Номер 34, страница 44 - гдз по алгебре 11 класс сборник задач Арефьева, Пирютко

Алгебра, 11 класс Сборник задач, авторы: Арефьева Ирина Глебовна, Пирютко Ольга Николаевна, издательство Народная асвета, Минск, 2020, белого цвета

Авторы: Арефьева И. Г., Пирютко О. Н.

Тип: Сборник задач

Издательство: Народная асвета

Год издания: 2020 - 2025

Уровень обучения: базовый и повышенный

Цвет обложки: белый с графиком

Допущено Министерством образования Республики Беларусь

Популярные ГДЗ в 11 классе

Глава 2. Показательная функция. Параграф 6. Показательные неравенства - номер 34, страница 44.

№34 (с. 44)
Условие. №34 (с. 44)
скриншот условия
Алгебра, 11 класс Сборник задач, авторы: Арефьева Ирина Глебовна, Пирютко Ольга Николаевна, издательство Народная асвета, Минск, 2020, белого цвета, страница 44, номер 34, Условие

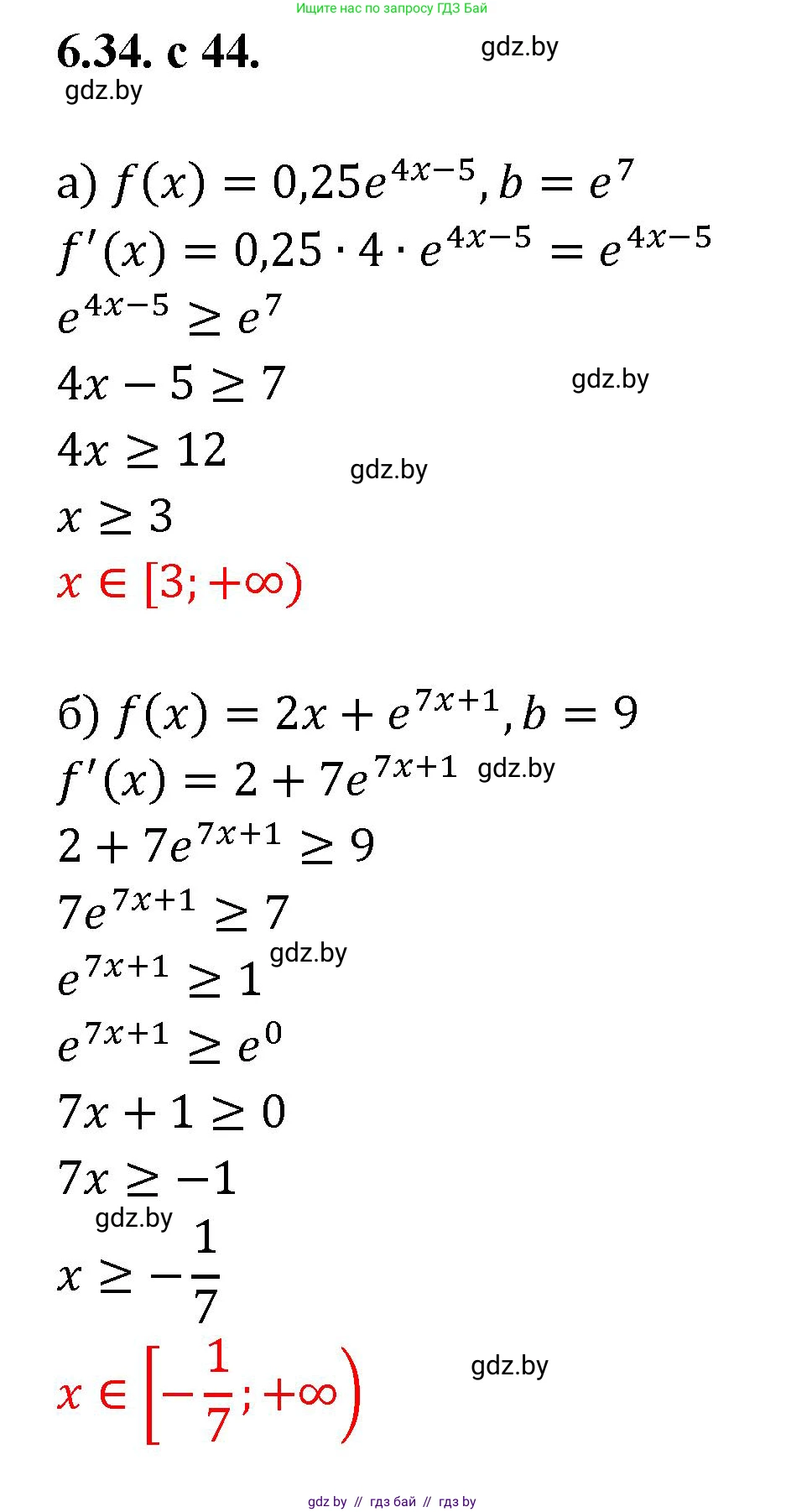
6.34. Решите неравенство $f'(x) \ge b$, если:

a) $f(x) = 0,25e^{4x-5}$, $b=e^7$;

б) $f(x) = 2x+e^{7x+1}$, $b=9$.

Решение. №34 (с. 44)
Алгебра, 11 класс Сборник задач, авторы: Арефьева Ирина Глебовна, Пирютко Ольга Николаевна, издательство Народная асвета, Минск, 2020, белого цвета, страница 44, номер 34, Решение
Решение 2. №34 (с. 44)

а) Для того чтобы решить неравенство $f'(x) \ge b$, сначала найдем производную функции $f(x) = 0,25e^{4x-5}$.

Используем правило дифференцирования сложной функции: $(C \cdot e^{u(x)})' = C \cdot e^{u(x)} \cdot u'(x)$. В нашем случае $C=0,25$, $u(x) = 4x-5$ и $u'(x) = 4$.

$f'(x) = 0,25 \cdot e^{4x-5} \cdot (4x-5)' = 0,25 \cdot e^{4x-5} \cdot 4 = e^{4x-5}$.

Теперь подставим найденную производную и значение $b=e^7$ в исходное неравенство:

$e^{4x-5} \ge e^7$.

Так как основание степени $e > 1$, показательная функция является возрастающей. Это означает, что мы можем сравнить показатели, сохранив знак неравенства:

$4x-5 \ge 7$

$4x \ge 12$

$x \ge \frac{12}{4}$

$x \ge 3$

Ответ: $x \ge \textbf{3}$.

б) Найдем производную функции $f(x) = 2x + e^{7x+1}$.

Применяем правило дифференцирования суммы и правило для сложной функции:

$f'(x) = (2x)' + (e^{7x+1})' = 2 + e^{7x+1} \cdot (7x+1)' = 2 + 7e^{7x+1}$.

Теперь решим неравенство $f'(x) \ge b$ при $b=9$:

$2 + 7e^{7x+1} \ge 9$

$7e^{7x+1} \ge 7$

$e^{7x+1} \ge 1$

Представим $1$ как $e^0$:

$e^{7x+1} \ge e^0$.

Поскольку основание $e > 1$, переходим к неравенству для показателей, сохраняя знак:

$7x+1 \ge 0$

$7x \ge -1$

$x \ge -\frac{1}{7}$

Ответ: $x \ge -\frac{1}{7}$.

Помогло решение? Оставьте отзыв в комментариях ниже.

Присоединяйтесь к Телеграм-группе @gdz_by_belarus

Присоединиться

Мы подготовили для вас ответ c подробным объяснением домашего задания по алгебре за 11 класс, для упражнения номер 34 расположенного на странице 44 к сборнику задач 2020 года издания для учащихся школ и гимназий.

Теперь на нашем сайте ГДЗ.ТОП вы всегда легко и бесплатно найдёте условие с правильным ответом на вопрос «Как решить ДЗ» и «Как сделать» задание по алгебре к упражнению №34 (с. 44), авторов: Арефьева (Ирина Глебовна), Пирютко (Ольга Николаевна), базовый и повышенный уровень обучения учебного пособия издательства Народная асвета.