Номер 8, страница 59 - гдз по алгебре 11 класс сборник задач Арефьева, Пирютко

Алгебра, 11 класс Сборник задач, авторы: Арефьева Ирина Глебовна, Пирютко Ольга Николаевна, издательство Народная асвета, Минск, 2020, белого цвета

Авторы: Арефьева И. Г., Пирютко О. Н.

Тип: Сборник задач

Издательство: Народная асвета

Год издания: 2020 - 2025

Уровень обучения: базовый и повышенный

Цвет обложки: белый с графиком

Допущено Министерством образования Республики Беларусь

Популярные ГДЗ в 11 классе

Глава 3. Логарифмическая функция. Параграф 8. Логарифмическая функция. Производная логарифмической функции - номер 8, страница 59.

№8 (с. 59)
Условие. №8 (с. 59)
скриншот условия
Алгебра, 11 класс Сборник задач, авторы: Арефьева Ирина Глебовна, Пирютко Ольга Николаевна, издательство Народная асвета, Минск, 2020, белого цвета, страница 59, номер 8, Условие

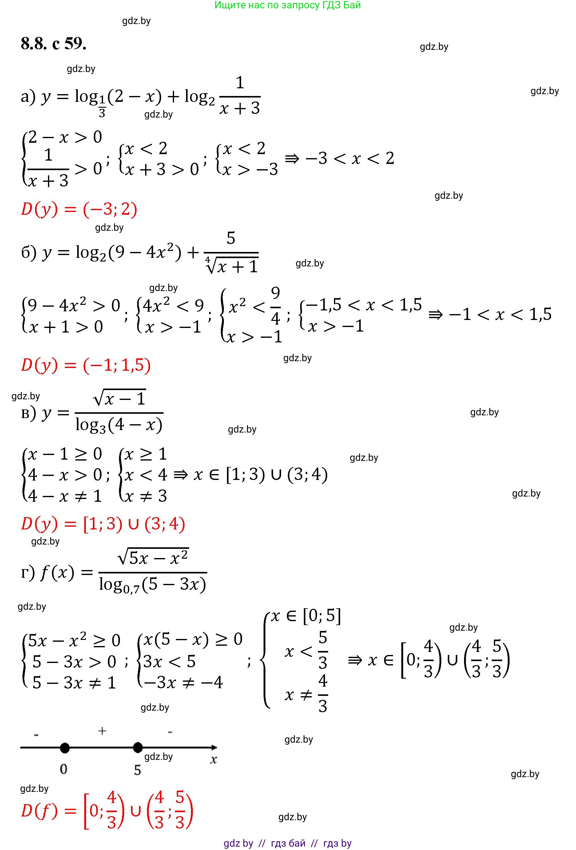
8.8. Найдите область определения функции:

а) $y = \log_{\frac{1}{3}}(2 - x) + \log_2 \frac{1}{x + 3}$;

б) $y = \log_2(9 - 4x^2) + \frac{5}{\sqrt[4]{x + 1}}$;

в) $y = \frac{\sqrt{x - 1}}{\log_3(4 - x)}$;

г) $f(x) = \frac{\sqrt{5x - x^2}}{\log_{0.7}(5 - 3x)}$;

д) $f(x) = \lg(8 - x) + \lg(x - 3)^2$;

е) $f(x) = \lg(5 - x)^3 + \lg(x - 2)$;

ж) $f(x) = \log_x(10 + 3x - x^2)$;

з) $y = \log_{x - 2}\left(\frac{1}{4} - \frac{2}{2x + 3}\right)$.

Решение. №8 (с. 59)
Алгебра, 11 класс Сборник задач, авторы: Арефьева Ирина Глебовна, Пирютко Ольга Николаевна, издательство Народная асвета, Минск, 2020, белого цвета, страница 59, номер 8, Решение Алгебра, 11 класс Сборник задач, авторы: Арефьева Ирина Глебовна, Пирютко Ольга Николаевна, издательство Народная асвета, Минск, 2020, белого цвета, страница 59, номер 8, Решение (продолжение 2)
Решение 2. №8 (с. 59)

а) Область определения функции $y = \log_{\frac{1}{3}}(2-x) + \log_2(\frac{1}{x+3})$ задается системой неравенств, так как аргументы логарифмических функций должны быть строго положительными.
$ \begin{cases} 2-x > 0 \\ \frac{1}{x+3} > 0 \end{cases} $
Решаем каждое неравенство системы:
$ \begin{cases} -x > -2 \\ x+3 > 0 \end{cases} \implies \begin{cases} x < 2 \\ x > -3 \end{cases} $
Пересечение решений $x \in (-3, 2)$.
Ответ: $D(y) = (-3, 2)$.

б) Область определения функции $y = \log_2(9 - 4x^2) + \frac{5}{\sqrt[4]{x+1}}$ определяется следующими условиями:
1. Аргумент логарифма должен быть строго положительным: $9 - 4x^2 > 0$.
2. Выражение под корнем четной степени в знаменателе должно быть строго положительным: $x+1 > 0$.
Запишем и решим систему неравенств:
$ \begin{cases} 9 - 4x^2 > 0 \\ x+1 > 0 \end{cases} \implies \begin{cases} 4x^2 < 9 \\ x > -1 \end{cases} \implies \begin{cases} x^2 < \frac{9}{4} \\ x > -1 \end{cases} \implies \begin{cases} -\frac{3}{2} < x < \frac{3}{2} \\ x > -1 \end{cases} $
Находим пересечение интервалов $(-1.5, 1.5)$ и $(-1, \infty)$, что дает $(-1, \frac{3}{2})$.
Ответ: $D(y) = (-1, 1\frac{1}{2})$.

в) Область определения функции $y = \frac{\sqrt{x-1}}{\log_3(4-x)}$ определяется системой условий:
1. Выражение под квадратным корнем должно быть неотрицательным: $x-1 \ge 0$.
2. Аргумент логарифма должен быть положительным: $4-x > 0$.
3. Знаменатель не должен быть равен нулю: $\log_3(4-x) \ne 0$.
$ \begin{cases} x-1 \ge 0 \\ 4-x > 0 \\ 4-x \ne 3^0 \end{cases} \implies \begin{cases} x \ge 1 \\ x < 4 \\ 4-x \ne 1 \end{cases} \implies \begin{cases} x \ge 1 \\ x < 4 \\ x \ne 3 \end{cases} $
Объединяя условия, получаем $x \in [1, 4)$, при этом $x \ne 3$.
Ответ: $D(y) = [1, 3) \cup (3, 4)$.

г) Область определения функции $f(x) = \frac{\sqrt{5x-x^2}}{\log_{0.7}(5-3x)}$ определяется системой условий:
1. Выражение под корнем: $5x - x^2 \ge 0$.
2. Аргумент логарифма: $5 - 3x > 0$.
3. Знаменатель: $\log_{0.7}(5-3x) \ne 0$.
$ \begin{cases} x(5-x) \ge 0 \\ -3x > -5 \\ 5-3x \ne (0.7)^0 \end{cases} \implies \begin{cases} 0 \le x \le 5 \\ x < \frac{5}{3} \\ 5-3x \ne 1 \end{cases} \implies \begin{cases} 0 \le x \le 5 \\ x < \frac{5}{3} \\ -3x \ne -4 \end{cases} \implies \begin{cases} 0 \le x \le 5 \\ x < \frac{5}{3} \\ x \ne \frac{4}{3} \end{cases} $
Пересечение этих условий: $x \in [0, \frac{5}{3})$ и $x \ne \frac{4}{3}$.
Ответ: $D(f) = [0, 1\frac{1}{3}) \cup (1\frac{1}{3}, 1\frac{2}{3})$.

д) Область определения функции $f(x) = \lg(8-x) + \lg(x-3)^2$ определяется системой:
$ \begin{cases} 8-x > 0 \\ (x-3)^2 > 0 \end{cases} $
Выражение $(x-3)^2$ положительно для всех $x$, кроме $x=3$.
$ \begin{cases} x < 8 \\ x \ne 3 \end{cases} $
Таким образом, область определения состоит из всех чисел, меньших 8, за исключением 3.
Ответ: $D(f) = (-\infty, 3) \cup (3, 8)$.

е) Область определения функции $f(x) = \lg(5-x)^3 + \lg(x-2)$ определяется системой:
$ \begin{cases} (5-x)^3 > 0 \\ x-2 > 0 \end{cases} $
Неравенство $(5-x)^3 > 0$ равносильно $5-x > 0$.
$ \begin{cases} 5-x > 0 \\ x > 2 \end{cases} \implies \begin{cases} x < 5 \\ x > 2 \end{cases} $
Пересечение этих условий дает интервал $2 < x < 5$.
Ответ: $D(f) = (2, 5)$.

ж) Для функции с переменным основанием $f(x) = \log_x(10+3x-x^2)$ должны выполняться три условия:
1. Аргумент логарифма должен быть положительным: $10+3x-x^2 > 0$.
2. Основание логарифма должно быть положительным: $x > 0$.
3. Основание логарифма не должно быть равно единице: $x \ne 1$.
Решаем неравенство для аргумента: $x^2 - 3x - 10 < 0$. Корни уравнения $x^2 - 3x - 10 = 0$ равны $x_1 = -2$ и $x_2 = 5$. Так как это парабола ветвями вверх, неравенство выполняется между корнями: $-2 < x < 5$.
Объединим все условия:
$ \begin{cases} -2 < x < 5 \\ x > 0 \\ x \ne 1 \end{cases} $
Пересечение этих условий дает $x \in (0, 5)$, за исключением точки $x=1$.
Ответ: $D(f) = (0, 1) \cup (1, 5)$.

з) Для функции $y = \log_{x-2}(\frac{1}{4} - \frac{2}{2x+3})$ область определения задается системой условий для основания и аргумента логарифма.
1. Условия на основание $x-2$:
$ \begin{cases} x-2 > 0 \\ x-2 \ne 1 \end{cases} \implies \begin{cases} x > 2 \\ x \ne 3 \end{cases} $
2. Условие на аргумент $\frac{1}{4} - \frac{2}{2x+3}$:
$\frac{1}{4} - \frac{2}{2x+3} > 0 \implies \frac{2x+3-8}{4(2x+3)} > 0 \implies \frac{2x-5}{4(2x+3)} > 0$.
Решаем методом интервалов. Нули числителя и знаменателя: $x = \frac{5}{2}$ и $x = -\frac{3}{2}$.
Неравенство выполняется при $x \in (-\infty, -\frac{3}{2}) \cup (\frac{5}{2}, \infty)$.
3. Находим пересечение всех условий:
$ \begin{cases} x > 2 \\ x \ne 3 \\ x \in (-\infty, -\frac{3}{2}) \cup (\frac{5}{2}, \infty) \end{cases} $
Пересечение $(2, \infty)$ и $(-\infty, -1.5) \cup (2.5, \infty)$ дает $(2.5, \infty)$. Учитывая $x \ne 3$, получаем итоговую область определения.
Ответ: $D(y) = (2\frac{1}{2}, 3) \cup (3, \infty)$.

Помогло решение? Оставьте отзыв в комментариях ниже.

Присоединяйтесь к Телеграм-группе @gdz_by_belarus

Присоединиться

Мы подготовили для вас ответ c подробным объяснением домашего задания по алгебре за 11 класс, для упражнения номер 8 расположенного на странице 59 к сборнику задач 2020 года издания для учащихся школ и гимназий.

Теперь на нашем сайте ГДЗ.ТОП вы всегда легко и бесплатно найдёте условие с правильным ответом на вопрос «Как решить ДЗ» и «Как сделать» задание по алгебре к упражнению №8 (с. 59), авторов: Арефьева (Ирина Глебовна), Пирютко (Ольга Николаевна), базовый и повышенный уровень обучения учебного пособия издательства Народная асвета.