Номер 1.540, страница 157 - гдз по алгебре 10 класс учебник Арефьева, Пирютко

Алгебра, 10 класс Учебник, авторы: Арефьева Ирина Глебовна, Пирютко Ольга Николаевна, издательство Народная асвета, Минск, 2019, голубого цвета

Авторы: Арефьева И. Г., Пирютко О. Н.

Тип: Учебник

Издательство: Народная асвета

Год издания: 2019 - 2025

Цвет обложки: голубой с графиком

Допущено Министерством образования Республики Беларусь

Популярные ГДЗ в 10 классе

Глава 1. Тригонометрия. Параграф 12. Формулы преобразования суммы и разности синусов (косинусов) в произведение - номер 1.540, страница 157.

№1.540 (с. 157)
Условие. №1.540 (с. 157)
скриншот условия
Алгебра, 10 класс Учебник, авторы: Арефьева Ирина Глебовна, Пирютко Ольга Николаевна, издательство Народная асвета, Минск, 2019, голубого цвета, страница 157, номер 1.540, Условие

1.540. Решите уравнение:

a) $ \cos x - \cos 7x = \sin 3x $;

б) $ 7\sin 2x = \sin 7x - \sin 3x $;

в) $ \cos x \cos 2x + \sin x \sin 2x = \cos 3x $;

г) $ \cos x + \cos 2x + \cos 3x = 0 $.

Решение. №1.540 (с. 157)
Алгебра, 10 класс Учебник, авторы: Арефьева Ирина Глебовна, Пирютко Ольга Николаевна, издательство Народная асвета, Минск, 2019, голубого цвета, страница 157, номер 1.540, Решение Алгебра, 10 класс Учебник, авторы: Арефьева Ирина Глебовна, Пирютко Ольга Николаевна, издательство Народная асвета, Минск, 2019, голубого цвета, страница 157, номер 1.540, Решение (продолжение 2)
Решение 2. №1.540 (с. 157)

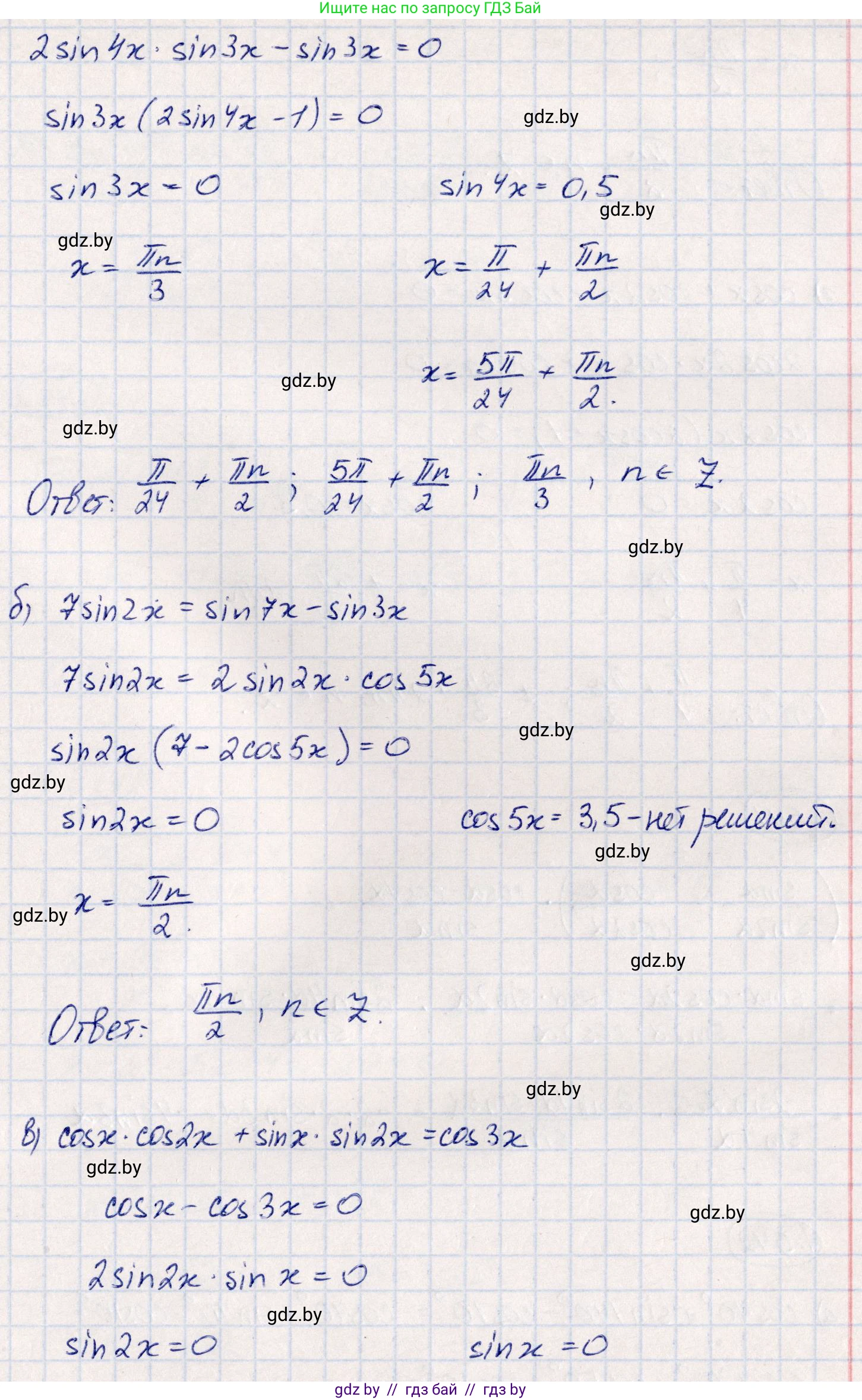
а) $ \cos x - \cos 7x = \sin 3x $

Для решения данного уравнения воспользуемся формулой разности косинусов: $ \cos \alpha - \cos \beta = -2 \sin \frac{\alpha+\beta}{2} \sin \frac{\alpha-\beta}{2} $.

Применим эту формулу к левой части уравнения:

$ \cos x - \cos 7x = -2 \sin \frac{x+7x}{2} \sin \frac{x-7x}{2} = -2 \sin 4x \sin(-3x) $

Так как $ \sin(-A) = -\sin A $, получаем:

$ 2 \sin 4x \sin 3x = \sin 3x $

Перенесем все члены уравнения в левую часть и вынесем общий множитель $ \sin 3x $ за скобки:

$ 2 \sin 4x \sin 3x - \sin 3x = 0 $

$ \sin 3x (2 \sin 4x - 1) = 0 $

Произведение равно нулю, когда хотя бы один из множителей равен нулю. Получаем два уравнения:

1) $ \sin 3x = 0 $

$ 3x = \pi k $, где $ k \in \mathbb{Z} $

$ x = \frac{\pi k}{3} $

2) $ 2 \sin 4x - 1 = 0 $

$ \sin 4x = \frac{1}{2} $

$ 4x = (-1)^n \arcsin\left(\frac{1}{2}\right) + \pi n $, где $ n \in \mathbb{Z} $

$ 4x = (-1)^n \frac{\pi}{6} + \pi n $

$ x = (-1)^n \frac{\pi}{24} + \frac{\pi n}{4} $

Ответ: $ x = \frac{\pi k}{3}, \quad x = (-1)^n \frac{\pi}{24} + \frac{\pi n}{4} $, где $ k, n \in \mathbb{Z} $.

б) $ 7\sin 2x = \sin 7x - \sin 3x $

Воспользуемся формулой разности синусов: $ \sin \alpha - \sin \beta = 2 \cos \frac{\alpha+\beta}{2} \sin \frac{\alpha-\beta}{2} $.

Применим формулу к правой части уравнения:

$ \sin 7x - \sin 3x = 2 \cos \frac{7x+3x}{2} \sin \frac{7x-3x}{2} = 2 \cos 5x \sin 2x $

Подставим это выражение в исходное уравнение:

$ 7\sin 2x = 2 \cos 5x \sin 2x $

Перенесем все в левую часть и вынесем $ \sin 2x $ за скобки:

$ 7\sin 2x - 2 \cos 5x \sin 2x = 0 $

$ \sin 2x (7 - 2 \cos 5x) = 0 $

Получаем два уравнения:

1) $ \sin 2x = 0 $

$ 2x = \pi k $, где $ k \in \mathbb{Z} $

$ x = \frac{\pi k}{2} $

2) $ 7 - 2 \cos 5x = 0 $

$ 2 \cos 5x = 7 $

$ \cos 5x = \frac{7}{2} = 3.5 $

Это уравнение не имеет решений, так как область значений функции косинуса $ [-1, 1] $, а $ 3.5 > 1 $.

Таким образом, решением исходного уравнения является только первая серия корней.

Ответ: $ x = \frac{\pi k}{2} $, где $ k \in \mathbb{Z} $.

в) $ \cos x \cos 2x + \sin x \sin 2x = \cos 3x $

Левая часть уравнения представляет собой формулу косинуса разности: $ \cos(\alpha - \beta) = \cos \alpha \cos \beta + \sin \alpha \sin \beta $.

Применив эту формулу, получаем:

$ \cos(2x - x) = \cos 3x $

$ \cos x = \cos 3x $

Это уравнение равносильно совокупности двух уравнений:

$ 3x = x + 2\pi k $ или $ 3x = -x + 2\pi k $, где $ k \in \mathbb{Z} $.

Решим каждое из них:

1) $ 3x - x = 2\pi k $

$ 2x = 2\pi k $

$ x = \pi k $

2) $ 3x + x = 2\pi k $

$ 4x = 2\pi k $

$ x = \frac{2\pi k}{4} = \frac{\pi k}{2} $

Множество решений $ x = \pi k $ является подмножеством множества решений $ x = \frac{\pi k}{2} $ (при четных значениях $k$ во второй формуле). Следовательно, общее решение — это $ x = \frac{\pi k}{2} $.

Ответ: $ x = \frac{\pi k}{2} $, где $ k \in \mathbb{Z} $.

г) $ \cos x + \cos 2x + \cos 3x = 0 $

Сгруппируем первое и третье слагаемые и применим к ним формулу суммы косинусов: $ \cos \alpha + \cos \beta = 2 \cos \frac{\alpha+\beta}{2} \cos \frac{\alpha-\beta}{2} $.

$ (\cos x + \cos 3x) + \cos 2x = 0 $

$ 2 \cos \frac{x+3x}{2} \cos \frac{3x-x}{2} + \cos 2x = 0 $

$ 2 \cos 2x \cos x + \cos 2x = 0 $

Вынесем общий множитель $ \cos 2x $ за скобки:

$ \cos 2x (2 \cos x + 1) = 0 $

Получаем два уравнения:

1) $ \cos 2x = 0 $

$ 2x = \frac{\pi}{2} + \pi k $, где $ k \in \mathbb{Z} $

$ x = \frac{\pi}{4} + \frac{\pi k}{2} $

2) $ 2 \cos x + 1 = 0 $

$ \cos x = -\frac{1}{2} $

$ x = \pm \arccos\left(-\frac{1}{2}\right) + 2\pi n $, где $ n \in \mathbb{Z} $

$ x = \pm \frac{2\pi}{3} + 2\pi n $

Ответ: $ x = \frac{\pi}{4} + \frac{\pi k}{2}, \quad x = \pm \frac{2\pi}{3} + 2\pi n $, где $ k, n \in \mathbb{Z} $.

Помогло решение? Оставьте отзыв в комментариях ниже.

Присоединяйтесь к Телеграм-группе @gdz_by_belarus

Присоединиться

Мы подготовили для вас ответ c подробным объяснением домашего задания по алгебре за 10 класс, для упражнения номер 1.540 расположенного на странице 157 к учебнику 2019 года издания для учащихся школ и гимназий.

Теперь на нашем сайте ГДЗ.ТОП вы всегда легко и бесплатно найдёте условие с правильным ответом на вопрос «Как решить ДЗ» и «Как сделать» задание по алгебре к упражнению №1.540 (с. 157), авторов: Арефьева (Ирина Глебовна), Пирютко (Ольга Николаевна), учебного пособия издательства Народная асвета.