Номер 11, страница 60 - гдз по алгебре 11 класс сборник задач Арефьева, Пирютко

Алгебра, 11 класс Сборник задач, авторы: Арефьева Ирина Глебовна, Пирютко Ольга Николаевна, издательство Народная асвета, Минск, 2020, белого цвета

Авторы: Арефьева И. Г., Пирютко О. Н.

Тип: Сборник задач

Издательство: Народная асвета

Год издания: 2020 - 2025

Уровень обучения: базовый и повышенный

Цвет обложки: белый с графиком

Допущено Министерством образования Республики Беларусь

Популярные ГДЗ в 11 классе

Глава 3. Логарифмическая функция. Параграф 8. Логарифмическая функция. Производная логарифмической функции - номер 11, страница 60.

№11 (с. 60)
Условие. №11 (с. 60)
скриншот условия
Алгебра, 11 класс Сборник задач, авторы: Арефьева Ирина Глебовна, Пирютко Ольга Николаевна, издательство Народная асвета, Минск, 2020, белого цвета, страница 60, номер 11, Условие

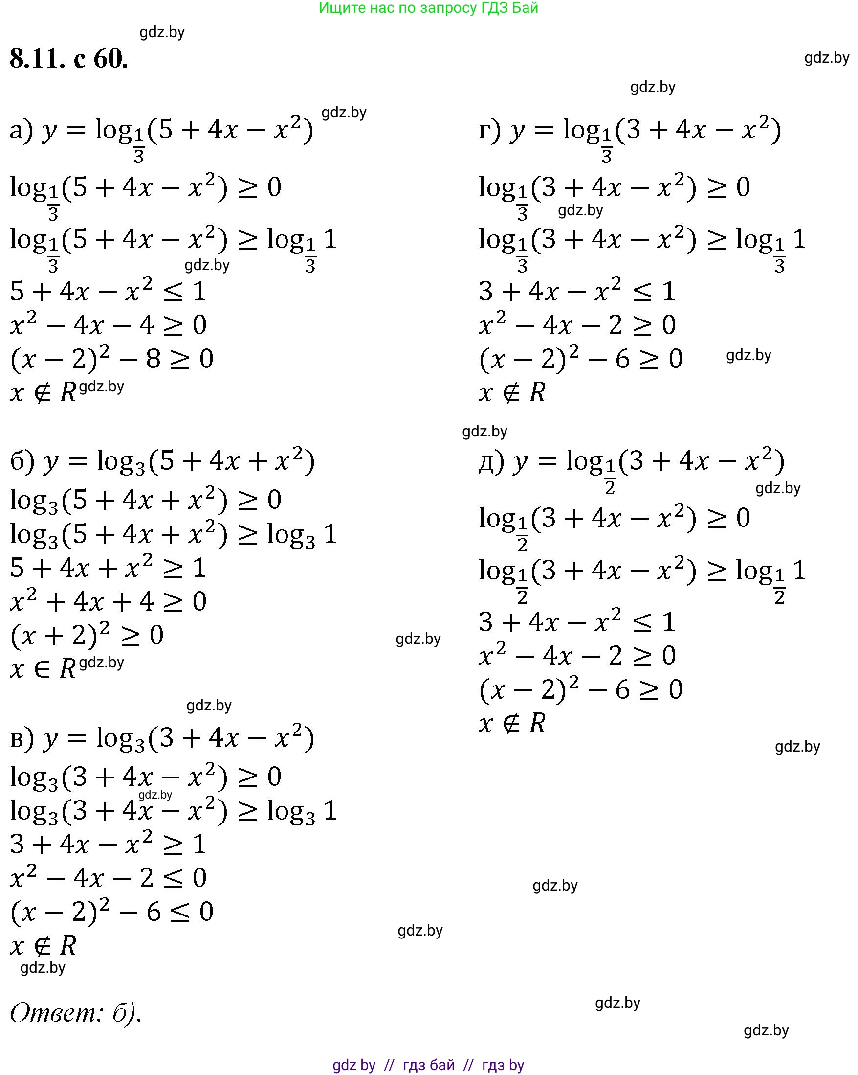
8.11. Какая из следующих функций принимает только неотрицательные значения:

а) $y = \log_{\frac{1}{3}}(5 + 4x - x^2);$

б) $y = \log_{3}(5 + 4x + x^2);$

в) $y = \log_{3}(3 + 4x - x^2);$

г) $y = \log_{\frac{1}{3}}(3 + 4x - x^2);$

д) $y = \log_{\frac{1}{2}}(3 + 4x - x^2)?$

Решение. №11 (с. 60)
Алгебра, 11 класс Сборник задач, авторы: Арефьева Ирина Глебовна, Пирютко Ольга Николаевна, издательство Народная асвета, Минск, 2020, белого цвета, страница 60, номер 11, Решение
Решение 2. №11 (с. 60)

Для того чтобы логарифмическая функция принимала только неотрицательные значения, необходимо, чтобы $y \ge 0$ для всех $x$ из области определения функции. Рассмотрим свойства логарифмической функции $y = \log_a(f(x))$.

  • Если основание логарифма $a > 1$, то функция является возрастающей. Неравенство $\log_a(f(x)) \ge 0$ равносильно неравенству $f(x) \ge a^0$, то есть $f(x) \ge 1$.
  • Если основание логарифма $0 < a < 1$, то функция является убывающей. Неравенство $\log_a(f(x)) \ge 0$ равносильно неравенству $0 < f(x) \le a^0$, то есть $0 < f(x) \le 1$.

Проанализируем каждую из предложенных функций.

а) $y = \log_{\frac{1}{3}}(5+4x-x^2)$

Основание логарифма $a = \frac{1}{3}$, что удовлетворяет условию $0 < a < 1$. Следовательно, функция будет принимать неотрицательные значения, если ее аргумент $f(x) = 5+4x-x^2$ удовлетворяет неравенству $0 < f(x) \le 1$.

Рассмотрим квадратичную функцию $f(x) = -x^2+4x+5$. Это парабола, ветви которой направлены вниз. Найдем ее вершину, чтобы определить максимальное значение аргумента.

Координата вершины по оси x: $x_v = -\frac{b}{2a} = -\frac{4}{2(-1)} = 2$.

Максимальное значение функции в вершине: $f(2) = -(2)^2 + 4(2) + 5 = -4 + 8 + 5 = 9$.

Поскольку максимальное значение аргумента равно 9, что больше 1, существуют значения $x$, при которых $f(x) > 1$. Для таких $x$ значение логарифма будет отрицательным. Например, при $x=2$ значение функции:

$y(2) = \log_{\frac{1}{3}}(9) = \log_{3^{-1}}(3^2) = -2 \cdot \log_3(3) = -2$.

Ответ: не удовлетворяет условию, так как может принимать отрицательные значения (например, -2, целая часть которого равна -2).

б) $y = \log_3(5+4x+x^2)$

Основание логарифма $a = 3$, что удовлетворяет условию $a > 1$. Следовательно, функция будет принимать неотрицательные значения, если ее аргумент $f(x) = 5+4x+x^2$ удовлетворяет неравенству $f(x) \ge 1$.

Рассмотрим квадратичную функцию $f(x) = x^2+4x+5$. Это парабола, ветви которой направлены вверх. Найдем ее вершину, чтобы определить минимальное значение аргумента.

Координата вершины по оси x: $x_v = -\frac{b}{2a} = -\frac{4}{2(1)} = -2$.

Минимальное значение функции в вершине: $f(-2) = (-2)^2 + 4(-2) + 5 = 4 - 8 + 5 = 1$.

Так как минимальное значение аргумента равно 1, то для любого $x$ из области определения функции (которая в данном случае совпадает со всей числовой прямой, так как $f(x) \ge 1 > 0$) выполняется неравенство $f(x) \ge 1$.

Таким образом, для любого действительного $x$ значение функции $y = \log_3(f(x)) \ge \log_3(1) = 0$.

Ответ: удовлетворяет условию, так как принимает только неотрицательные значения (минимальное значение 0, целая часть которого равна 0).

в) $y = \log_3(3+4x-x^2)$

Основание логарифма $a = 3$, что удовлетворяет условию $a > 1$. Следовательно, функция будет принимать неотрицательные значения, если ее аргумент $f(x) = 3+4x-x^2$ удовлетворяет неравенству $f(x) \ge 1$.

Рассмотрим квадратичную функцию $f(x) = -x^2+4x+3$. Это парабола, ветви которой направлены вниз. Ее максимальное значение находится в вершине:

$x_v = -\frac{4}{2(-1)} = 2$.

$f(2) = -(2)^2 + 4(2) + 3 = -4 + 8 + 3 = 7$.

Область определения функции задается условием $f(x) > 0$. Внутри этой области аргумент $f(x)$ принимает значения от 0 до 7. Следовательно, существуют значения $x$, при которых $0 < f(x) < 1$. Для таких $x$ значение логарифма будет отрицательным. Например, если $f(x) = \frac{1}{3}$, то $y = \log_3(\frac{1}{3}) = -1$.

Ответ: не удовлетворяет условию, так как может принимать отрицательные значения (например, -1, целая часть которого равна -1).

г) $y = \log_{\frac{1}{3}}(3+4x-x^2)$

Основание логарифма $a = \frac{1}{3}$, что удовлетворяет условию $0 < a < 1$. Следовательно, функция будет принимать неотрицательные значения, если ее аргумент $f(x) = 3+4x-x^2$ удовлетворяет неравенству $0 < f(x) \le 1$.

Как мы выяснили в пункте в), максимальное значение аргумента $f(x) = -x^2+4x+3$ равно 7. Так как $7 > 1$, существуют значения $x$, при которых $f(x) > 1$. Например, при $x=2$ имеем $f(2)=7$.

В этом случае значение функции будет отрицательным: $y(2) = \log_{\frac{1}{3}}(7) = -\log_3(7)$. Так как $3^1 < 7 < 3^2$, то $1 < \log_3(7) < 2$, и, следовательно, $-2 < -\log_3(7) < -1$.

Ответ: не удовлетворяет условию, так как может принимать отрицательные значения (например, $\log_{\frac{1}{3}}(7) \approx -1.77$, целая часть которого равна -2).

д) $y = \log_{\frac{1}{2}}(3+4x-x^2)$

Основание логарифма $a = \frac{1}{2}$, что удовлетворяет условию $0 < a < 1$. Следовательно, функция будет принимать неотрицательные значения, если ее аргумент $f(x) = 3+4x-x^2$ удовлетворяет неравенству $0 < f(x) \le 1$.

Аргумент этой функции тот же, что и в пунктах в) и г). Максимальное значение аргумента $f(x) = -x^2+4x+3$ равно 7. Так как $7 > 1$, существуют значения $x$, при которых $f(x) > 1$. Например, при $x=2$ имеем $f(2)=7$.

В этом случае значение функции будет отрицательным: $y(2) = \log_{\frac{1}{2}}(7) = -\log_2(7)$. Так как $2^2 < 7 < 2^3$, то $2 < \log_2(7) < 3$, и, следовательно, $-3 < -\log_2(7) < -2$.

Ответ: не удовлетворяет условию, так как может принимать отрицательные значения (например, $\log_{\frac{1}{2}}(7) \approx -2.81$, целая часть которого равна -3).


Таким образом, единственная функция из предложенных, которая принимает только неотрицательные значения, это функция из пункта б).

Помогло решение? Оставьте отзыв в комментариях ниже.

Присоединяйтесь к Телеграм-группе @gdz_by_belarus

Присоединиться

Мы подготовили для вас ответ c подробным объяснением домашего задания по алгебре за 11 класс, для упражнения номер 11 расположенного на странице 60 к сборнику задач 2020 года издания для учащихся школ и гимназий.

Теперь на нашем сайте ГДЗ.ТОП вы всегда легко и бесплатно найдёте условие с правильным ответом на вопрос «Как решить ДЗ» и «Как сделать» задание по алгебре к упражнению №11 (с. 60), авторов: Арефьева (Ирина Глебовна), Пирютко (Ольга Николаевна), базовый и повышенный уровень обучения учебного пособия издательства Народная асвета.