Номер 17, страница 17 - гдз по геометрии 10 класс учебник Латотин, Чеботаревский

Геометрия, 10 класс Учебник, авторы: Латотин Леонид Александрович, Чеботаревский Борис Дмитриевич, Горбунова Ирина Владимировна, издательство Адукацыя i выхаванне, Минск, 2020, белого цвета

Авторы: Латотин Л. А., Чеботаревский Б. Д., Горбунова И. В.

Тип: Учебник

Издательство: Адукацыя i выхаванне

Год издания: 2020 - 2025

Уровень обучения: базовый и повышенный

Цвет обложки: белый в клеточку

Допущено Министерством образования Республики Беларусь

Популярные ГДЗ в 10 классе

Раздел 1. Введение в стериометрию. Параграф 1. Пространственные фигуры. Задания - номер 17, страница 17.

№17 (с. 17)
Условие. №17 (с. 17)
скриншот условия
Геометрия, 10 класс Учебник, авторы: Латотин Леонид Александрович, Чеботаревский Борис Дмитриевич, Горбунова Ирина Владимировна, издательство Адукацыя i выхаванне, Минск, 2020, белого цвета, страница 17, номер 17, Условие

17. Основанием пирамиды $REFGH$ является параллелограмм $EFGH$ со сторонами 10 см, 18 см и площадью 90 $см^2$. Отрезок, соединяющий вершину $R$ пирамиды с точкой $O$ пересечения диагоналей основания, перпендикулярен этим диагоналям и равен 6 см. Найдите:

а) боковые рёбра пирамиды;

б) боковую поверхность пирамиды;

в) полную поверхность пирамиды.

Решение 1. №17 (с. 17)
Геометрия, 10 класс Учебник, авторы: Латотин Леонид Александрович, Чеботаревский Борис Дмитриевич, Горбунова Ирина Владимировна, издательство Адукацыя i выхаванне, Минск, 2020, белого цвета, страница 17, номер 17, Решение 1 Геометрия, 10 класс Учебник, авторы: Латотин Леонид Александрович, Чеботаревский Борис Дмитриевич, Горбунова Ирина Владимировна, издательство Адукацыя i выхаванне, Минск, 2020, белого цвета, страница 17, номер 17, Решение 1 (продолжение 2)
Решение 2. №17 (с. 17)
Геометрия, 10 класс Учебник, авторы: Латотин Леонид Александрович, Чеботаревский Борис Дмитриевич, Горбунова Ирина Владимировна, издательство Адукацыя i выхаванне, Минск, 2020, белого цвета, страница 17, номер 17, Решение 2 Геометрия, 10 класс Учебник, авторы: Латотин Леонид Александрович, Чеботаревский Борис Дмитриевич, Горбунова Ирина Владимировна, издательство Адукацыя i выхаванне, Минск, 2020, белого цвета, страница 17, номер 17, Решение 2 (продолжение 2)
Решение 3. №17 (с. 17)

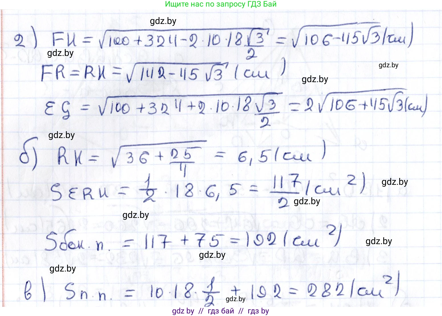
а) боковые рёбра пирамиды

По условию, отрезок $RO$, соединяющий вершину пирамиды $R$ с точкой пересечения диагоналей основания $O$, перпендикулярен этим диагоналям. Это означает, что $RO$ является высотой пирамиды, и её длина $h = RO = 6$ см. Боковые рёбра пирамиды $RE, RF, RG, RH$ являются гипотенузами прямоугольных треугольников $ΔROE, ΔROF, ΔROG, ΔROH$ соответственно. Катетами в этих треугольниках служат высота пирамиды $RO$ и половины диагоналей основания $OE, OF, OG, OH$.

Так как диагонали параллелограмма в точке пересечения делятся пополам, то $OE = OG = \frac{1}{2}EG$ и $OF = OH = \frac{1}{2}FH$. Из этого следует, что боковые рёбра попарно равны: $RE = RG$ и $RF = RH$. Для нахождения их длин необходимо найти длины диагоналей параллелограмма $EG$ и $FH$.

Обозначим стороны параллелограмма $a = EF = 10$ см и $b = FG = 18$ см, а угол между ними — $\alpha$. Площадь параллелограмма вычисляется по формуле $S = a \cdot b \cdot \sin \alpha$.
$90 = 10 \cdot 18 \cdot \sin \alpha$
$\sin \alpha = \frac{90}{180} = \frac{1}{2}$
Зная синус угла, найдём его косинус: $\cos \alpha = \pm\sqrt{1 - \sin^2 \alpha} = \pm\sqrt{1 - (\frac{1}{2})^2} = \pm\frac{\sqrt{3}}{2}$.

Теперь по теореме косинусов найдём квадраты длин диагоналей $d_1 = EG$ и $d_2 = FH$. Одна диагональ лежит против острого угла $\alpha$, другая — против тупого угла $180^\circ - \alpha$.
$d_1^2 = a^2 + b^2 - 2ab \cos(180^\circ - \alpha) = a^2 + b^2 + 2ab \cos\alpha$
$d_2^2 = a^2 + b^2 - 2ab \cos\alpha$
Подставим значения, выбрав, например, $\cos\alpha = \frac{\sqrt{3}}{2}$:
$d_1^2 = 10^2 + 18^2 + 2 \cdot 10 \cdot 18 \cdot \frac{\sqrt{3}}{2} = 100 + 324 + 180\sqrt{3} = 424 + 180\sqrt{3}$.
$d_2^2 = 10^2 + 18^2 - 2 \cdot 10 \cdot 18 \cdot \frac{\sqrt{3}}{2} = 100 + 324 - 180\sqrt{3} = 424 - 180\sqrt{3}$.

Теперь найдём квадраты длин половин диагоналей:
$OE^2 = OG^2 = \frac{d_1^2}{4} = \frac{424 + 180\sqrt{3}}{4} = 106 + 45\sqrt{3}$ см².
$OF^2 = OH^2 = \frac{d_2^2}{4} = \frac{424 - 180\sqrt{3}}{4} = 106 - 45\sqrt{3}$ см².

Наконец, по теореме Пифагора находим квадраты боковых рёбер:
$RE^2 = RG^2 = RO^2 + OE^2 = 6^2 + (106 + 45\sqrt{3}) = 36 + 106 + 45\sqrt{3} = 142 + 45\sqrt{3}$.
$RF^2 = RH^2 = RO^2 + OF^2 = 6^2 + (106 - 45\sqrt{3}) = 36 + 106 - 45\sqrt{3} = 142 - 45\sqrt{3}$.
Отсюда длины боковых рёбер равны:
$RE = RG = \sqrt{142 + 45\sqrt{3}}$ см.
$RF = RH = \sqrt{142 - 45\sqrt{3}}$ см.

Ответ: два боковых ребра равны $\sqrt{142 + 45\sqrt{3}}$ см, два других равны $\sqrt{142 - 45\sqrt{3}}$ см.

б) боковую поверхность пирамиды

Боковая поверхность пирамиды $S_{бок}$ — это сумма площадей четырёх треугольных граней: $S_{REF}, S_{RFG}, S_{RGH}$ и $S_{RHE}$. Так как основание — параллелограмм, а высота пирамиды опущена в центр его симметрии (точку пересечения диагоналей), то площади противолежащих боковых граней равны: $S_{REF} = S_{RGH}$ и $S_{RFG} = S_{RHE}$. Таким образом, $S_{бок} = 2 \cdot S_{REF} + 2 \cdot S_{RFG}$.

Для нахождения площади грани $REF$ нужна её высота (апофема), проведённая из вершины $R$ к стороне основания $EF$. Опустим из точки $O$ перпендикуляр $OK$ на сторону $EF$. По теореме о трёх перпендикулярах, отрезок $RK$ будет перпендикулярен стороне $EF$, то есть $RK$ — апофема грани $REF$. Длина $OK$ равна половине высоты параллелограмма $h_{EF}$, проведённой к стороне $EF$.

Найдём высоту $h_{EF}$ из формулы площади основания:
$S_{осн} = EF \cdot h_{EF} \implies 90 = 10 \cdot h_{EF} \implies h_{EF} = 9$ см.
Тогда $OK = \frac{1}{2} h_{EF} = \frac{9}{2} = 4.5$ см.

Из прямоугольного треугольника $ROK$ по теореме Пифагора находим апофему $RK$:
$RK = \sqrt{RO^2 + OK^2} = \sqrt{6^2 + 4.5^2} = \sqrt{36 + 20.25} = \sqrt{56.25} = 7.5$ см.

Площадь грани $REF$ равна:
$S_{REF} = \frac{1}{2} \cdot EF \cdot RK = \frac{1}{2} \cdot 10 \cdot 7.5 = 37.5$ см².

Аналогично найдём площадь грани $RFG$. Апофема $RL$ к стороне $FG$ находится из прямоугольного треугольника $ROL$, где $OL \perp FG$. Длина $OL$ равна половине высоты параллелограмма $h_{FG}$, проведённой к стороне $FG$.
$S_{осн} = FG \cdot h_{FG} \implies 90 = 18 \cdot h_{FG} \implies h_{FG} = 5$ см.
Тогда $OL = \frac{1}{2} h_{FG} = \frac{5}{2} = 2.5$ см.

Находим апофему $RL$:
$RL = \sqrt{RO^2 + OL^2} = \sqrt{6^2 + 2.5^2} = \sqrt{36 + 6.25} = \sqrt{42.25} = 6.5$ см.

Площадь грани $RFG$ равна:
$S_{RFG} = \frac{1}{2} \cdot FG \cdot RL = \frac{1}{2} \cdot 18 \cdot 6.5 = 9 \cdot 6.5 = 58.5$ см².

Теперь находим площадь боковой поверхности:
$S_{бок} = 2 \cdot S_{REF} + 2 \cdot S_{RFG} = 2 \cdot 37.5 + 2 \cdot 58.5 = 75 + 117 = 192$ см².

Ответ: $192$ см².

в) полную поверхность пирамиды

Полная поверхность пирамиды $S_{полн}$ равна сумме площади боковой поверхности и площади основания.

$S_{полн} = S_{бок} + S_{осн}$

Из условия задачи, площадь основания $S_{осн} = 90$ см². Из пункта б) мы нашли, что площадь боковой поверхности $S_{бок} = 192$ см².

Следовательно, полная поверхность пирамиды равна:
$S_{полн} = 192 + 90 = 282$ см².

Ответ: $282$ см².

Помогло решение? Оставьте отзыв в комментариях ниже.

Присоединяйтесь к Телеграм-группе @gdz_by_belarus

Присоединиться

Мы подготовили для вас ответ c подробным объяснением домашего задания по геометрии за 10 класс, для упражнения номер 17 расположенного на странице 17 к учебнику 2020 года издания для учащихся школ и гимназий.

Теперь на нашем сайте ГДЗ.ТОП вы всегда легко и бесплатно найдёте условие с правильным ответом на вопрос «Как решить ДЗ» и «Как сделать» задание по геометрии к упражнению №17 (с. 17), авторов: Латотин (Леонид Александрович), Чеботаревский (Борис Дмитриевич), Горбунова (Ирина Владимировна), базовый и повышенный уровень обучения учебного пособия издательства Адукацыя i выхаванне.