Номер 3.55, страница 237 - гдз по алгебре 10 класс учебник Арефьева, Пирютко

Алгебра, 10 класс Учебник, авторы: Арефьева Ирина Глебовна, Пирютко Ольга Николаевна, издательство Народная асвета, Минск, 2019, голубого цвета

Авторы: Арефьева И. Г., Пирютко О. Н.

Тип: Учебник

Издательство: Народная асвета

Год издания: 2019 - 2025

Цвет обложки: голубой с графиком

Допущено Министерством образования Республики Беларусь

Популярные ГДЗ в 10 классе

Глава 3. Производная. Параграф 19. Правила вычисления производных - номер 3.55, страница 237.

№3.55 (с. 237)
Условие. №3.55 (с. 237)
скриншот условия
Алгебра, 10 класс Учебник, авторы: Арефьева Ирина Глебовна, Пирютко Ольга Николаевна, издательство Народная асвета, Минск, 2019, голубого цвета, страница 237, номер 3.55, Условие

3.55. Найдите производную функции, используя правило нахождения производной произведения:

a) $f(x)=(2x^2-x)(x^2+7);$

б) $f(x)=(x^2-6x)x^3.$

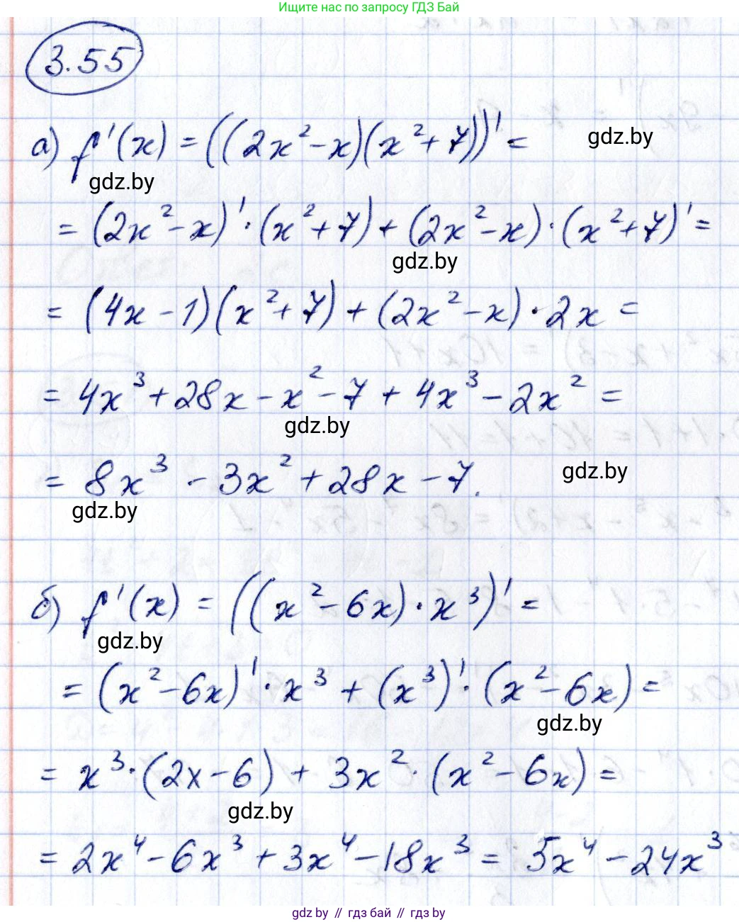
Решение. №3.55 (с. 237)
Алгебра, 10 класс Учебник, авторы: Арефьева Ирина Глебовна, Пирютко Ольга Николаевна, издательство Народная асвета, Минск, 2019, голубого цвета, страница 237, номер 3.55, Решение
Решение 2. №3.55 (с. 237)

Для решения данной задачи воспользуемся правилом нахождения производной произведения двух функций. Если функция $f(x)$ является произведением двух других функций $u(x)$ и $v(x)$, то есть $f(x) = u(x) \cdot v(x)$, то её производная находится по формуле:

$f'(x) = (u(x) \cdot v(x))' = u'(x) \cdot v(x) + u(x) \cdot v'(x)$

Где $u'(x)$ и $v'(x)$ — производные функций $u(x)$ и $v(x)$ соответственно.

а) $f(x) = (2x^2 - x)(x^2 + 7)$

Пусть $u(x) = 2x^2 - x$ и $v(x) = x^2 + 7$.

Найдем производные этих функций:

$u'(x) = (2x^2 - x)' = 2 \cdot 2x - 1 = 4x - 1$

$v'(x) = (x^2 + 7)' = 2x + 0 = 2x$

Теперь подставим найденные производные в формулу производной произведения:

$f'(x) = u'(x)v(x) + u(x)v'(x) = (4x - 1)(x^2 + 7) + (2x^2 - x)(2x)$

Далее раскроем скобки и упростим полученное выражение:

$f'(x) = (4x \cdot x^2 + 4x \cdot 7 - 1 \cdot x^2 - 1 \cdot 7) + (2x^2 \cdot 2x - x \cdot 2x)$

$f'(x) = (4x^3 + 28x - x^2 - 7) + (4x^3 - 2x^2)$

Приведем подобные слагаемые:

$f'(x) = (4x^3 + 4x^3) + (-x^2 - 2x^2) + 28x - 7$

$f'(x) = 8x^3 - 3x^2 + 28x - 7$

Ответ: $8x^3 - 3x^2 + 28x - 7$

б) $f(x) = (x^2 - 6x)x^3$

Пусть $u(x) = x^2 - 6x$ и $v(x) = x^3$.

Найдем производные этих функций:

$u'(x) = (x^2 - 6x)' = 2x - 6$

$v'(x) = (x^3)' = 3x^2$

Подставим производные в формулу:

$f'(x) = u'(x)v(x) + u(x)v'(x) = (2x - 6)x^3 + (x^2 - 6x)(3x^2)$

Раскроем скобки и упростим выражение:

$f'(x) = (2x \cdot x^3 - 6 \cdot x^3) + (x^2 \cdot 3x^2 - 6x \cdot 3x^2)$

$f'(x) = (2x^4 - 6x^3) + (3x^4 - 18x^3)$

Приведем подобные слагаемые:

$f'(x) = (2x^4 + 3x^4) + (-6x^3 - 18x^3)$

$f'(x) = 5x^4 - 24x^3$

Ответ: $5x^4 - 24x^3$

Помогло решение? Оставьте отзыв в комментариях ниже.

Присоединяйтесь к Телеграм-группе @gdz_by_belarus

Присоединиться

Мы подготовили для вас ответ c подробным объяснением домашего задания по алгебре за 10 класс, для упражнения номер 3.55 расположенного на странице 237 к учебнику 2019 года издания для учащихся школ и гимназий.

Теперь на нашем сайте ГДЗ.ТОП вы всегда легко и бесплатно найдёте условие с правильным ответом на вопрос «Как решить ДЗ» и «Как сделать» задание по алгебре к упражнению №3.55 (с. 237), авторов: Арефьева (Ирина Глебовна), Пирютко (Ольга Николаевна), учебного пособия издательства Народная асвета.