Номер 12, страница 17 - гдз по геометрии 10 класс учебник Латотин, Чеботаревский

Геометрия, 10 класс Учебник, авторы: Латотин Леонид Александрович, Чеботаревский Борис Дмитриевич, Горбунова Ирина Владимировна, издательство Адукацыя i выхаванне, Минск, 2020, белого цвета

Авторы: Латотин Л. А., Чеботаревский Б. Д., Горбунова И. В.

Тип: Учебник

Издательство: Адукацыя i выхаванне

Год издания: 2020 - 2025

Уровень обучения: базовый и повышенный

Цвет обложки: белый в клеточку

Допущено Министерством образования Республики Беларусь

Популярные ГДЗ в 10 классе

Раздел 1. Введение в стериометрию. Параграф 1. Пространственные фигуры. Задания - номер 12, страница 17.

№12 (с. 17)
Условие. №12 (с. 17)
скриншот условия
Геометрия, 10 класс Учебник, авторы: Латотин Леонид Александрович, Чеботаревский Борис Дмитриевич, Горбунова Ирина Владимировна, издательство Адукацыя i выхаванне, Минск, 2020, белого цвета, страница 17, номер 12, Условие

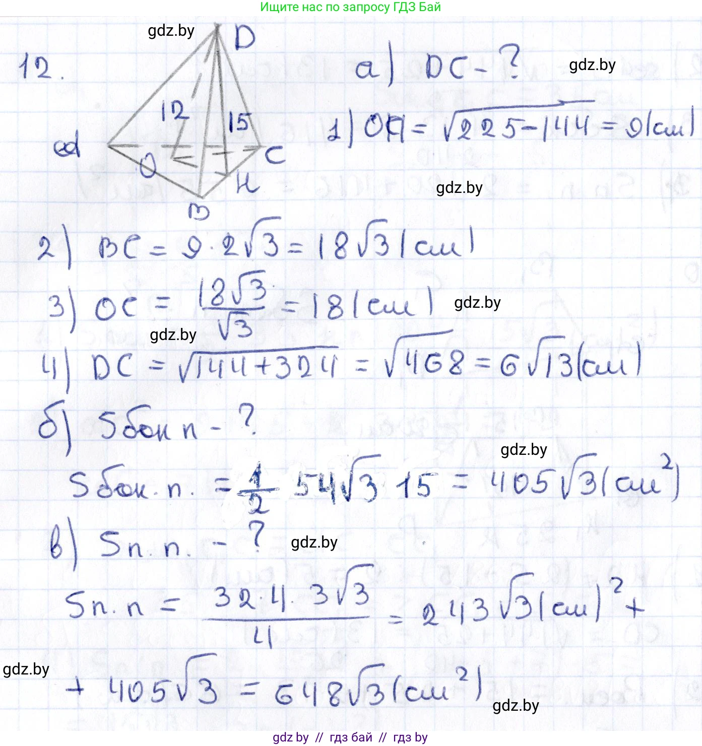
12. Апофема правильной треугольной пирамиды равна 15 см, а отрезок, соединяющий вершину пирамиды с центром основания, — 12 см.

Найдите:

а) боковое ребро;

б) боковую поверхность пирамиды;

в) полную поверхность пирамиды.

Решение 1. №12 (с. 17)
Геометрия, 10 класс Учебник, авторы: Латотин Леонид Александрович, Чеботаревский Борис Дмитриевич, Горбунова Ирина Владимировна, издательство Адукацыя i выхаванне, Минск, 2020, белого цвета, страница 17, номер 12, Решение 1 Геометрия, 10 класс Учебник, авторы: Латотин Леонид Александрович, Чеботаревский Борис Дмитриевич, Горбунова Ирина Владимировна, издательство Адукацыя i выхаванне, Минск, 2020, белого цвета, страница 17, номер 12, Решение 1 (продолжение 2)
Решение 2. №12 (с. 17)
Геометрия, 10 класс Учебник, авторы: Латотин Леонид Александрович, Чеботаревский Борис Дмитриевич, Горбунова Ирина Владимировна, издательство Адукацыя i выхаванне, Минск, 2020, белого цвета, страница 17, номер 12, Решение 2
Решение 3. №12 (с. 17)

Пусть дана правильная треугольная пирамида $SABC$, где $S$ — вершина, а $ABC$ — основание (правильный треугольник). Пусть $SO$ — высота пирамиды, где $O$ — центр основания. По условию $h = SO = 12$ см. Апофема — это высота боковой грани. Проведем апофему $SM$ к стороне основания $BC$. По условию $l_a = SM = 15$ см. Отрезок $OM$ является радиусом вписанной в основание окружности ($r$).

а) боковое ребро;

1. Рассмотрим прямоугольный треугольник $SOM$. По теореме Пифагора найдем радиус вписанной окружности $r = OM$:
$SM^2 = SO^2 + OM^2$
$15^2 = 12^2 + r^2$
$225 = 144 + r^2$
$r^2 = 225 - 144 = 81$
$r = \sqrt{81} = 9$ см.

2. В правильном треугольнике радиус вписанной окружности связан со стороной $a$ формулой $r = \frac{a}{2\sqrt{3}}$. Найдем сторону основания $a = BC$:
$a = r \cdot 2\sqrt{3} = 9 \cdot 2\sqrt{3} = 18\sqrt{3}$ см.

3. Боковое ребро (например, $SB$) является гипотенузой в прямоугольном треугольнике $SMB$. Катетами являются апофема $SM$ и половина стороны основания $BM = \frac{a}{2}$.
$BM = \frac{18\sqrt{3}}{2} = 9\sqrt{3}$ см.

4. По теореме Пифагора найдем боковое ребро $b = SB$:
$b^2 = SM^2 + BM^2$
$b^2 = 15^2 + (9\sqrt{3})^2 = 225 + 81 \cdot 3 = 225 + 243 = 468$
$b = \sqrt{468} = \sqrt{36 \cdot 13} = 6\sqrt{13}$ см.

Ответ: $6\sqrt{13}$ см.

б) боковую поверхность пирамиды;

Площадь боковой поверхности правильной пирамиды вычисляется по формуле:
$S_{бок} = \frac{1}{2} P \cdot l_a$, где $P$ — периметр основания, $l_a$ — апофема.

1. Найдем периметр основания $P$:
$P = 3a = 3 \cdot 18\sqrt{3} = 54\sqrt{3}$ см.

2. Вычислим площадь боковой поверхности:
$S_{бок} = \frac{1}{2} \cdot 54\sqrt{3} \cdot 15 = 27\sqrt{3} \cdot 15 = 405\sqrt{3}$ см$^2$.

Ответ: $405\sqrt{3}$ см$^2$.

в) полную поверхность пирамиды.

Площадь полной поверхности пирамиды равна сумме площади боковой поверхности и площади основания:
$S_{полн} = S_{бок} + S_{осн}$

1. Найдем площадь основания $S_{осн}$. Основание — правильный треугольник со стороной $a = 18\sqrt{3}$ см. Его площадь вычисляется по формуле:
$S_{осн} = \frac{a^2\sqrt{3}}{4}$
$S_{осн} = \frac{(18\sqrt{3})^2\sqrt{3}}{4} = \frac{18^2 \cdot (\sqrt{3})^2 \cdot \sqrt{3}}{4} = \frac{324 \cdot 3 \cdot \sqrt{3}}{4} = 81 \cdot 3\sqrt{3} = 243\sqrt{3}$ см$^2$.

2. Вычислим площадь полной поверхности:
$S_{полн} = 405\sqrt{3} + 243\sqrt{3} = (405 + 243)\sqrt{3} = 648\sqrt{3}$ см$^2$.

Ответ: $648\sqrt{3}$ см$^2$.

Помогло решение? Оставьте отзыв в комментариях ниже.

Присоединяйтесь к Телеграм-группе @gdz_by_belarus

Присоединиться

Мы подготовили для вас ответ c подробным объяснением домашего задания по геометрии за 10 класс, для упражнения номер 12 расположенного на странице 17 к учебнику 2020 года издания для учащихся школ и гимназий.

Теперь на нашем сайте ГДЗ.ТОП вы всегда легко и бесплатно найдёте условие с правильным ответом на вопрос «Как решить ДЗ» и «Как сделать» задание по геометрии к упражнению №12 (с. 17), авторов: Латотин (Леонид Александрович), Чеботаревский (Борис Дмитриевич), Горбунова (Ирина Владимировна), базовый и повышенный уровень обучения учебного пособия издательства Адукацыя i выхаванне.