Номер 1.539, страница 157 - гдз по алгебре 10 класс учебник Арефьева, Пирютко

Алгебра, 10 класс Учебник, авторы: Арефьева Ирина Глебовна, Пирютко Ольга Николаевна, издательство Народная асвета, Минск, 2019, голубого цвета

Авторы: Арефьева И. Г., Пирютко О. Н.

Тип: Учебник

Издательство: Народная асвета

Год издания: 2019 - 2025

Цвет обложки: голубой с графиком

Допущено Министерством образования Республики Беларусь

Популярные ГДЗ в 10 классе

Глава 1. Тригонометрия. Параграф 12. Формулы преобразования суммы и разности синусов (косинусов) в произведение - номер 1.539, страница 157.

№1.539 (с. 157)
Условие. №1.539 (с. 157)
скриншот условия
Алгебра, 10 класс Учебник, авторы: Арефьева Ирина Глебовна, Пирютко Ольга Николаевна, издательство Народная асвета, Минск, 2019, голубого цвета, страница 157, номер 1.539, Условие

1.539. Найдите значение выражения:

а) $ \cos 80^\circ + \cos 40^\circ - \cos 20^\circ; $

б) $ \cos 47^\circ + \sin 77^\circ - \sqrt{3} \cos 17^\circ; $

В) $ \frac{\cos 29^\circ - \cos 91^\circ}{\sin 31^\circ}; $

Г) $ \frac{\sin \frac{5\pi}{18} + \sin \frac{2\pi}{9}}{\cos \frac{5\pi}{18} + \cos \frac{2\pi}{9}}; $

Д) $ \frac{\cos 25^\circ \cos 15^\circ - \sin 25^\circ \sin 15^\circ}{\cos 100^\circ + \cos 20^\circ}; $

е) $ \frac{\cos \frac{5\pi}{12} + \cos \frac{\pi}{12}}{\cos \frac{\pi}{3} \cos \frac{\pi}{12} + \sin \frac{\pi}{3} \sin \frac{\pi}{12}}. $

Решение. №1.539 (с. 157)
Алгебра, 10 класс Учебник, авторы: Арефьева Ирина Глебовна, Пирютко Ольга Николаевна, издательство Народная асвета, Минск, 2019, голубого цвета, страница 157, номер 1.539, Решение
Решение 2. №1.539 (с. 157)

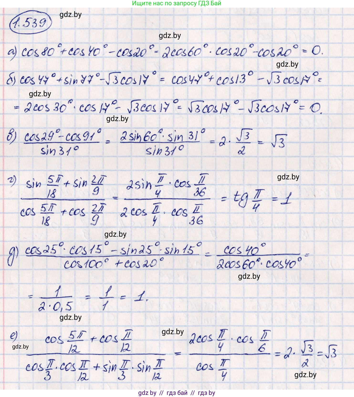
а) Для выражения $cos80° + cos40° - cos20°$ сгруппируем первые два слагаемых и применим формулу суммы косинусов: $cos\alpha + cos\beta = 2cos\frac{\alpha+\beta}{2}cos\frac{\alpha-\beta}{2}$.

$cos80° + cos40° = 2cos\frac{80°+40°}{2}cos\frac{80°-40°}{2} = 2cos60°cos20°$.

Так как $cos60° = \frac{1}{2}$, получаем: $2 \cdot \frac{1}{2} \cdot cos20° = cos20°$.

Подставим результат в исходное выражение:

$cos20° - cos20° = 0$.

Ответ: 0.

б) Для выражения $cos47° + sin77° - \sqrt{3}cos17°$ используем формулу приведения, чтобы выразить синус через косинус: $sin\alpha = cos(90°-\alpha)$.

$sin77° = cos(90°-77°) = cos13°$.

Выражение принимает вид: $cos47° + cos13° - \sqrt{3}cos17°$.

Применим формулу суммы косинусов к первым двум слагаемым: $cos\alpha + cos\beta = 2cos\frac{\alpha+\beta}{2}cos\frac{\alpha-\beta}{2}$.

$cos47° + cos13° = 2cos\frac{47°+13°}{2}cos\frac{47°-13°}{2} = 2cos\frac{60°}{2}cos\frac{34°}{2} = 2cos30°cos17°$.

Зная, что $cos30° = \frac{\sqrt{3}}{2}$, получаем: $2 \cdot \frac{\sqrt{3}}{2} \cdot cos17° = \sqrt{3}cos17°$.

Подставим это в выражение: $\sqrt{3}cos17° - \sqrt{3}cos17° = 0$.

Ответ: 0.

в) Для выражения $\frac{cos29° - cos91°}{sin31°}$ применим к числителю формулу разности косинусов: $cos\alpha - cos\beta = -2sin\frac{\alpha+\beta}{2}sin\frac{\alpha-\beta}{2}$.

$cos29° - cos91° = -2sin\frac{29°+91°}{2}sin\frac{29°-91°}{2} = -2sin\frac{120°}{2}sin\frac{-62°}{2} = -2sin60°sin(-31°)$.

Используем свойство нечетности синуса $sin(-\alpha) = -sin\alpha$:

$-2sin60°(-sin31°) = 2sin60°sin31°$.

Подставим значение $sin60° = \frac{\sqrt{3}}{2}$:

$2 \cdot \frac{\sqrt{3}}{2} \cdot sin31° = \sqrt{3}sin31°$.

Теперь подставим полученный числитель обратно в дробь:

$\frac{\sqrt{3}sin31°}{sin31°} = \sqrt{3}$.

Ответ: $\sqrt{3}$.

г) Для выражения $\frac{sin\frac{5\pi}{18} + sin\frac{2\pi}{9}}{cos\frac{5\pi}{18} + cos\frac{2\pi}{9}}$ приведем углы к общему знаменателю: $\frac{2\pi}{9} = \frac{4\pi}{18}$.

Выражение примет вид: $\frac{sin\frac{5\pi}{18} + sin\frac{4\pi}{18}}{cos\frac{5\pi}{18} + cos\frac{4\pi}{18}}$.

Применим формулы суммы синусов и суммы косинусов:

$sin\alpha + sin\beta = 2sin\frac{\alpha+\beta}{2}cos\frac{\alpha-\beta}{2}$

$cos\alpha + cos\beta = 2cos\frac{\alpha+\beta}{2}cos\frac{\alpha-\beta}{2}$

$\frac{2sin\frac{\frac{5\pi}{18}+\frac{4\pi}{18}}{2}cos\frac{\frac{5\pi}{18}-\frac{4\pi}{18}}{2}}{2cos\frac{\frac{5\pi}{18}+\frac{4\pi}{18}}{2}cos\frac{\frac{5\pi}{18}-\frac{4\pi}{18}}{2}} = \frac{sin\frac{9\pi/18}{2}}{cos\frac{9\pi/18}{2}} = \frac{sin(\pi/4)}{cos(\pi/4)} = tan(\frac{\pi}{4})$.

Значение тангенса этого угла: $tan(\frac{\pi}{4}) = 1$.

Ответ: 1.

д) Для выражения $\frac{cos25°cos15° - sin25°sin15°}{cos100° + cos20°}$ в числителе используем формулу косинуса суммы: $cos(\alpha+\beta) = cos\alpha cos\beta - sin\alpha sin\beta$.

$cos25°cos15° - sin25°sin15° = cos(25°+15°) = cos40°$.

В знаменателе используем формулу суммы косинусов: $cos\alpha + cos\beta = 2cos\frac{\alpha+\beta}{2}cos\frac{\alpha-\beta}{2}$.

$cos100° + cos20° = 2cos\frac{100°+20°}{2}cos\frac{100°-20°}{2} = 2cos\frac{120°}{2}cos\frac{80°}{2} = 2cos60°cos40°$.

Так как $cos60° = \frac{1}{2}$, знаменатель равен: $2 \cdot \frac{1}{2} \cdot cos40° = cos40°$.

Подставим числитель и знаменатель в исходную дробь:

$\frac{cos40°}{cos40°} = 1$.

Ответ: 1.

е) Для выражения $\frac{cos\frac{5\pi}{12} + cos\frac{\pi}{12}}{cos\frac{\pi}{3}cos\frac{\pi}{12} + sin\frac{\pi}{3}sin\frac{\pi}{12}}$ в знаменателе используем формулу косинуса разности: $cos(\alpha-\beta) = cos\alpha cos\beta + sin\alpha sin\beta$.

$cos\frac{\pi}{3}cos\frac{\pi}{12} + sin\frac{\pi}{3}sin\frac{\pi}{12} = cos(\frac{\pi}{3}-\frac{\pi}{12}) = cos(\frac{4\pi-\pi}{12}) = cos(\frac{3\pi}{12}) = cos(\frac{\pi}{4})$.

В числителе используем формулу суммы косинусов: $cos\alpha + cos\beta = 2cos\frac{\alpha+\beta}{2}cos\frac{\alpha-\beta}{2}$.

$cos\frac{5\pi}{12} + cos\frac{\pi}{12} = 2cos\frac{\frac{5\pi}{12}+\frac{\pi}{12}}{2}cos\frac{\frac{5\pi}{12}-\frac{\pi}{12}}{2} = 2cos\frac{6\pi/12}{2}cos\frac{4\pi/12}{2} = 2cos\frac{\pi/2}{2}cos\frac{\pi/3}{2} = 2cos(\frac{\pi}{4})cos(\frac{\pi}{6})$.

Теперь запишем всю дробь:

$\frac{2cos(\frac{\pi}{4})cos(\frac{\pi}{6})}{cos(\frac{\pi}{4})}$.

Сокращаем $cos(\frac{\pi}{4})$, так как он не равен нулю. Получаем:

$2cos(\frac{\pi}{6}) = 2 \cdot \frac{\sqrt{3}}{2} = \sqrt{3}$.

Ответ: $\sqrt{3}$.

Помогло решение? Оставьте отзыв в комментариях ниже.

Присоединяйтесь к Телеграм-группе @gdz_by_belarus

Присоединиться

Мы подготовили для вас ответ c подробным объяснением домашего задания по алгебре за 10 класс, для упражнения номер 1.539 расположенного на странице 157 к учебнику 2019 года издания для учащихся школ и гимназий.

Теперь на нашем сайте ГДЗ.ТОП вы всегда легко и бесплатно найдёте условие с правильным ответом на вопрос «Как решить ДЗ» и «Как сделать» задание по алгебре к упражнению №1.539 (с. 157), авторов: Арефьева (Ирина Глебовна), Пирютко (Ольга Николаевна), учебного пособия издательства Народная асвета.