Номер 3.161, страница 272 - гдз по алгебре 10 класс учебник Арефьева, Пирютко

Алгебра, 10 класс Учебник, авторы: Арефьева Ирина Глебовна, Пирютко Ольга Николаевна, издательство Народная асвета, Минск, 2019, голубого цвета

Авторы: Арефьева И. Г., Пирютко О. Н.

Тип: Учебник

Издательство: Народная асвета

Год издания: 2019 - 2025

Цвет обложки: голубой с графиком

Допущено Министерством образования Республики Беларусь

Популярные ГДЗ в 10 классе

Глава 3. Производная. Параграф 22. Наибольшее и наименьшее значения функции - номер 3.161, страница 272.

№3.161 (с. 272)
Условие. №3.161 (с. 272)
скриншот условия
Алгебра, 10 класс Учебник, авторы: Арефьева Ирина Глебовна, Пирютко Ольга Николаевна, издательство Народная асвета, Минск, 2019, голубого цвета, страница 272, номер 3.161, Условие

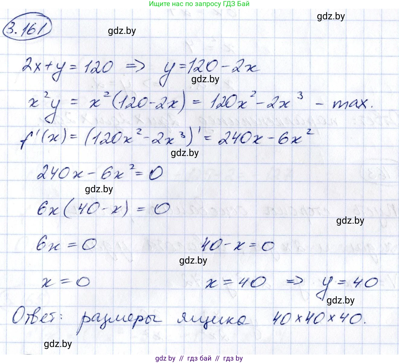
3.161. Правилами перевозки пассажиров в метрополитене предусмотрено, что бесплатно можно проводить ручную кладь, размеры которой в сумме измерений по длине, ширине и высоте не превосходят 120 сантиметров. Найдите размеры ящика с квадратным дном, который удовлетворяет этому условию и имеет наибольший объем.

Решение. №3.161 (с. 272)
Алгебра, 10 класс Учебник, авторы: Арефьева Ирина Глебовна, Пирютко Ольга Николаевна, издательство Народная асвета, Минск, 2019, голубого цвета, страница 272, номер 3.161, Решение
Решение 2. №3.161 (с. 272)

Для решения этой задачи по оптимизации введем обозначения и составим математическую модель. Пусть $x$ — сторона квадратного дна ящика (длина и ширина), а $h$ — его высота. Все размеры измеряются в сантиметрах.

Согласно правилам перевозки, сумма трех измерений (длины, ширины и высоты) не должна превосходить 120 см. Математически это условие записывается так:

$x + x + h \le 120$

$2x + h \le 120$

Мы хотим найти размеры ящика с наибольшим объемом. Чтобы максимизировать объем, мы должны использовать максимально допустимую сумму измерений, поэтому будем рассматривать случай равенства:

$2x + h = 120$

Из этого уравнения мы можем выразить высоту $h$ через сторону дна $x$:

$h = 120 - 2x$

Объем ящика $V$ вычисляется по формуле:

$V = \text{длина} \times \text{ширина} \times \text{высота} = x \cdot x \cdot h = x^2 h$

Подставим выражение для $h$ в формулу объема, чтобы получить функцию объема, зависящую только от одной переменной $x$:

$V(x) = x^2 (120 - 2x) = 120x^2 - 2x^3$

Теперь нам нужно найти значение $x$, при котором функция $V(x)$ достигает своего максимума. Так как размеры должны быть положительными, то $x > 0$ и $h > 0$. Из $h = 120 - 2x > 0$ следует, что $2x < 120$, то есть $x < 60$. Таким образом, мы ищем максимум на интервале $(0, 60)$.

Для нахождения экстремума функции найдем ее производную по $x$:

$V'(x) = (120x^2 - 2x^3)' = 2 \cdot 120x - 3 \cdot 2x^2 = 240x - 6x^2$

Приравняем производную к нулю, чтобы найти критические точки:

$240x - 6x^2 = 0$

$6x(40 - x) = 0$

Отсюда получаем два решения: $x = 0$ и $x = 40$. Значение $x = 0$ не входит в наш интервал $(0, 60)$ и соответствует нулевому объему. Следовательно, единственная критическая точка в рассматриваемом интервале — это $x = 40$.

Чтобы убедиться, что это точка максимума, воспользуемся второй производной:

$V''(x) = (240x - 6x^2)' = 240 - 12x$

Подставим значение $x = 40$:

$V''(40) = 240 - 12 \cdot 40 = 240 - 480 = -240$

Так как вторая производная отрицательна ($V''(40) < 0$), точка $x = 40$ является точкой максимума.

Теперь, когда мы нашли оптимальное значение стороны дна, найдем соответствующую высоту:

$h = 120 - 2x = 120 - 2 \cdot 40 = 120 - 80 = 40$ см.

Таким образом, ящик с квадратным дном, удовлетворяющий условиям и имеющий наибольший объем, является кубом со стороной 40 см.

Проверим сумму измерений: $40 + 40 + 40 = 120$ см, что соответствует условию.

Длина ящика: Ответ: 40 см

Ширина ящика: Ответ: 40 см

Высота ящика: Ответ: 40 см

Помогло решение? Оставьте отзыв в комментариях ниже.

Присоединяйтесь к Телеграм-группе @gdz_by_belarus

Присоединиться

Мы подготовили для вас ответ c подробным объяснением домашего задания по алгебре за 10 класс, для упражнения номер 3.161 расположенного на странице 272 к учебнику 2019 года издания для учащихся школ и гимназий.

Теперь на нашем сайте ГДЗ.ТОП вы всегда легко и бесплатно найдёте условие с правильным ответом на вопрос «Как решить ДЗ» и «Как сделать» задание по алгебре к упражнению №3.161 (с. 272), авторов: Арефьева (Ирина Глебовна), Пирютко (Ольга Николаевна), учебного пособия издательства Народная асвета.