Номер 3.56, страница 238 - гдз по алгебре 10 класс учебник Арефьева, Пирютко

Алгебра, 10 класс Учебник, авторы: Арефьева Ирина Глебовна, Пирютко Ольга Николаевна, издательство Народная асвета, Минск, 2019, голубого цвета

Авторы: Арефьева И. Г., Пирютко О. Н.

Тип: Учебник

Издательство: Народная асвета

Год издания: 2019 - 2025

Цвет обложки: голубой с графиком

Допущено Министерством образования Республики Беларусь

Популярные ГДЗ в 10 классе

Глава 3. Производная. Параграф 19. Правила вычисления производных - номер 3.56, страница 238.

№3.56 (с. 238)
Условие. №3.56 (с. 238)
скриншот условия
Алгебра, 10 класс Учебник, авторы: Арефьева Ирина Глебовна, Пирютко Ольга Николаевна, издательство Народная асвета, Минск, 2019, голубого цвета, страница 238, номер 3.56, Условие

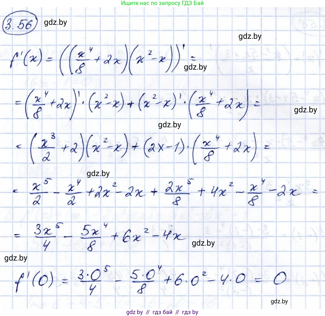
3.56. Найдите $f''(0)$ для функции $f(x) = \left(\frac{x^4}{8} + 2x\right)(x^2 - x)$.

Решение. №3.56 (с. 238)
Алгебра, 10 класс Учебник, авторы: Арефьева Ирина Глебовна, Пирютко Ольга Николаевна, издательство Народная асвета, Минск, 2019, голубого цвета, страница 238, номер 3.56, Решение
Решение 2. №3.56 (с. 238)

Для нахождения значения производной функции $f(x) = \left(\frac{x^4}{8} + 2x\right)(x^2 - x)$ в точке $x=0$, мы воспользуемся правилом дифференцирования произведения двух функций.

Правило произведения гласит: если $f(x) = u(x) \cdot v(x)$, то ее производная $f'(x) = u'(x)v(x) + u(x)v'(x)$.

В нашем случае:

  • $u(x) = \frac{x^4}{8} + 2x$
  • $v(x) = x^2 - x$

Найдем производные для каждой из этих функций:

$u'(x) = \left(\frac{x^4}{8} + 2x\right)' = \frac{1}{8} \cdot 4x^3 + 2 = \frac{x^3}{2} + 2$

$v'(x) = (x^2 - x)' = 2x - 1$

Теперь мы можем записать выражение для производной $f'(x)$:

$f'(x) = \left(\frac{x^3}{2} + 2\right)(x^2 - x) + \left(\frac{x^4}{8} + 2x\right)(2x - 1)$

Чтобы найти $f'(0)$, подставим $x=0$ в полученное выражение:

$f'(0) = \left(\frac{0^3}{2} + 2\right)(0^2 - 0) + \left(\frac{0^4}{8} + 2 \cdot 0\right)(2 \cdot 0 - 1)$

Выполним вычисления:

$f'(0) = (0 + 2)(0) + (0 + 0)(-1)$

$f'(0) = 2 \cdot 0 + 0 \cdot (-1)$

$f'(0) = 0 + 0 = 0$

Альтернативный способ:

Можно сначала упростить исходную функцию, раскрыв скобки:

$f(x) = \frac{x^4}{8} \cdot x^2 - \frac{x^4}{8} \cdot x + 2x \cdot x^2 - 2x \cdot x = \frac{x^6}{8} - \frac{x^5}{8} + 2x^3 - 2x^2$

Теперь найдем производную этого многочлена:

$f'(x) = \left(\frac{x^6}{8} - \frac{x^5}{8} + 2x^3 - 2x^2\right)' = \frac{6x^5}{8} - \frac{5x^4}{8} + 6x^2 - 4x = \frac{3x^5}{4} - \frac{5x^4}{8} + 6x^2 - 4x$

Подставим $x=0$:

$f'(0) = \frac{3 \cdot 0^5}{4} - \frac{5 \cdot 0^4}{8} + 6 \cdot 0^2 - 4 \cdot 0 = 0$

Оба способа приводят к одному и тому же результату.

3.56. Ответ: 0

Помогло решение? Оставьте отзыв в комментариях ниже.

Присоединяйтесь к Телеграм-группе @gdz_by_belarus

Присоединиться

Мы подготовили для вас ответ c подробным объяснением домашего задания по алгебре за 10 класс, для упражнения номер 3.56 расположенного на странице 238 к учебнику 2019 года издания для учащихся школ и гимназий.

Теперь на нашем сайте ГДЗ.ТОП вы всегда легко и бесплатно найдёте условие с правильным ответом на вопрос «Как решить ДЗ» и «Как сделать» задание по алгебре к упражнению №3.56 (с. 238), авторов: Арефьева (Ирина Глебовна), Пирютко (Ольга Николаевна), учебного пособия издательства Народная асвета.