Номер 3.57, страница 238 - гдз по алгебре 10 класс учебник Арефьева, Пирютко

Алгебра, 10 класс Учебник, авторы: Арефьева Ирина Глебовна, Пирютко Ольга Николаевна, издательство Народная асвета, Минск, 2019, голубого цвета

Авторы: Арефьева И. Г., Пирютко О. Н.

Тип: Учебник

Издательство: Народная асвета

Год издания: 2019 - 2025

Цвет обложки: голубой с графиком

Допущено Министерством образования Республики Беларусь

Популярные ГДЗ в 10 классе

Глава 3. Производная. Параграф 19. Правила вычисления производных - номер 3.57, страница 238.

№3.57 (с. 238)
Условие. №3.57 (с. 238)
скриншот условия
Алгебра, 10 класс Учебник, авторы: Арефьева Ирина Глебовна, Пирютко Ольга Николаевна, издательство Народная асвета, Минск, 2019, голубого цвета, страница 238, номер 3.57, Условие

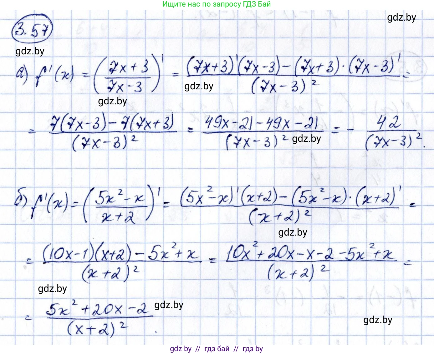
3.57. Найдите производную функции, используя правило нахождения производной частного:

а) $f(x) = \frac{7x+3}{7x-3}$;

б) $f(x) = \frac{5x^2-x}{x+2}$.

Решение. №3.57 (с. 238)
Алгебра, 10 класс Учебник, авторы: Арефьева Ирина Глебовна, Пирютко Ольга Николаевна, издательство Народная асвета, Минск, 2019, голубого цвета, страница 238, номер 3.57, Решение
Решение 2. №3.57 (с. 238)

Для нахождения производной частного двух функций используется правило:

Если $f(x) = \frac{u(x)}{v(x)}$, то ее производная $f'(x) = \left(\frac{u(x)}{v(x)}\right)' = \frac{u'(x)v(x) - u(x)v'(x)}{[v(x)]^2}$.

а) $f(x) = \frac{7x+3}{7x-3}$

В данном случае, $u(x) = 7x+3$ и $v(x) = 7x-3$.

Найдем производные числителя и знаменателя:

$u'(x) = (7x+3)' = 7$

$v'(x) = (7x-3)' = 7$

Подставим найденные значения в формулу производной частного:

$f'(x) = \frac{7 \cdot (7x-3) - (7x+3) \cdot 7}{(7x-3)^2}$

Раскроем скобки в числителе и упростим выражение:

$f'(x) = \frac{49x - 21 - (49x + 21)}{(7x-3)^2} = \frac{49x - 21 - 49x - 21}{(7x-3)^2} = \frac{-42}{(7x-3)^2}$

Ответ: $f'(x) = -\frac{42}{(7x-3)^2}$.

б) $f(x) = \frac{5x^2-x}{x+2}$

Здесь $u(x) = 5x^2-x$ и $v(x) = x+2$.

Найдем производные числителя и знаменателя:

$u'(x) = (5x^2-x)' = 10x - 1$

$v'(x) = (x+2)' = 1$

Подставим значения в формулу производной частного:

$f'(x) = \frac{(10x-1)(x+2) - (5x^2-x) \cdot 1}{(x+2)^2}$

Раскроем скобки в числителе и упростим:

$f'(x) = \frac{10x^2 + 20x - x - 2 - 5x^2 + x}{(x+2)^2} = \frac{5x^2 + 20x - 2}{(x+2)^2}$

Полученная дробь является неправильной, так как степень многочлена в числителе равна степени многочлена в знаменателе ($ (x+2)^2 = x^2+4x+4 $). Выделим целую часть путем деления многочлена на многочлен:

$\frac{5x^2 + 20x - 2}{x^2 + 4x + 4} = \frac{5(x^2 + 4x + 4) - 20x - 20 + 20x - 2}{x^2 + 4x + 4} = \frac{5(x^2 + 4x + 4) - 22}{(x+2)^2} = 5 - \frac{22}{(x+2)^2}$

Ответ: $f'(x) = 5 - \frac{22}{(x+2)^2}$.

Помогло решение? Оставьте отзыв в комментариях ниже.

Присоединяйтесь к Телеграм-группе @gdz_by_belarus

Присоединиться

Мы подготовили для вас ответ c подробным объяснением домашего задания по алгебре за 10 класс, для упражнения номер 3.57 расположенного на странице 238 к учебнику 2019 года издания для учащихся школ и гимназий.

Теперь на нашем сайте ГДЗ.ТОП вы всегда легко и бесплатно найдёте условие с правильным ответом на вопрос «Как решить ДЗ» и «Как сделать» задание по алгебре к упражнению №3.57 (с. 238), авторов: Арефьева (Ирина Глебовна), Пирютко (Ольга Николаевна), учебного пособия издательства Народная асвета.