Номер 3.45, страница 237 - гдз по алгебре 10 класс учебник Арефьева, Пирютко

Алгебра, 10 класс Учебник, авторы: Арефьева Ирина Глебовна, Пирютко Ольга Николаевна, издательство Народная асвета, Минск, 2019, голубого цвета

Авторы: Арефьева И. Г., Пирютко О. Н.

Тип: Учебник

Издательство: Народная асвета

Год издания: 2019 - 2025

Цвет обложки: голубой с графиком

Допущено Министерством образования Республики Беларусь

Популярные ГДЗ в 10 классе

Глава 3. Производная. Параграф 19. Правила вычисления производных - номер 3.45, страница 237.

№3.45 (с. 237)
Условие. №3.45 (с. 237)
скриншот условия
Алгебра, 10 класс Учебник, авторы: Арефьева Ирина Глебовна, Пирютко Ольга Николаевна, издательство Народная асвета, Минск, 2019, голубого цвета, страница 237, номер 3.45, Условие

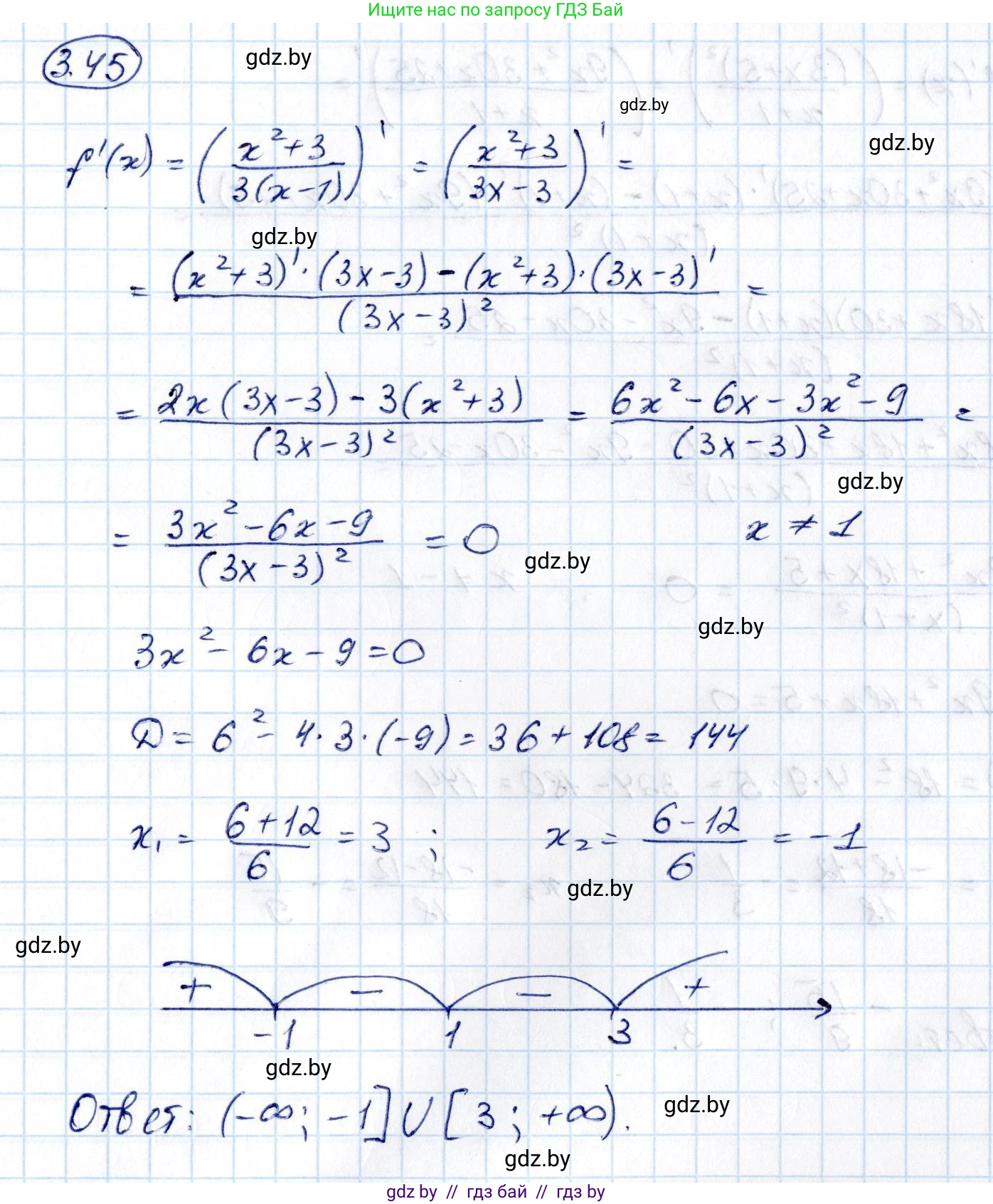
3.45. Решите неравенство $f'(x) \ge 0$, если $f(x) = \frac{x^2+3}{3(x-1)}$.

Решение. №3.45 (с. 237)
Алгебра, 10 класс Учебник, авторы: Арефьева Ирина Глебовна, Пирютко Ольга Николаевна, издательство Народная асвета, Минск, 2019, голубого цвета, страница 237, номер 3.45, Решение
Решение 2. №3.45 (с. 237)

Для решения неравенства $f'(x) \ge 0$, сначала необходимо найти производную функции $f(x) = \frac{x^2+3}{3(x-1)}$.

Представим функцию в виде $f(x) = \frac{1}{3} \cdot \frac{x^2+3}{x-1}$. Для нахождения производной дроби $\frac{x^2+3}{x-1}$ воспользуемся правилом дифференцирования частного: $(\frac{u}{v})' = \frac{u'v - uv'}{v^2}$. Пусть $u(x) = x^2+3$ и $v(x) = x-1$. Тогда их производные: $u'(x) = 2x$ и $v'(x) = 1$.

Теперь найдем производную $f'(x)$: $f'(x) = \frac{1}{3} \cdot \left(\frac{x^2+3}{x-1}\right)' = \frac{1}{3} \cdot \frac{(x^2+3)'(x-1) - (x^2+3)(x-1)'}{(x-1)^2}$ $f'(x) = \frac{1}{3} \cdot \frac{2x(x-1) - (x^2+3)(1)}{(x-1)^2}$

Упростим выражение в числителе: $2x(x-1) - (x^2+3) = 2x^2 - 2x - x^2 - 3 = x^2 - 2x - 3$.

Таким образом, производная функции равна: $f'(x) = \frac{x^2 - 2x - 3}{3(x-1)^2}$.

Теперь решим неравенство $f'(x) \ge 0$: $\frac{x^2 - 2x - 3}{3(x-1)^2} \ge 0$.

Знаменатель дроби $3(x-1)^2$ всегда положителен при любом $x$, кроме $x=1$ (при $x=1$ знаменатель обращается в ноль, и функция не определена). Следовательно, знак дроби зависит только от знака числителя. Неравенство равносильно системе: $$ \begin{cases} x^2 - 2x - 3 \ge 0 \\ x \neq 1 \end{cases} $$

Решим квадратное неравенство $x^2 - 2x - 3 \ge 0$. Сначала найдем корни соответствующего уравнения $x^2 - 2x - 3 = 0$. По теореме Виета или через дискриминант находим корни: $D = (-2)^2 - 4 \cdot 1 \cdot (-3) = 4 + 12 = 16 = 4^2$. $x_1 = \frac{2 - 4}{2} = -1$ $x_2 = \frac{2 + 4}{2} = 3$

Парабола $y = x^2 - 2x - 3$ ветвями направлена вверх, поэтому она принимает неотрицательные значения при $x \le -1$ и при $x \ge 3$. Решением неравенства $x^2 - 2x - 3 \ge 0$ является объединение промежутков $(-\infty, -1] \cup [3, \infty)$.

Учитывая условие $x \neq 1$, которое уже выполняется для найденного решения, получаем окончательный ответ.

Ответ: $x \in (-\infty, -1] \cup [3, \infty)$.

Помогло решение? Оставьте отзыв в комментариях ниже.

Присоединяйтесь к Телеграм-группе @gdz_by_belarus

Присоединиться

Мы подготовили для вас ответ c подробным объяснением домашего задания по алгебре за 10 класс, для упражнения номер 3.45 расположенного на странице 237 к учебнику 2019 года издания для учащихся школ и гимназий.

Теперь на нашем сайте ГДЗ.ТОП вы всегда легко и бесплатно найдёте условие с правильным ответом на вопрос «Как решить ДЗ» и «Как сделать» задание по алгебре к упражнению №3.45 (с. 237), авторов: Арефьева (Ирина Глебовна), Пирютко (Ольга Николаевна), учебного пособия издательства Народная асвета.