Номер 366, страница 139 - гдз по геометрии 10 класс учебник Латотин, Чеботаревский

Геометрия, 10 класс Учебник, авторы: Латотин Леонид Александрович, Чеботаревский Борис Дмитриевич, Горбунова Ирина Владимировна, издательство Адукацыя i выхаванне, Минск, 2020, белого цвета

Авторы: Латотин Л. А., Чеботаревский Б. Д., Горбунова И. В.

Тип: Учебник

Издательство: Адукацыя i выхаванне

Год издания: 2020 - 2025

Уровень обучения: базовый и повышенный

Цвет обложки: белый в клеточку

Допущено Министерством образования Республики Беларусь

Популярные ГДЗ в 10 классе

Раздел 4. Координаты и векторы в пространстве. Параграф 11. Координаты в пространстве. Задания - номер 366, страница 139.

№366 (с. 139)
Условие. №366 (с. 139)
скриншот условия
Геометрия, 10 класс Учебник, авторы: Латотин Леонид Александрович, Чеботаревский Борис Дмитриевич, Горбунова Ирина Владимировна, издательство Адукацыя i выхаванне, Минск, 2020, белого цвета, страница 139, номер 366, Условие

366. Куб с ребром $a$ расположен так, что три его ребра находятся на осях координат. Найдите координаты его вершин, учитывая, что:

а) они все неотрицательны;

б) они все неположительны;

в) абсциссы и ординаты неотрицательны, а аппликаты неположительны;

г) абсциссы и ординаты неположительны, а аппликаты неотрицательны;

д) абсциссы и аппликаты неотрицательны, а ординаты неположительны;

е) абсциссы и аппликаты неположительны, а ординаты неотрицательны;

ж) ординаты и аппликаты неотрицательны, а абсциссы неположительны;

з) ординаты и аппликаты неположительны, а абсциссы неотрицательны.

Решение 2. №366 (с. 139)
Геометрия, 10 класс Учебник, авторы: Латотин Леонид Александрович, Чеботаревский Борис Дмитриевич, Горбунова Ирина Владимировна, издательство Адукацыя i выхаванне, Минск, 2020, белого цвета, страница 139, номер 366, Решение 2
Решение 3. №366 (с. 139)

По условию, куб с ребром $a$ расположен так, что три его ребра находятся на осях координат. Это означает, что одна из вершин куба совпадает с началом координат $O(0, 0, 0)$, а три ребра, выходящие из этой вершины, лежат на осях $Ox$, $Oy$ и $Oz$.

Вершины такого куба всегда будут иметь координаты, являющиеся комбинациями значений $0$, $a$ и $-a$. Всего у куба 8 вершин. В каждом конкретном случае знаки координат определяются условием расположения куба в том или ином октанте (части пространства, ограниченной координатными плоскостями).

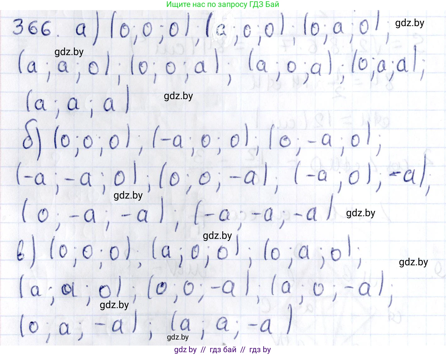
а) Условие: все координаты неотрицательны. Это означает, что $x \ge 0$, $y \ge 0$, $z \ge 0$. Куб находится в первом октанте. Координаты его вершин образуются из чисел $0$ и $a$.
Вершины куба:
Одна вершина в начале координат: $(0, 0, 0)$.
Три вершины на осях координат: $(a, 0, 0)$, $(0, a, 0)$, $(0, 0, a)$.
Три вершины на координатных плоскостях: $(a, a, 0)$, $(a, 0, a)$, $(0, a, a)$.
Одна вершина, противоположная началу координат: $(a, a, a)$.
Ответ: $(0, 0, 0)$, $(a, 0, 0)$, $(0, a, 0)$, $(0, 0, a)$, $(a, a, 0)$, $(a, 0, a)$, $(0, a, a)$, $(a, a, a)$.

б) Условие: все координаты неположительны. Это означает, что $x \le 0$, $y \le 0$, $z \le 0$. Координаты его вершин образуются из чисел $0$ и $-a$.
Ответ: $(0, 0, 0)$, $(-a, 0, 0)$, $(0, -a, 0)$, $(0, 0, -a)$, $(-a, -a, 0)$, $(-a, 0, -a)$, $(0, -a, -a)$, $(-a, -a, -a)$.

в) Условие: абсциссы и ординаты неотрицательны ($x \ge 0, y \ge 0$), а аппликаты неположительны ($z \le 0$). Координаты вершин образуются из чисел $0$, $a$ (для $x$ и $y$) и $-a$ (для $z$).
Ответ: $(0, 0, 0)$, $(a, 0, 0)$, $(0, a, 0)$, $(0, 0, -a)$, $(a, a, 0)$, $(a, 0, -a)$, $(0, a, -a)$, $(a, a, -a)$.

г) Условие: абсциссы и ординаты неположительны ($x \le 0, y \le 0$), а аппликаты неотрицательны ($z \ge 0$). Координаты вершин образуются из чисел $0$, $-a$ (для $x$ и $y$) и $a$ (для $z$).
Ответ: $(0, 0, 0)$, $(-a, 0, 0)$, $(0, -a, 0)$, $(0, 0, a)$, $(-a, -a, 0)$, $(-a, 0, a)$, $(0, -a, a)$, $(-a, -a, a)$.

д) Условие: абсциссы и аппликаты неотрицательны ($x \ge 0, z \ge 0$), а ординаты неположительны ($y \le 0$). Координаты вершин образуются из чисел $0$, $a$ (для $x$ и $z$) и $-a$ (для $y$).
Ответ: $(0, 0, 0)$, $(a, 0, 0)$, $(0, -a, 0)$, $(0, 0, a)$, $(a, -a, 0)$, $(a, 0, a)$, $(0, -a, a)$, $(a, -a, a)$.

е) Условие: абсциссы и аппликаты неположительны ($x \le 0, z \le 0$), а ординаты неотрицательны ($y \ge 0$). Координаты вершин образуются из чисел $0$, $-a$ (для $x$ и $z$) и $a$ (для $y$).
Ответ: $(0, 0, 0)$, $(-a, 0, 0)$, $(0, a, 0)$, $(0, 0, -a)$, $(-a, a, 0)$, $(-a, 0, -a)$, $(0, a, -a)$, $(-a, a, -a)$.

ж) Условие: ординаты и аппликаты неотрицательны ($y \ge 0, z \ge 0$), а абсциссы неположительны ($x \le 0$). Координаты вершин образуются из чисел $0$, $a$ (для $y$ и $z$) и $-a$ (для $x$).
Ответ: $(0, 0, 0)$, $(-a, 0, 0)$, $(0, a, 0)$, $(0, 0, a)$, $(-a, a, 0)$, $(-a, 0, a)$, $(0, a, a)$, $(-a, a, a)$.

з) Условие: ординаты и аппликаты неположительны ($y \le 0, z \le 0$), а абсциссы неотрицательны ($x \ge 0$). Координаты вершин образуются из чисел $0$, $-a$ (для $y$ и $z$) и $a$ (для $x$).
Ответ: $(0, 0, 0)$, $(a, 0, 0)$, $(0, -a, 0)$, $(0, 0, -a)$, $(a, -a, 0)$, $(a, 0, -a)$, $(0, -a, -a)$, $(a, -a, -a)$.

Помогло решение? Оставьте отзыв в комментариях ниже.

Присоединяйтесь к Телеграм-группе @gdz_by_belarus

Присоединиться

Мы подготовили для вас ответ c подробным объяснением домашего задания по геометрии за 10 класс, для упражнения номер 366 расположенного на странице 139 к учебнику 2020 года издания для учащихся школ и гимназий.

Теперь на нашем сайте ГДЗ.ТОП вы всегда легко и бесплатно найдёте условие с правильным ответом на вопрос «Как решить ДЗ» и «Как сделать» задание по геометрии к упражнению №366 (с. 139), авторов: Латотин (Леонид Александрович), Чеботаревский (Борис Дмитриевич), Горбунова (Ирина Владимировна), базовый и повышенный уровень обучения учебного пособия издательства Адукацыя i выхаванне.