Номер 372, страница 139 - гдз по геометрии 10 класс учебник Латотин, Чеботаревский

Геометрия, 10 класс Учебник, авторы: Латотин Леонид Александрович, Чеботаревский Борис Дмитриевич, Горбунова Ирина Владимировна, издательство Адукацыя i выхаванне, Минск, 2020, белого цвета

Авторы: Латотин Л. А., Чеботаревский Б. Д., Горбунова И. В.

Тип: Учебник

Издательство: Адукацыя i выхаванне

Год издания: 2020 - 2025

Уровень обучения: базовый и повышенный

Цвет обложки: белый в клеточку

Допущено Министерством образования Республики Беларусь

Популярные ГДЗ в 10 классе

Раздел 4. Координаты и векторы в пространстве. Параграф 11. Координаты в пространстве. Задания - номер 372, страница 139.

№372 (с. 139)
Условие. №372 (с. 139)
скриншот условия
Геометрия, 10 класс Учебник, авторы: Латотин Леонид Александрович, Чеботаревский Борис Дмитриевич, Горбунова Ирина Владимировна, издательство Адукацыя i выхаванне, Минск, 2020, белого цвета, страница 139, номер 372, Условие

372. Определите, является ли ромбом четырёхугольник $ABCD$, если:

а) $A(4; 2; 1)$, $B(3; 6; 7)$, $C(0; 2; 5)$, $D(5; 6; 4);$

б) $A(-1; 2; 0)$, $B(0; 2; 5)$, $C(5; 6; 4)$ $D(4; 2; 1);$

в) $A(6; 5; 4)$, $B(-2; 3; -4)$, $C(4; 2; 1)$, $D(2; 1; 0).$

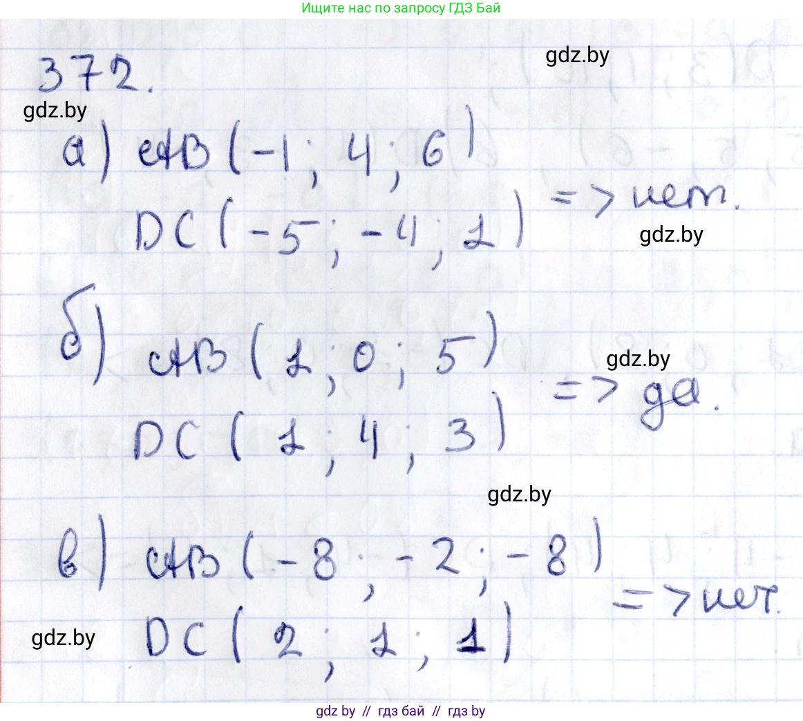
Решение 2. №372 (с. 139)
Геометрия, 10 класс Учебник, авторы: Латотин Леонид Александрович, Чеботаревский Борис Дмитриевич, Горбунова Ирина Владимировна, издательство Адукацыя i выхаванне, Минск, 2020, белого цвета, страница 139, номер 372, Решение 2
Решение 3. №372 (с. 139)

Для того чтобы определить, является ли четырёхугольник ромбом, необходимо вычислить длины всех его сторон. Четырёхугольник является ромбом тогда и только тогда, когда все его четыре стороны равны по длине.

Длину стороны между точками $P_1(x_1; y_1; z_1)$ и $P_2(x_2; y_2; z_2)$ в пространстве можно найти по формуле:

$d = \sqrt{(x_2-x_1)^2 + (y_2-y_1)^2 + (z_2-z_1)^2}$

Для удобства будем сравнивать квадраты длин сторон. Если квадраты длин равны, то и сами длины будут равны.

а) A(4; 2; 1), B(3; 6; 7), C(0; 2; 5), D(5; 6; 4)

Вычислим квадраты длин каждой стороны четырёхугольника ABCD:

$AB^2 = (3-4)^2 + (6-2)^2 + (7-1)^2 = (-1)^2 + 4^2 + 6^2 = 1 + 16 + 36 = 53$

$BC^2 = (0-3)^2 + (2-6)^2 + (5-7)^2 = (-3)^2 + (-4)^2 + (-2)^2 = 9 + 16 + 4 = 29$

$CD^2 = (5-0)^2 + (6-2)^2 + (4-5)^2 = 5^2 + 4^2 + (-1)^2 = 25 + 16 + 1 = 42$

$DA^2 = (4-5)^2 + (2-6)^2 + (1-4)^2 = (-1)^2 + (-4)^2 + (-3)^2 = 1 + 16 + 9 = 26$

Так как квадраты длин сторон не равны между собой ($53 \neq 29 \neq 42 \neq 26$), то и сами стороны не равны. Следовательно, четырёхугольник ABCD не является ромбом.

Ответ: не является.

б) A(-1; 2; 0), B(0; 2; 5), C(5; 6; 4), D(4; 2; 1)

Вычислим квадраты длин каждой стороны четырёхугольника ABCD:

$AB^2 = (0-(-1))^2 + (2-2)^2 + (5-0)^2 = 1^2 + 0^2 + 5^2 = 1 + 0 + 25 = 26$

$BC^2 = (5-0)^2 + (6-2)^2 + (4-5)^2 = 5^2 + 4^2 + (-1)^2 = 25 + 16 + 1 = 42$

$CD^2 = (4-5)^2 + (2-6)^2 + (1-4)^2 = (-1)^2 + (-4)^2 + (-3)^2 = 1 + 16 + 9 = 26$

$DA^2 = (-1-4)^2 + (2-2)^2 + (0-1)^2 = (-5)^2 + 0^2 + (-1)^2 = 25 + 0 + 1 = 26$

Сравнивая квадраты длин сторон, получаем: $AB^2 = 26$, $BC^2 = 42$, $CD^2 = 26$, $DA^2 = 26$. Так как $BC^2 \neq AB^2$, не все стороны четырёхугольника равны. Следовательно, четырёхугольник ABCD не является ромбом.

Ответ: не является.

в) A(6; 5; 4), B(-2; 3; -4), C(4; 2; 1), D(2; 1; 0)

Вычислим квадраты длин каждой стороны четырёхугольника ABCD:

$AB^2 = (-2-6)^2 + (3-5)^2 + (-4-4)^2 = (-8)^2 + (-2)^2 + (-8)^2 = 64 + 4 + 64 = 132$

$BC^2 = (4-(-2))^2 + (2-3)^2 + (1-(-4))^2 = 6^2 + (-1)^2 + 5^2 = 36 + 1 + 25 = 62$

$CD^2 = (2-4)^2 + (1-2)^2 + (0-1)^2 = (-2)^2 + (-1)^2 + (-1)^2 = 4 + 1 + 1 = 6$

$DA^2 = (6-2)^2 + (5-1)^2 + (4-0)^2 = 4^2 + 4^2 + 4^2 = 16 + 16 + 16 = 48$

Так как квадраты длин сторон не равны между собой ($132 \neq 62 \neq 6 \neq 48$), то и сами стороны не равны. Следовательно, четырёхугольник ABCD не является ромбом.

Ответ: не является.

Помогло решение? Оставьте отзыв в комментариях ниже.

Присоединяйтесь к Телеграм-группе @gdz_by_belarus

Присоединиться

Мы подготовили для вас ответ c подробным объяснением домашего задания по геометрии за 10 класс, для упражнения номер 372 расположенного на странице 139 к учебнику 2020 года издания для учащихся школ и гимназий.

Теперь на нашем сайте ГДЗ.ТОП вы всегда легко и бесплатно найдёте условие с правильным ответом на вопрос «Как решить ДЗ» и «Как сделать» задание по геометрии к упражнению №372 (с. 139), авторов: Латотин (Леонид Александрович), Чеботаревский (Борис Дмитриевич), Горбунова (Ирина Владимировна), базовый и повышенный уровень обучения учебного пособия издательства Адукацыя i выхаванне.