Номер 3.162, страница 272 - гдз по алгебре 10 класс учебник Арефьева, Пирютко

Алгебра, 10 класс Учебник, авторы: Арефьева Ирина Глебовна, Пирютко Ольга Николаевна, издательство Народная асвета, Минск, 2019, голубого цвета

Авторы: Арефьева И. Г., Пирютко О. Н.

Тип: Учебник

Издательство: Народная асвета

Год издания: 2019 - 2025

Цвет обложки: голубой с графиком

Допущено Министерством образования Республики Беларусь

Популярные ГДЗ в 10 классе

Глава 3. Производная. Параграф 22. Наибольшее и наименьшее значения функции - номер 3.162, страница 272.

№3.162 (с. 272)
Условие. №3.162 (с. 272)
скриншот условия
Алгебра, 10 класс Учебник, авторы: Арефьева Ирина Глебовна, Пирютко Ольга Николаевна, издательство Народная асвета, Минск, 2019, голубого цвета, страница 272, номер 3.162, Условие

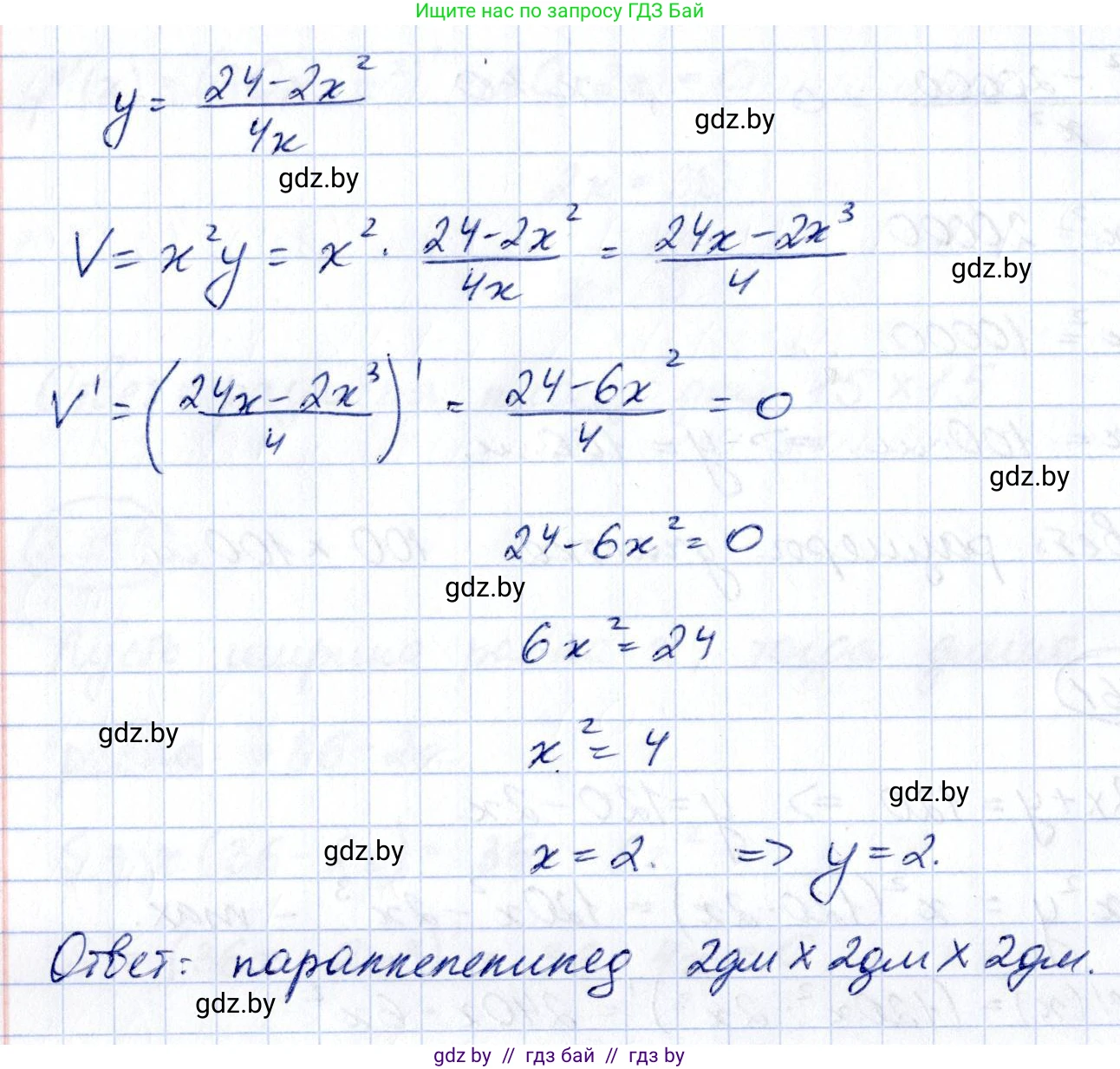
3.162. Из всех прямоугольных параллелепипедов, у которых в основании лежит квадрат и площадь полной поверхности равна $24\text{ дм}^2$, найдите параллелепипед наибольшего объема.

Решение. №3.162 (с. 272)
Алгебра, 10 класс Учебник, авторы: Арефьева Ирина Глебовна, Пирютко Ольга Николаевна, издательство Народная асвета, Минск, 2019, голубого цвета, страница 272, номер 3.162, Решение Алгебра, 10 класс Учебник, авторы: Арефьева Ирина Глебовна, Пирютко Ольга Николаевна, издательство Народная асвета, Минск, 2019, голубого цвета, страница 272, номер 3.162, Решение (продолжение 2)
Решение 2. №3.162 (с. 272)

Пусть сторона квадратного основания прямоугольного параллелепипеда равна $a$ дм, а его высота равна $h$ дм.

Площадь полной поверхности $S$ такого параллелепипеда складывается из площади двух оснований ($S_{осн} = a^2$) и площади боковой поверхности ($S_{бок} = 4ah$). Формула для площади полной поверхности: $S = 2S_{осн} + S_{бок} = 2a^2 + 4ah$

По условию задачи, площадь полной поверхности равна $24 \text{ дм}^2$: $2a^2 + 4ah = 24$ Разделив обе части уравнения на 2, получим: $a^2 + 2ah = 12$

Объем параллелепипеда $V$ вычисляется по формуле: $V = S_{осн} \cdot h = a^2h$

Чтобы найти максимальный объем, выразим объем как функцию одной переменной. Для этого выразим высоту $h$ из уравнения для площади поверхности: $2ah = 12 - a^2 \implies h = \frac{12 - a^2}{2a}$ Поскольку размеры фигуры должны быть положительными, то $a > 0$ и $h > 0$. Условие $h > 0$ означает, что $12 - a^2 > 0$, откуда $a^2 < 12$. Таким образом, переменная $a$ определена на интервале $(0, \sqrt{12})$ или $(0, 2\sqrt{3})$.

Подставим полученное выражение для $h$ в формулу объема: $V(a) = a^2 \cdot \left(\frac{12 - a^2}{2a}\right) = \frac{a(12 - a^2)}{2} = 6a - \frac{1}{2}a^3$

Для нахождения максимального значения функции $V(a)$ на интервале $(0, 2\sqrt{3})$, найдем ее производную по переменной $a$: $V'(a) = \frac{d}{da}\left(6a - \frac{1}{2}a^3\right) = 6 - \frac{3}{2}a^2$

Приравняем производную к нулю для нахождения критических точек: $V'(a) = 0 \implies 6 - \frac{3}{2}a^2 = 0$ $\frac{3}{2}a^2 = 6$ $3a^2 = 12$ $a^2 = 4$ Так как $a > 0$, то $a = 2$.

Убедимся, что $a = 2$ является точкой максимума. Для этого можно использовать знак второй производной: $V''(a) = \frac{d}{da}\left(6 - \frac{3}{2}a^2\right) = -3a$ При $a = 2$, значение второй производной $V''(2) = -3 \cdot 2 = -6$. Так как $V''(2) < 0$, точка $a = 2$ является точкой максимума.

Таким образом, объем будет наибольшим при стороне основания $a = 2$ дм. Найдем соответствующую высоту $h$: $h = \frac{12 - a^2}{2a} = \frac{12 - 2^2}{2 \cdot 2} = \frac{12 - 4}{4} = \frac{8}{4} = 2$ дм.

Поскольку $a = h = 2$ дм, параллелепипед с наибольшим объемом является кубом. Его наибольший объем равен: $V_{max} = a^2h = 2^2 \cdot 2 = 8 \text{ дм}^3$.

Параллелепипед наибольшего объема Ответ: это куб со стороной 2 дм, его объем равен 8 дм³.

Помогло решение? Оставьте отзыв в комментариях ниже.

Присоединяйтесь к Телеграм-группе @gdz_by_belarus

Присоединиться

Мы подготовили для вас ответ c подробным объяснением домашего задания по алгебре за 10 класс, для упражнения номер 3.162 расположенного на странице 272 к учебнику 2019 года издания для учащихся школ и гимназий.

Теперь на нашем сайте ГДЗ.ТОП вы всегда легко и бесплатно найдёте условие с правильным ответом на вопрос «Как решить ДЗ» и «Как сделать» задание по алгебре к упражнению №3.162 (с. 272), авторов: Арефьева (Ирина Глебовна), Пирютко (Ольга Николаевна), учебного пособия издательства Народная асвета.