Номер 3.149, страница 265 - гдз по алгебре 10 класс учебник Арефьева, Пирютко

Алгебра, 10 класс Учебник, авторы: Арефьева Ирина Глебовна, Пирютко Ольга Николаевна, издательство Народная асвета, Минск, 2019, голубого цвета

Авторы: Арефьева И. Г., Пирютко О. Н.

Тип: Учебник

Издательство: Народная асвета

Год издания: 2019 - 2025

Цвет обложки: голубой с графиком

Допущено Министерством образования Республики Беларусь

Популярные ГДЗ в 10 классе

Глава 3. Производная. Параграф 22. Наибольшее и наименьшее значения функции - номер 3.149, страница 265.

№3.149 (с. 265)
Условие. №3.149 (с. 265)
скриншот условия
Алгебра, 10 класс Учебник, авторы: Арефьева Ирина Глебовна, Пирютко Ольга Николаевна, издательство Народная асвета, Минск, 2019, голубого цвета, страница 265, номер 3.149, Условие

3.149. Найдите наибольшее значение функции:

a) $g(x) = -x^2 + 6x - 2;$

б) $y = 5\cos x;$

в) $y = -2\sin x - 1;$

г) $y = -|x| - 1.$

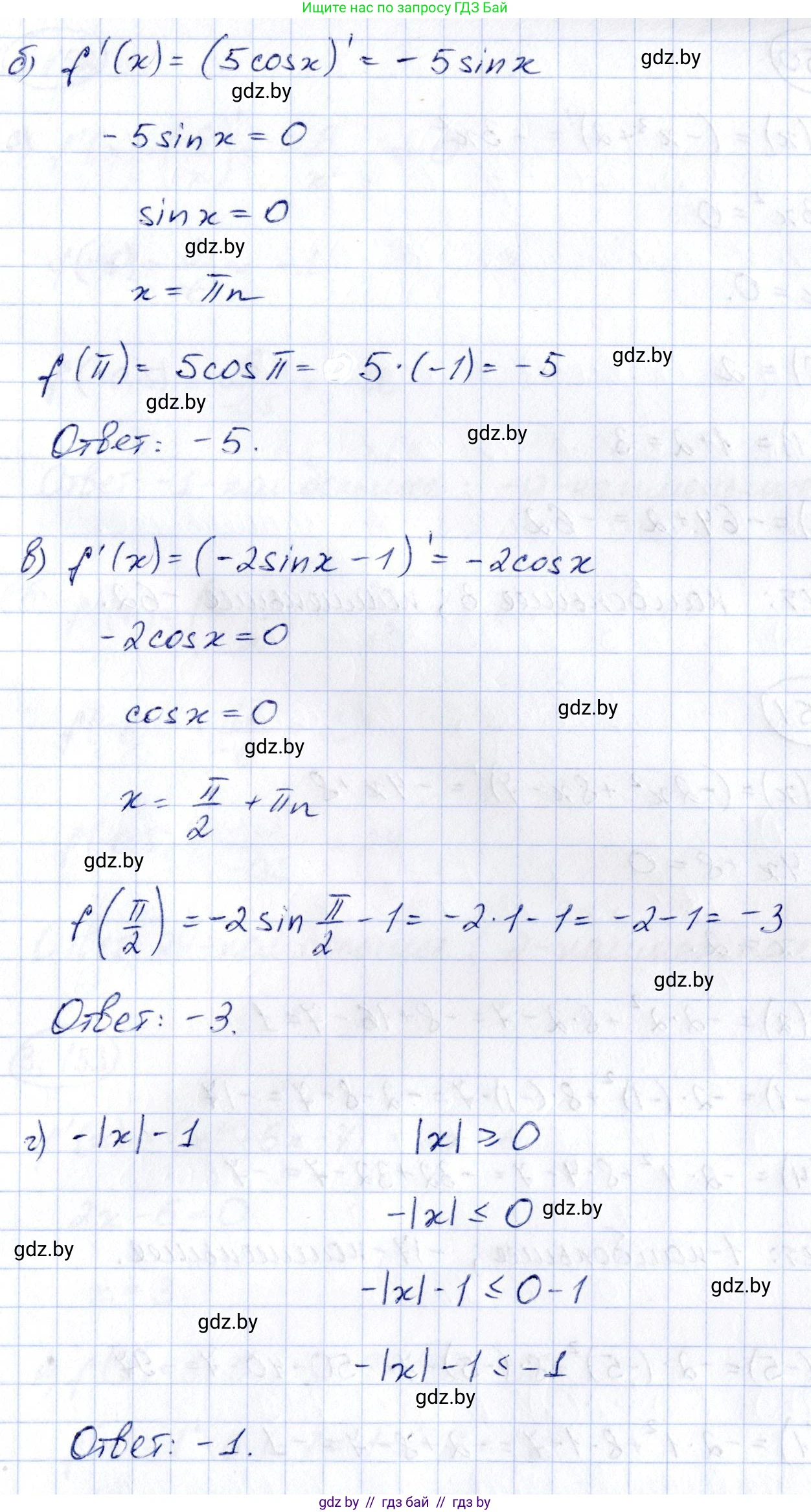
Решение. №3.149 (с. 265)
Алгебра, 10 класс Учебник, авторы: Арефьева Ирина Глебовна, Пирютко Ольга Николаевна, издательство Народная асвета, Минск, 2019, голубого цвета, страница 265, номер 3.149, Решение Алгебра, 10 класс Учебник, авторы: Арефьева Ирина Глебовна, Пирютко Ольга Николаевна, издательство Народная асвета, Минск, 2019, голубого цвета, страница 265, номер 3.149, Решение (продолжение 2)
Решение 2. №3.149 (с. 265)

а) Данная функция $g(x) = -x^2 + 6x - 2$ является квадратичной. График этой функции — парабола, ветви которой направлены вниз, так как коэффициент при $x^2$ отрицательный ($-1 < 0$). Следовательно, функция имеет наибольшее значение в вершине параболы.
Координату $x_0$ вершины параболы $ax^2+bx+c$ находим по формуле $x_0 = -\frac{b}{2a}$:
$x_0 = -\frac{6}{2 \cdot (-1)} = -\frac{6}{-2} = 3$.
Теперь найдем наибольшее значение функции, подставив $x_0 = 3$ в исходное уравнение:
$g_{max} = g(3) = -(3)^2 + 6 \cdot 3 - 2 = -9 + 18 - 2 = 7$.
Ответ: 7.

б) Функция $y = 5\cos x$. Область значений функции косинуса $E(\cos x) = [-1, 1]$. Это значит, что для любого $x$ выполняется неравенство:
$-1 \le \cos x \le 1$.
Чтобы найти область значений функции $y = 5\cos x$, умножим все части неравенства на 5:
$5 \cdot (-1) \le 5\cos x \le 5 \cdot 1$
$-5 \le y \le 5$.
Наибольшее значение функции равно 5, оно достигается, когда $\cos x = 1$.
Ответ: 5.

в) Функция $y = -2\sin x - 1$. Область значений функции синуса $E(\sin x) = [-1, 1]$. Это значит, что для любого $x$ выполняется неравенство:
$-1 \le \sin x \le 1$.
Умножим все части неравенства на -2. При умножении на отрицательное число знаки неравенства меняются на противоположные:
$-2 \cdot 1 \le -2\sin x \le -2 \cdot (-1)$
$-2 \le -2\sin x \le 2$.
Теперь вычтем 1 из всех частей неравенства:
$-2 - 1 \le -2\sin x - 1 \le 2 - 1$
$-3 \le y \le 1$.
Наибольшее значение функции равно 1, оно достигается, когда $\sin x = -1$.
Ответ: 1.

г) Функция $y = -|x| - 1$. По определению, модуль числа всегда неотрицателен: $|x| \ge 0$.
Тогда выражение $-|x|$ всегда неположительно: $-|x| \le 0$.
Наибольшее значение выражения $-|x|$ равно 0 и достигается при $x=0$.
Следовательно, наибольшее значение всей функции $y = -|x| - 1$ будет:
$y_{max} = 0 - 1 = -1$.
Ответ: -1.

Помогло решение? Оставьте отзыв в комментариях ниже.

Присоединяйтесь к Телеграм-группе @gdz_by_belarus

Присоединиться

Мы подготовили для вас ответ c подробным объяснением домашего задания по алгебре за 10 класс, для упражнения номер 3.149 расположенного на странице 265 к учебнику 2019 года издания для учащихся школ и гимназий.

Теперь на нашем сайте ГДЗ.ТОП вы всегда легко и бесплатно найдёте условие с правильным ответом на вопрос «Как решить ДЗ» и «Как сделать» задание по алгебре к упражнению №3.149 (с. 265), авторов: Арефьева (Ирина Глебовна), Пирютко (Ольга Николаевна), учебного пособия издательства Народная асвета.