Номер 3.169, страница 273 - гдз по алгебре 10 класс учебник Арефьева, Пирютко

Алгебра, 10 класс Учебник, авторы: Арефьева Ирина Глебовна, Пирютко Ольга Николаевна, издательство Народная асвета, Минск, 2019, голубого цвета

Авторы: Арефьева И. Г., Пирютко О. Н.

Тип: Учебник

Издательство: Народная асвета

Год издания: 2019 - 2025

Цвет обложки: голубой с графиком

Допущено Министерством образования Республики Беларусь

Популярные ГДЗ в 10 классе

Глава 3. Производная. Параграф 22. Наибольшее и наименьшее значения функции - номер 3.169, страница 273.

№3.169 (с. 273)
Условие. №3.169 (с. 273)
скриншот условия
Алгебра, 10 класс Учебник, авторы: Арефьева Ирина Глебовна, Пирютко Ольга Николаевна, издательство Народная асвета, Минск, 2019, голубого цвета, страница 273, номер 3.169, Условие

3.169. Найдите наибольшее и наименьшее значения функции $f(x) = \frac{x^3}{3} + 1,5x^2 + 2x + 3$ на отрезке $[-3; 0]$.

Решение. №3.169 (с. 273)
Алгебра, 10 класс Учебник, авторы: Арефьева Ирина Глебовна, Пирютко Ольга Николаевна, издательство Народная асвета, Минск, 2019, голубого цвета, страница 273, номер 3.169, Решение Алгебра, 10 класс Учебник, авторы: Арефьева Ирина Глебовна, Пирютко Ольга Николаевна, издательство Народная асвета, Минск, 2019, голубого цвета, страница 273, номер 3.169, Решение (продолжение 2)
Решение 2. №3.169 (с. 273)

Для нахождения наибольшего и наименьшего значений функции на отрезке, необходимо выполнить следующие шаги:

  1. Найти производную функции $f'(x)$.
  2. Найти стационарные (критические) точки функции, решив уравнение $f'(x) = 0$.
  3. Выбрать те критические точки, которые принадлежат заданному отрезку.
  4. Вычислить значения функции в этих точках и на концах отрезка.
  5. Сравнить полученные значения и выбрать из них наибольшее и наименьшее.

Заданная функция: $f(x) = \frac{x^3}{3} + 1,5x^2 + 2x + 3$ на отрезке $[-3; 0]$.

Для удобства вычислений представим $1,5$ в виде дроби $\frac{3}{2}$:

$f(x) = \frac{x^3}{3} + \frac{3}{2}x^2 + 2x + 3$

1. Находим производную функции:

$f'(x) = (\frac{x^3}{3} + \frac{3}{2}x^2 + 2x + 3)' = \frac{1}{3} \cdot 3x^2 + \frac{3}{2} \cdot 2x + 2 = x^2 + 3x + 2$

2. Находим критические точки:

Приравняем производную к нулю:

$x^2 + 3x + 2 = 0$

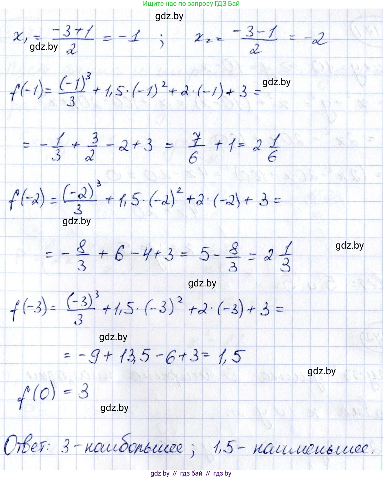
Это квадратное уравнение. Решим его с помощью теоремы Виета или через дискриминант. По теореме Виета, сумма корней равна $-3$, а произведение равно $2$. Корни легко подбираются:$x_1 = -1$ и $x_2 = -2$.

3. Проверяем принадлежность критических точек отрезку $[-3; 0]$:

  • Точка $x = -1$ принадлежит отрезку $[-3; 0]$.
  • Точка $x = -2$ принадлежит отрезку $[-3; 0]$.

4. Вычисляем значения функции в критических точках и на концах отрезка:

  • На левом конце отрезка, при $x = -3$:
    $f(-3) = \frac{(-3)^3}{3} + 1,5(-3)^2 + 2(-3) + 3 = \frac{-27}{3} + 1,5 \cdot 9 - 6 + 3 = -9 + 13,5 - 3 = 1,5 = \frac{3}{2}$
  • В критической точке $x = -2$:
    $f(-2) = \frac{(-2)^3}{3} + 1,5(-2)^2 + 2(-2) + 3 = \frac{-8}{3} + 1,5 \cdot 4 - 4 + 3 = -\frac{8}{3} + 6 - 1 = 5 - \frac{8}{3} = \frac{15-8}{3} = \frac{7}{3}$
  • В критической точке $x = -1$:
    $f(-1) = \frac{(-1)^3}{3} + 1,5(-1)^2 + 2(-1) + 3 = -\frac{1}{3} + 1,5 - 2 + 3 = -\frac{1}{3} + 2,5 = -\frac{1}{3} + \frac{5}{2} = \frac{-2+15}{6} = \frac{13}{6}$
  • На правом конце отрезка, при $x = 0$:
    $f(0) = \frac{0^3}{3} + 1,5(0)^2 + 2(0) + 3 = 3$

5. Сравниваем полученные значения:

Получили четыре значения: $\frac{3}{2}$, $\frac{7}{3}$, $\frac{13}{6}$ и $3$.

Приведем их к общему знаменателю 6 для удобства сравнения:

  • $f(-3) = \frac{3}{2} = \frac{9}{6}$
  • $f(-2) = \frac{7}{3} = \frac{14}{6}$
  • $f(-1) = \frac{13}{6}$
  • $f(0) = 3 = \frac{18}{6}$

Сравнивая дроби $\frac{9}{6}, \frac{14}{6}, \frac{13}{6}, \frac{18}{6}$, видим, что наименьшее значение - это $\frac{9}{6}$, а наибольшее - $\frac{18}{6}$.

Наибольшее значение функции: Ответ: $3$

Наименьшее значение функции: Ответ: $1\frac{1}{2}$

Помогло решение? Оставьте отзыв в комментариях ниже.

Присоединяйтесь к Телеграм-группе @gdz_by_belarus

Присоединиться

Мы подготовили для вас ответ c подробным объяснением домашего задания по алгебре за 10 класс, для упражнения номер 3.169 расположенного на странице 273 к учебнику 2019 года издания для учащихся школ и гимназий.

Теперь на нашем сайте ГДЗ.ТОП вы всегда легко и бесплатно найдёте условие с правильным ответом на вопрос «Как решить ДЗ» и «Как сделать» задание по алгебре к упражнению №3.169 (с. 273), авторов: Арефьева (Ирина Глебовна), Пирютко (Ольга Николаевна), учебного пособия издательства Народная асвета.