Номер 11, страница 42 - гдз по алгебре 11 класс сборник задач Арефьева, Пирютко

Алгебра, 11 класс Сборник задач, авторы: Арефьева Ирина Глебовна, Пирютко Ольга Николаевна, издательство Народная асвета, Минск, 2020, белого цвета

Авторы: Арефьева И. Г., Пирютко О. Н.

Тип: Сборник задач

Издательство: Народная асвета

Год издания: 2020 - 2025

Уровень обучения: базовый и повышенный

Цвет обложки: белый с графиком

Допущено Министерством образования Республики Беларусь

Популярные ГДЗ в 11 классе

Глава 2. Показательная функция. Параграф 6. Показательные неравенства - номер 11, страница 42.

№11 (с. 42)
Условие. №11 (с. 42)
скриншот условия
Алгебра, 11 класс Сборник задач, авторы: Арефьева Ирина Глебовна, Пирютко Ольга Николаевна, издательство Народная асвета, Минск, 2020, белого цвета, страница 42, номер 11, Условие

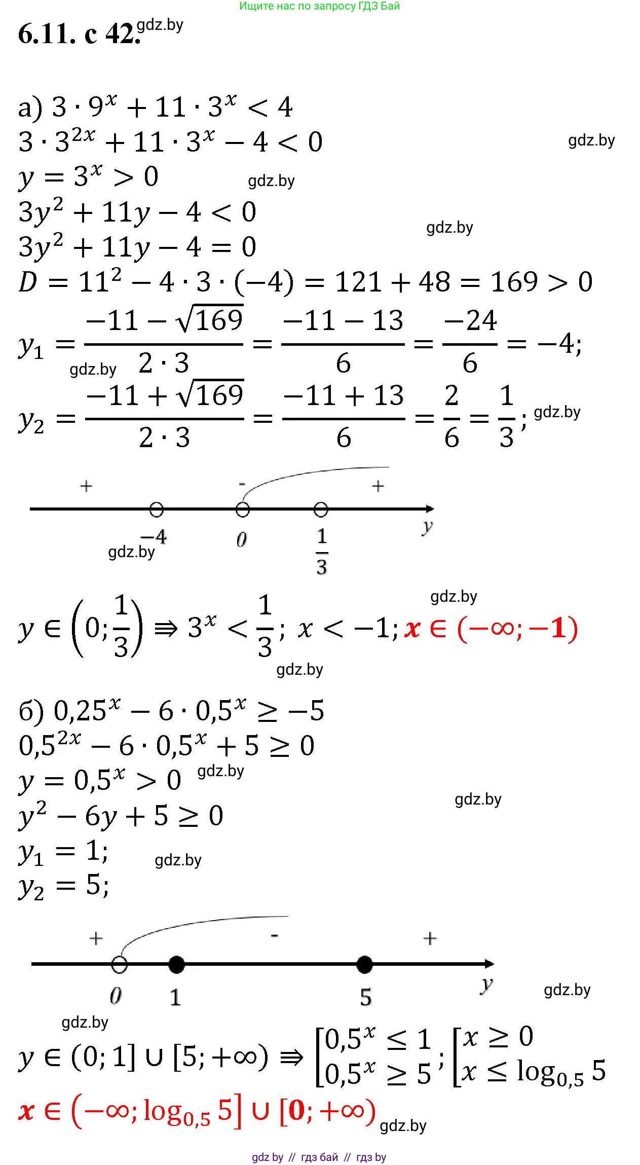
6.11. Решите неравенство:

а) $3 \cdot 9^x + 11 \cdot 3^x < 4$;

б) $0,25^x - 6 \cdot 0,5^x \ge -5$;

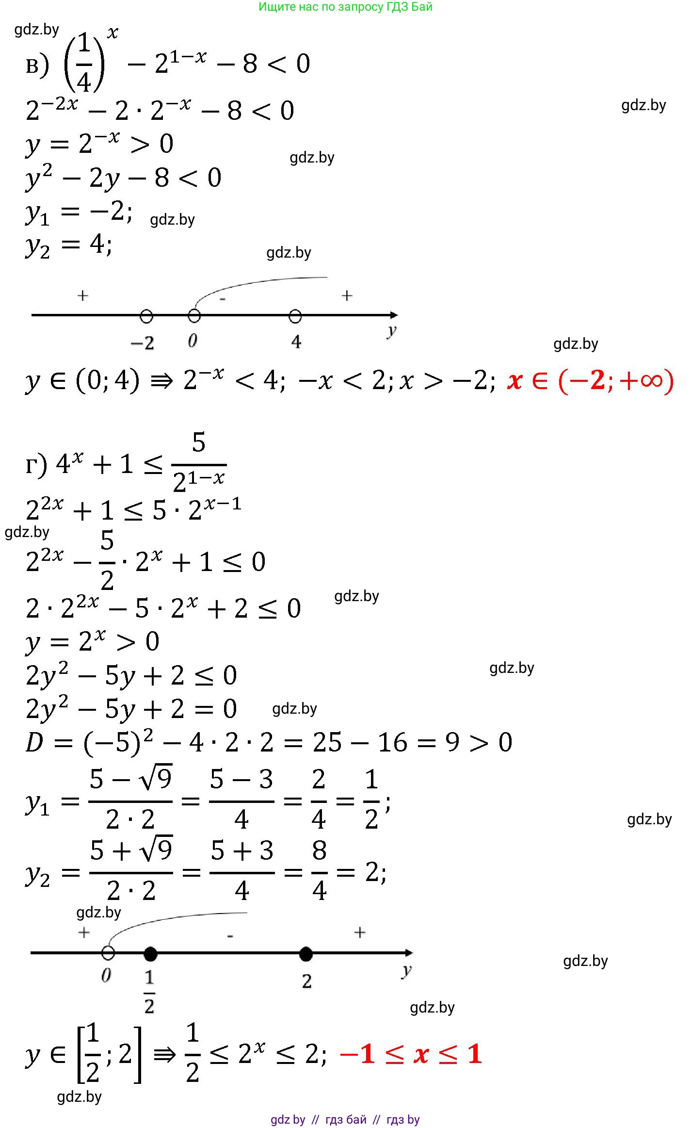
в) $(\frac{1}{4})^x - 2^{1-x} - 8 < 0$;

г) $4^x + 1 \le \frac{5}{2^{1-x}}$;

д) $4 \cdot 4^x - 33 \cdot 2^x + 8 < 0$;

е) $4^{x-3} + 0,25 \cdot 0,5^{-2x} > 34$.

Решение. №11 (с. 42)
Алгебра, 11 класс Сборник задач, авторы: Арефьева Ирина Глебовна, Пирютко Ольга Николаевна, издательство Народная асвета, Минск, 2020, белого цвета, страница 42, номер 11, Решение Алгебра, 11 класс Сборник задач, авторы: Арефьева Ирина Глебовна, Пирютко Ольга Николаевна, издательство Народная асвета, Минск, 2020, белого цвета, страница 42, номер 11, Решение (продолжение 2)
Решение 2. №11 (с. 42)

а) $3 \cdot 9^x + 11 \cdot 3^x < 4$

Перепишем неравенство, используя свойство степеней $9^x = (3^2)^x = (3^x)^2$:
$3 \cdot (3^x)^2 + 11 \cdot 3^x - 4 < 0$
Сделаем замену переменной. Пусть $t = 3^x$. Поскольку показательная функция всегда положительна, $t > 0$.
Получаем квадратное неравенство: $3t^2 + 11t - 4 < 0$.
Найдем корни квадратного трехчлена $3t^2 + 11t - 4 = 0$ с помощью дискриминанта:
$D = 11^2 - 4 \cdot 3 \cdot (-4) = 121 + 48 = 169 = 13^2$
$t_1 = \frac{-11 - 13}{2 \cdot 3} = -4$; $t_2 = \frac{-11 + 13}{2 \cdot 3} = \frac{2}{6} = \frac{1}{3}$.
Так как ветви параболы $y=3t^2 + 11t - 4$ направлены вверх, неравенство выполняется между корнями: $-4 < t < \frac{1}{3}$.
Учитывая ограничение $t > 0$, получаем $0 < t < \frac{1}{3}$.
Вернемся к исходной переменной: $0 < 3^x < \frac{1}{3}$.
Так как $ \frac{1}{3} = 3^{-1} $, имеем $3^x < 3^{-1}$.
Поскольку основание степени $3 > 1$, показательная функция возрастает, поэтому при переходе к сравнению показателей знак неравенства сохраняется: $x < -1$.
Ответ: $x \in (-\infty, -1)$.

б) $0,25^x - 6 \cdot 0,5^x \ge -5$

Перепишем неравенство, используя $0,25^x = (0,5^2)^x = (0,5^x)^2$ и перенесем все члены в левую часть:
$(0,5^x)^2 - 6 \cdot 0,5^x + 5 \ge 0$
Пусть $t = 0,5^x$, где $t > 0$.
$t^2 - 6t + 5 \ge 0$
Найдем корни уравнения $t^2 - 6t + 5 = 0$. По теореме Виета $t_1 = 1$, $t_2 = 5$.
Решением неравенства является объединение промежутков $t \le 1$ и $t \ge 5$.
Оба промежутка удовлетворяют условию $t>0$, поэтому получаем $0 < t \le 1$ или $t \ge 5$.
Выполним обратную замену:
1) $0,5^x \le 1 \implies 0,5^x \le 0,5^0$. Так как основание $0,5 < 1$, знак неравенства меняется: $x \ge 0$.
2) $0,5^x \ge 5 \implies (\frac{1}{2})^x \ge 5 \implies 2^{-x} \ge 5$. Логарифмируя по основанию 2, получаем $-x \ge \log_2 5$, откуда $x \le -\log_2 5$.
Ответ: $x \in (-\infty, -\log_2 5] \cup [0, +\infty)$.

в) $(\frac{1}{4})^x - 2^{1-x} - 8 < 0$

Преобразуем неравенство: $(\frac{1}{4})^x = (2^{-2})^x = 2^{-2x} = (2^{-x})^2$, а $2^{1-x} = 2^1 \cdot 2^{-x} = 2 \cdot 2^{-x}$.
$(2^{-x})^2 - 2 \cdot 2^{-x} - 8 < 0$
Пусть $t = 2^{-x}$, где $t > 0$.
$t^2 - 2t - 8 < 0$
Корни уравнения $t^2 - 2t - 8 = 0$: $t_1 = -2$, $t_2 = 4$.
Решение неравенства: $-2 < t < 4$.
С учетом $t > 0$ получаем $0 < t < 4$.
Обратная замена: $0 < 2^{-x} < 4 \implies 2^{-x} < 2^2$.
Так как основание $2 > 1$, то $-x < 2$, откуда $x > -2$.
Ответ: $x \in (-2, +\infty)$.

г) $4^x + 1 \le \frac{5}{2^{1-x}}$

Преобразуем неравенство: $4^x = (2^x)^2$ и $\frac{5}{2^{1-x}} = \frac{5}{2 \cdot 2^{-x}} = \frac{5 \cdot 2^x}{2}$.
$(2^x)^2 + 1 \le \frac{5}{2} \cdot 2^x$
Пусть $t = 2^x$, где $t > 0$.
$t^2 + 1 \le \frac{5}{2}t \implies 2t^2 - 5t + 2 \le 0$.
Корни уравнения $2t^2 - 5t + 2 = 0$: $t_1 = \frac{1}{2}$, $t_2 = 2$.
Решение неравенства: $\frac{1}{2} \le t \le 2$.
Данный интервал удовлетворяет условию $t > 0$.
Обратная замена: $\frac{1}{2} \le 2^x \le 2 \implies 2^{-1} \le 2^x \le 2^1$.
Так как основание $2 > 1$, то $-1 \le x \le 1$.
Ответ: $x \in [-1, 1]$.

д) $4 \cdot 4^x - 33 \cdot 2^x + 8 < 0$

Преобразуем $4^x = (2^x)^2$:
$4 \cdot (2^x)^2 - 33 \cdot 2^x + 8 < 0$
Пусть $t = 2^x$, где $t > 0$.
$4t^2 - 33t + 8 < 0$
Корни уравнения $4t^2 - 33t + 8 = 0$: $D = (-33)^2 - 4 \cdot 4 \cdot 8 = 1089 - 128 = 961 = 31^2$.
$t_1 = \frac{33 - 31}{8} = \frac{2}{8} = \frac{1}{4}$; $t_2 = \frac{33 + 31}{8} = \frac{64}{8} = 8$.
Решение неравенства: $\frac{1}{4} < t < 8$.
Обратная замена: $\frac{1}{4} < 2^x < 8 \implies 2^{-2} < 2^x < 2^3$.
Так как основание $2 > 1$, то $-2 < x < 3$.
Ответ: $x \in (-2, 3)$.

е) $4^{x-3} + 0,25 \cdot 0,5^{-2x} > 34$

Преобразуем слагаемые:
$4^{x-3} = 4^x \cdot 4^{-3} = \frac{4^x}{64}$.
$0,25 \cdot 0,5^{-2x} = \frac{1}{4} \cdot ((\frac{1}{2})^{-2})^x = \frac{1}{4} \cdot (4)^x = \frac{4^x}{4}$.
Неравенство принимает вид: $\frac{4^x}{64} + \frac{4^x}{4} > 34$.
Вынесем $4^x$ за скобки: $4^x (\frac{1}{64} + \frac{1}{4}) > 34 \implies 4^x (\frac{1+16}{64}) > 34 \implies 4^x \cdot \frac{17}{64} > 34$.
Разделим обе части на $\frac{17}{64}$: $4^x > 34 \cdot \frac{64}{17} \implies 4^x > 2 \cdot 64 \implies 4^x > 128$.
Приведем обе части к основанию 2: $(2^2)^x > 2^7 \implies 2^{2x} > 2^7$.
Так как основание $2 > 1$, то $2x > 7 \implies x > \frac{7}{2}$.
Выделим целую часть из неправильной дроби $\frac{7}{2} = 3\frac{1}{2}$.
Ответ: $x \in (3\frac{1}{2}, +\infty)$.

Помогло решение? Оставьте отзыв в комментариях ниже.

Присоединяйтесь к Телеграм-группе @gdz_by_belarus

Присоединиться

Мы подготовили для вас ответ c подробным объяснением домашего задания по алгебре за 11 класс, для упражнения номер 11 расположенного на странице 42 к сборнику задач 2020 года издания для учащихся школ и гимназий.

Теперь на нашем сайте ГДЗ.ТОП вы всегда легко и бесплатно найдёте условие с правильным ответом на вопрос «Как решить ДЗ» и «Как сделать» задание по алгебре к упражнению №11 (с. 42), авторов: Арефьева (Ирина Глебовна), Пирютко (Ольга Николаевна), базовый и повышенный уровень обучения учебного пособия издательства Народная асвета.