Номер 15, страница 43 - гдз по алгебре 11 класс сборник задач Арефьева, Пирютко

Алгебра, 11 класс Сборник задач, авторы: Арефьева Ирина Глебовна, Пирютко Ольга Николаевна, издательство Народная асвета, Минск, 2020, белого цвета

Авторы: Арефьева И. Г., Пирютко О. Н.

Тип: Сборник задач

Издательство: Народная асвета

Год издания: 2020 - 2025

Уровень обучения: базовый и повышенный

Цвет обложки: белый с графиком

Допущено Министерством образования Республики Беларусь

Популярные ГДЗ в 11 классе

Глава 2. Показательная функция. Параграф 6. Показательные неравенства - номер 15, страница 43.

№15 (с. 43)
Условие. №15 (с. 43)
скриншот условия
Алгебра, 11 класс Сборник задач, авторы: Арефьева Ирина Глебовна, Пирютко Ольга Николаевна, издательство Народная асвета, Минск, 2020, белого цвета, страница 43, номер 15, Условие

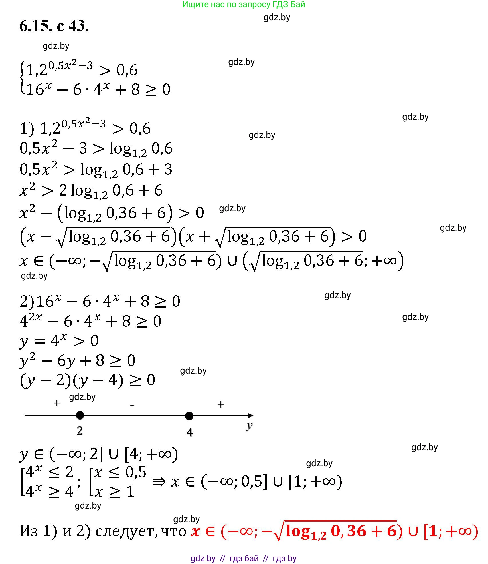
6.15. Решите систему неравенств

$ \begin{cases} 1.2^{0.5x^2-3} > 0.6, \\ 16^x - 6 \cdot 4^x + 8 \ge 0. \end{cases} $

Решение. №15 (с. 43)
Алгебра, 11 класс Сборник задач, авторы: Арефьева Ирина Глебовна, Пирютко Ольга Николаевна, издательство Народная асвета, Минск, 2020, белого цвета, страница 43, номер 15, Решение
Решение 2. №15 (с. 43)

Решим данную систему неравенств, состоящую из двух неравенств:

$$ \begin{cases} 1.2^{0.5x^2 - 3} > 0.6, \\ 16^x - 6 \cdot 4^x + 8 \ge 0. \end{cases} $$

Решим каждое неравенство по отдельности.

1. Решение первого неравенства $1.2^{0.5x^2 - 3} > 0.6$

Заметим, что правая часть неравенства $0.6$ не позволяет легко привести обе части к одному основанию $1.2$. В задачах такого типа это часто свидетельствует о опечатке. Наиболее вероятной заменой для $0.6$ является число $\frac{5}{6}$, так как $\frac{5}{6} = (\frac{6}{5})^{-1} = 1.2^{-1}$. Это позволяет решить неравенство стандартным методом. Решим задачу с этой поправкой.

Исходное неравенство (с исправлением):

$$1.2^{0.5x^2 - 3} > \frac{5}{6}$$

Заменим $\frac{5}{6}$ на $1.2^{-1}$:

$$1.2^{0.5x^2 - 3} > 1.2^{-1}$$

Так как основание степени $1.2 > 1$, показательная функция является возрастающей. Следовательно, при переходе к сравнению показателей знак неравенства сохраняется:

$$0.5x^2 - 3 > -1$$

Перенесем $-3$ в правую часть:

$$0.5x^2 > 2$$

Умножим обе части на 2:

$$x^2 > 4$$

Решением этого неравенства являются все $x$, модуль которых больше 2.

$$x \in (-\infty, -2) \cup (2, \infty)$$

Ответ: $x \in (-\infty, -2) \cup (2, \infty)$.

2. Решение второго неравенства $16^x - 6 \cdot 4^x + 8 \ge 0$

Представим $16^x$ как $(4^2)^x = (4^x)^2$. Неравенство принимает вид:

$$(4^x)^2 - 6 \cdot 4^x + 8 \ge 0$$

Сделаем замену переменной. Пусть $t = 4^x$. Так как $4^x > 0$ для любого $x$, то $t > 0$.

Получаем квадратное неравенство относительно $t$:

$$t^2 - 6t + 8 \ge 0$$

Найдем корни квадратного трехчлена $t^2 - 6t + 8 = 0$. По теореме Виета, сумма корней равна 6, а произведение равно 8. Корни легко находятся: $t_1 = 2$ и $t_2 = 4$.

Парабола $y = t^2 - 6t + 8$ ветвями вверх, поэтому неравенство $t^2 - 6t + 8 \ge 0$ выполняется при $t \le 2$ или $t \ge 4$.

Возвращаемся к переменной $x$:

а) $t \le 2 \implies 4^x \le 2$. Представим обе части с основанием 2:

$$(2^2)^x \le 2^1 \implies 2^{2x} \le 2^1$$

Так как основание $2 > 1$, то $2x \le 1 \implies x \le \frac{1}{2}$.

б) $t \ge 4 \implies 4^x \ge 4$. Представим 4 как $4^1$:

$$4^x \ge 4^1$$

Так как основание $4 > 1$, то $x \ge 1$.

Объединяя решения, получаем:

$$x \in (-\infty, \frac{1}{2}] \cup [1, \infty)$$

Ответ: $x \in (-\infty, \frac{1}{2}] \cup [1, \infty)$.

3. Нахождение решения системы неравенств

Теперь найдем пересечение множеств решений обоих неравенств:

Решение 1: $x \in (-\infty, -2) \cup (2, \infty)$

Решение 2: $x \in (-\infty, \frac{1}{2}] \cup [1, \infty)$

Для нахождения пересечения удобно использовать числовую ось. Отметим на ней точки $-2$, $\frac{1}{2}$, $1$, $2$.

Пересечение интервала $(-\infty, -2)$ с множеством $(-\infty, \frac{1}{2}] \cup [1, \infty)$ дает интервал $(-\infty, -2)$.

Пересечение интервала $(2, \infty)$ с множеством $(-\infty, \frac{1}{2}] \cup [1, \infty)$ дает интервал $(2, \infty)$.

Объединяя полученные результаты, получаем итоговое решение системы.

Ответ: $x \in (-\infty, -2) \cup (2, \infty)$.

Помогло решение? Оставьте отзыв в комментариях ниже.

Присоединяйтесь к Телеграм-группе @gdz_by_belarus

Присоединиться

Мы подготовили для вас ответ c подробным объяснением домашего задания по алгебре за 11 класс, для упражнения номер 15 расположенного на странице 43 к сборнику задач 2020 года издания для учащихся школ и гимназий.

Теперь на нашем сайте ГДЗ.ТОП вы всегда легко и бесплатно найдёте условие с правильным ответом на вопрос «Как решить ДЗ» и «Как сделать» задание по алгебре к упражнению №15 (с. 43), авторов: Арефьева (Ирина Глебовна), Пирютко (Ольга Николаевна), базовый и повышенный уровень обучения учебного пособия издательства Народная асвета.