименьшего значения квадратичной функции $y = x^2 - 2x - 3$, график которой — парабола с ветвями вверх (так как коэффициент при $x^2$ положителен), нужно найти ординату вершины параболы.

Координаты вершины параболы $(x_v, y_v)$ находятся по формулам:

$x_v = -\frac{b}{2a}$

Для данной функции $a=1$, $b=-2$, $c=-3$.

$x_v = -\frac{-2}{2 \cdot 1} = 1$.

Теперь подставим значение $x_v$ в функцию, чтобы найти её наименьшее значение $y_{min}$:

$y_{min} = y(1) = 1^2 - 2 \cdot 1 - 3 = 1 - 2 - 3 = -4$.

Альтернативный способ — выделение полного квадрата:

$y = x^2 - 2x - 3 = (x^2 - 2x + 1) - 1 - 3 = (x-1)^2 - 4$.

Поскольку наименьшее значение выражения $(x-1)^2$ равно 0 (достигается при $x=1$), наименьшее значение всей функции составляет $0 - 4 = -4$.

Ответ: -4

б) Рассмотрим функцию $y = 2\cos(3x)$.

Область значений функции косинуса, $\cos(\theta)$, — это отрезок $[-1, 1]$. Таким образом, для любого значения $x$ справедливо неравенство:

$-1 \le \cos(3x) \le 1$.

Чтобы найти область значений для функции $y$, умножим все части неравенства на 2:

$2 \cdot (-1) \le 2\cos(3x) \le 2 \cdot 1$

$-2 \le y \le 2$.

Наименьшее значение функции равно нижней границе этого отрезка.

Ответ: -2

в) Рассмотрим функцию $y = 3\sin x - 1$.

Область значений функции синуса, $\sin x$, — это отрезок $[-1, 1]$.

$-1 \le \sin x \le 1$.

Умножим неравенство на 3:

$-3 \le 3\sin x \le 3$.

Теперь вычтем 1 из всех частей:

$-3 - 1 \le 3\sin x - 1 \le 3 - 1$

$-4 \le y \le 2$.

Следовательно, наименьшее значение функции равно -4.

Ответ: -4

г) Рассмотрим функцию $y = |x| - 5$.

Функция модуля $|x|$ принимает только неотрицательные значения, то есть $|x| \ge 0$ для любого $x$.

Наименьшее значение $|x|$ равно 0, и оно достигается при $x=0$.

Следовательно, наименьшее значение всей функции $y = |x| - 5$ будет достигаться при наименьшем значении $|x|$:

$y_{min} = 0 - 5 = -5$.

Ответ: -5

Помогло решение? Оставьте отзыв в комментариях ниже.

Присоединяйтесь к Телеграм-группе @gdz_by_belarus

Присоединиться

Мы подготовили для вас ответ c подробным объяснением домашего задания по алгебре за 10 класс, для упражнения номер 3.148 расположенного на странице 265 к учебнику 2019 года издания для учащихся школ и гимназий.

Теперь на нашем сайте ГДЗ.ТОП вы всегда легко и бесплатно найдёте условие с правильным ответом на вопрос «Как решить ДЗ» и «Как сделать» задание по алгебре к упражнению №3.148 (с. 265), авторов: Арефьева (Ирина Глебовна), Пирютко (Ольга Николаевна), учебного пособия издательства Народная асвета.