Номер 29, страница 44 - гдз по алгебре 11 класс сборник задач Арефьева, Пирютко

Алгебра, 11 класс Сборник задач, авторы: Арефьева Ирина Глебовна, Пирютко Ольга Николаевна, издательство Народная асвета, Минск, 2020, белого цвета

Авторы: Арефьева И. Г., Пирютко О. Н.

Тип: Сборник задач

Издательство: Народная асвета

Год издания: 2020 - 2025

Уровень обучения: базовый и повышенный

Цвет обложки: белый с графиком

Допущено Министерством образования Республики Беларусь

Популярные ГДЗ в 11 классе

Глава 2. Показательная функция. Параграф 6. Показательные неравенства - номер 29, страница 44.

№29 (с. 44)
Условие. №29 (с. 44)
скриншот условия
Алгебра, 11 класс Сборник задач, авторы: Арефьева Ирина Глебовна, Пирютко Ольга Николаевна, издательство Народная асвета, Минск, 2020, белого цвета, страница 44, номер 29, Условие

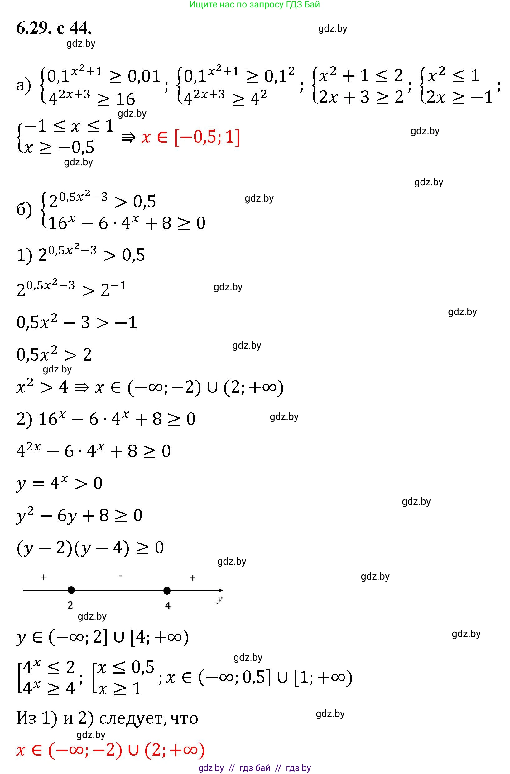
6.29. Решите систему неравенств:

a) $\begin{cases} 0,1^{x^2+1} \ge 0,01, \\ 4^{2x+3} \ge 16; \end{cases}$

б) $\begin{cases} 2^{0,5x^2-3} > 0,5, \\ 16^x - 6 \cdot 4^x + 8 \ge 0. \end{cases}$

Решение. №29 (с. 44)
Алгебра, 11 класс Сборник задач, авторы: Арефьева Ирина Глебовна, Пирютко Ольга Николаевна, издательство Народная асвета, Минск, 2020, белого цвета, страница 44, номер 29, Решение
Решение 2. №29 (с. 44)

a) Решим систему неравенств:

$$ \begin{cases} 0,1^{x^2+1} \ge 0,01, \\ 4^{2x+3} \ge 16; \end{cases} $$

1. Решим первое неравенство: $0,1^{x^2+1} \ge 0,01$.

Представим обе части неравенства в виде степени с основанием 0,1. Поскольку $0,01 = (0,1)^2$, получаем:

$$ 0,1^{x^2+1} \ge 0,1^2 $$

Так как основание степени $0,1 < 1$, при переходе от степеней к их показателям знак неравенства меняется на противоположный:

$$ x^2+1 \le 2 $$ $$ x^2 - 1 \le 0 $$ $$ (x-1)(x+1) \le 0 $$

Решением данного квадратного неравенства является отрезок $x \in [-1, 1]$.

2. Решим второе неравенство: $4^{2x+3} \ge 16$.

Представим обе части неравенства в виде степени с основанием 4. Поскольку $16 = 4^2$, получаем:

$$ 4^{2x+3} \ge 4^2 $$

Так как основание степени $4 > 1$, при переходе от степеней к их показателям знак неравенства сохраняется:

$$ 2x+3 \ge 2 $$ $$ 2x \ge 2-3 $$ $$ 2x \ge -1 $$ $$ x \ge -\frac{1}{2} $$

Решением данного линейного неравенства является промежуток $x \in [-\frac{1}{2}, +\infty)$.

3. Найдём пересечение решений обоих неравенств, чтобы найти решение системы.

Решение первого неравенства: $x \in [-1, 1]$.

Решение второго неравенства: $x \in [-\frac{1}{2}, +\infty)$.

Пересечением этих множеств является отрезок $x \in [-\frac{1}{2}, 1]$.

Ответ: $x \in [-\frac{1}{2}, 1]$.


б) Решим систему неравенств:

$$ \begin{cases} 2^{0,5x^2-3} > 0,5, \\ 16^x - 6 \cdot 4^x + 8 \ge 0. \end{cases} $$

1. Решим первое неравенство: $2^{0,5x^2-3} > 0,5$.

Представим обе части неравенства в виде степени с основанием 2. Поскольку $0,5 = \frac{1}{2} = 2^{-1}$, получаем:

$$ 2^{0,5x^2-3} > 2^{-1} $$

Так как основание степени $2 > 1$, при переходе от степеней к их показателям знак неравенства сохраняется:

$$ 0,5x^2-3 > -1 $$ $$ 0,5x^2 > 2 $$ $$ x^2 > 4 $$

Решением этого неравенства является объединение интервалов $x \in (-\infty, -2) \cup (2, +\infty)$.

2. Решим второе неравенство: $16^x - 6 \cdot 4^x + 8 \ge 0$.

Заметим, что $16^x = (4^2)^x = (4^x)^2$. Сделаем замену переменной $t = 4^x$. Так как показательная функция всегда положительна, $t > 0$. Неравенство принимает вид:

$$ t^2 - 6t + 8 \ge 0 $$

Найдем корни квадратного трехчлена $t^2 - 6t + 8 = 0$. По теореме Виета, $t_1 = 2$, $t_2 = 4$.

Неравенство можно переписать в виде $(t-2)(t-4) \ge 0$. Решением является $t \le 2$ или $t \ge 4$.

Выполним обратную замену:

а) $4^x \le 2 \implies (2^2)^x \le 2^1 \implies 2^{2x} \le 2^1 \implies 2x \le 1 \implies x \le \frac{1}{2}$.

б) $4^x \ge 4 \implies 4^x \ge 4^1 \implies x \ge 1$.

Таким образом, решением второго неравенства является объединение промежутков $x \in (-\infty, \frac{1}{2}] \cup [1, +\infty)$.

3. Найдём пересечение решений обоих неравенств.

Решение первого неравенства: $x \in (-\infty, -2) \cup (2, +\infty)$.

Решение второго неравенства: $x \in (-\infty, \frac{1}{2}] \cup [1, +\infty)$.

Пересекая эти множества, получаем: $x \in (-\infty, -2) \cup (2, +\infty)$.

Ответ: $x \in (-\infty, -2) \cup (2, +\infty)$.

Помогло решение? Оставьте отзыв в комментариях ниже.

Присоединяйтесь к Телеграм-группе @gdz_by_belarus

Присоединиться

Мы подготовили для вас ответ c подробным объяснением домашего задания по алгебре за 11 класс, для упражнения номер 29 расположенного на странице 44 к сборнику задач 2020 года издания для учащихся школ и гимназий.

Теперь на нашем сайте ГДЗ.ТОП вы всегда легко и бесплатно найдёте условие с правильным ответом на вопрос «Как решить ДЗ» и «Как сделать» задание по алгебре к упражнению №29 (с. 44), авторов: Арефьева (Ирина Глебовна), Пирютко (Ольга Николаевна), базовый и повышенный уровень обучения учебного пособия издательства Народная асвета.