Номер 3.52, страница 237 - гдз по алгебре 10 класс учебник Арефьева, Пирютко

Алгебра, 10 класс Учебник, авторы: Арефьева Ирина Глебовна, Пирютко Ольга Николаевна, издательство Народная асвета, Минск, 2019, голубого цвета

Авторы: Арефьева И. Г., Пирютко О. Н.

Тип: Учебник

Издательство: Народная асвета

Год издания: 2019 - 2025

Цвет обложки: голубой с графиком

Допущено Министерством образования Республики Беларусь

Популярные ГДЗ в 10 классе

Глава 3. Производная. Параграф 19. Правила вычисления производных - номер 3.52, страница 237.

№3.52 (с. 237)
Условие. №3.52 (с. 237)
скриншот условия
Алгебра, 10 класс Учебник, авторы: Арефьева Ирина Глебовна, Пирютко Ольга Николаевна, издательство Народная асвета, Минск, 2019, голубого цвета, страница 237, номер 3.52, Условие

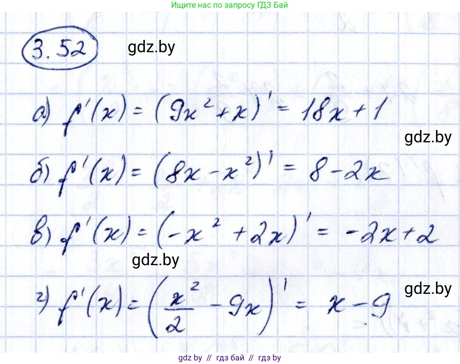
3.52. Найдите производную функции:

а) $f(x) = 9x^2 + x;$

б) $f(x) = 8x - x^2;$

в) $f(x) = -x^2 + 2x;$

г) $f(x) = \frac{x^2}{2} - 9x.$

Решение. №3.52 (с. 237)
Алгебра, 10 класс Учебник, авторы: Арефьева Ирина Глебовна, Пирютко Ольга Николаевна, издательство Народная асвета, Минск, 2019, голубого цвета, страница 237, номер 3.52, Решение
Решение 2. №3.52 (с. 237)

а) Для нахождения производной функции $f(x) = 9x^2 + x$ применяем правило дифференцирования суммы и степенной функции. Производная суммы функций равна сумме их производных: $(u+v)' = u' + v'$.
$f'(x) = (9x^2 + x)' = (9x^2)' + (x)'$
Используем правило степенной функции $(x^n)' = nx^{n-1}$ и правило для производной $x$, которое гласит, что $(x)' = 1$.
$(9x^2)' = 9 \cdot (x^2)' = 9 \cdot 2x^{2-1} = 18x$
$(x)' = 1$
Складываем полученные производные:
$f'(x) = 18x + 1$
Ответ: $18x + 1$.

б) Для нахождения производной функции $f(x) = 8x - x^2$ применяем правило дифференцирования разности: $(u-v)' = u' - v'$.
$f'(x) = (8x - x^2)' = (8x)' - (x^2)'$
Находим производную каждого члена по отдельности:
$(8x)' = 8 \cdot (x)' = 8 \cdot 1 = 8$
$(x^2)' = 2x^{2-1} = 2x$
Вычитаем вторую производную из первой:
$f'(x) = 8 - 2x$
Ответ: $8 - 2x$.

в) Для нахождения производной функции $f(x) = -x^2 + 2x$ применяем правило дифференцирования суммы и степенной функции.
$f'(x) = (-x^2 + 2x)' = (-x^2)' + (2x)'$
Находим производную каждого слагаемого:
$(-x^2)' = -1 \cdot (x^2)' = -1 \cdot 2x = -2x$
$(2x)' = 2 \cdot (x)' = 2 \cdot 1 = 2$
Складываем полученные результаты:
$f'(x) = -2x + 2$
Ответ: $-2x + 2$.

г) Для нахождения производной функции $f(x) = \frac{x^2}{2} - 9x$ представим ее в виде $f(x) = \frac{1}{2}x^2 - 9x$ и применим правило дифференцирования разности.
$f'(x) = (\frac{1}{2}x^2 - 9x)' = (\frac{1}{2}x^2)' - (9x)'$
Находим производную каждого члена:
$(\frac{1}{2}x^2)' = \frac{1}{2} \cdot (x^2)' = \frac{1}{2} \cdot 2x = x$
$(9x)' = 9 \cdot (x)' = 9 \cdot 1 = 9$
Вычитаем вторую производную из первой:
$f'(x) = x - 9$
Ответ: $x - 9$.

Помогло решение? Оставьте отзыв в комментариях ниже.

Присоединяйтесь к Телеграм-группе @gdz_by_belarus

Присоединиться

Мы подготовили для вас ответ c подробным объяснением домашего задания по алгебре за 10 класс, для упражнения номер 3.52 расположенного на странице 237 к учебнику 2019 года издания для учащихся школ и гимназий.

Теперь на нашем сайте ГДЗ.ТОП вы всегда легко и бесплатно найдёте условие с правильным ответом на вопрос «Как решить ДЗ» и «Как сделать» задание по алгебре к упражнению №3.52 (с. 237), авторов: Арефьева (Ирина Глебовна), Пирютко (Ольга Николаевна), учебного пособия издательства Народная асвета.