Номер 21, страница 73 - гдз по алгебре 11 класс сборник задач Арефьева, Пирютко

Алгебра, 11 класс Сборник задач, авторы: Арефьева Ирина Глебовна, Пирютко Ольга Николаевна, издательство Народная асвета, Минск, 2020, белого цвета

Авторы: Арефьева И. Г., Пирютко О. Н.

Тип: Сборник задач

Издательство: Народная асвета

Год издания: 2020 - 2025

Уровень обучения: базовый и повышенный

Цвет обложки: белый с графиком

Допущено Министерством образования Республики Беларусь

Популярные ГДЗ в 11 классе

Глава 3. Логарифмическая функция. Параграф 9. Логарифмические уравнения - номер 21, страница 73.

№21 (с. 73)
Условие. №21 (с. 73)
скриншот условия
Алгебра, 11 класс Сборник задач, авторы: Арефьева Ирина Глебовна, Пирютко Ольга Николаевна, издательство Народная асвета, Минск, 2020, белого цвета, страница 73, номер 21, Условие

9.21. Решите уравнение:

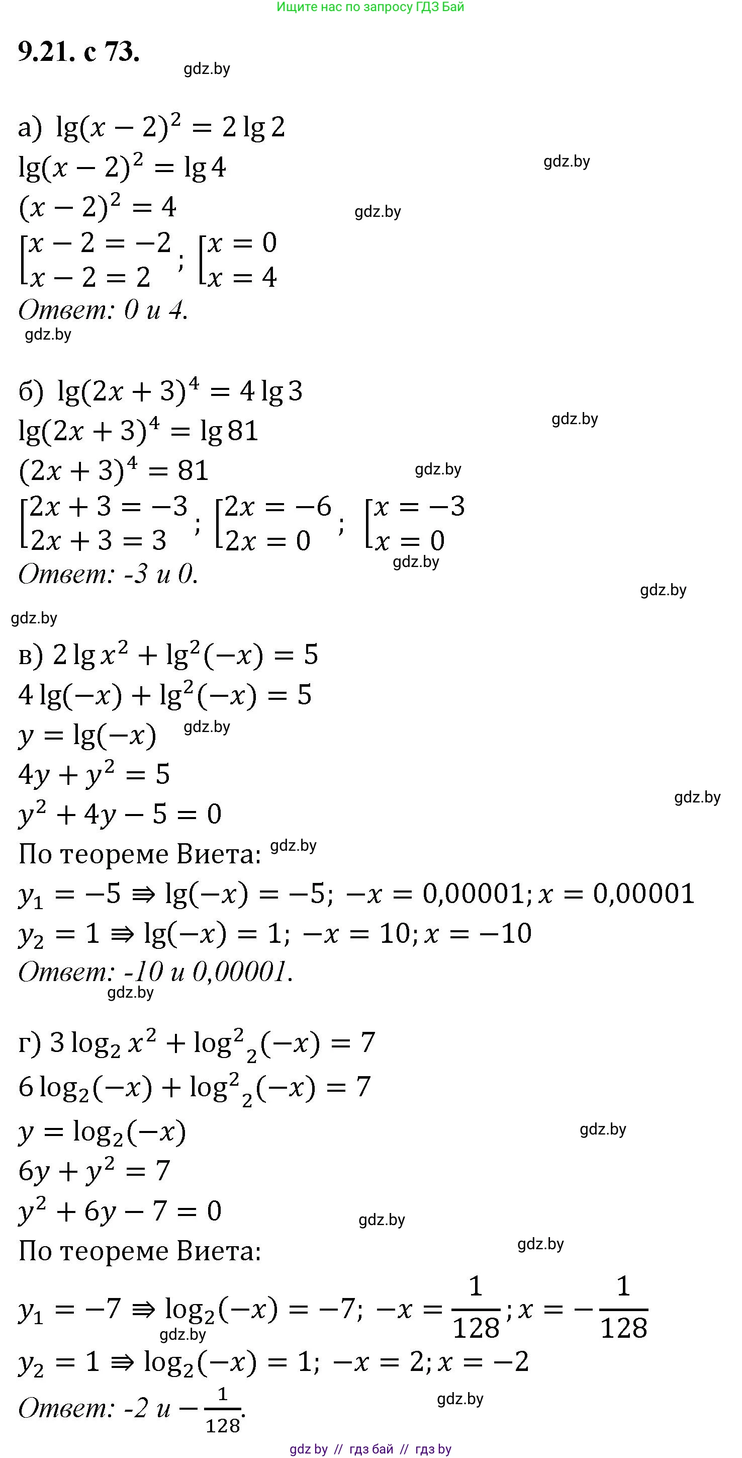
a) $ \lg(x - 2)^2 = 2\lg2; $

б) $ \lg(2x + 3)^4 = 4\lg3; $

в) $ 2\lg x^2 + \lg^2(-x) = 5; $

г) $ 3\log_2 x^2 + \log_2^2(-x) = 7. $

Решение. №21 (с. 73)
Алгебра, 11 класс Сборник задач, авторы: Арефьева Ирина Глебовна, Пирютко Ольга Николаевна, издательство Народная асвета, Минск, 2020, белого цвета, страница 73, номер 21, Решение
Решение 2. №21 (с. 73)

а) Исходное уравнение: $\lg(x - 2)^2 = 2\lg2$.

1. Найдем область допустимых значений (ОДЗ). Аргумент логарифма должен быть строго больше нуля:

$(x - 2)^2 > 0$

Это неравенство выполняется для всех $x$, кроме $x = 2$. Таким образом, ОДЗ: $x \neq 2$.

2. Преобразуем уравнение. Используем свойство логарифма $n \cdot \log_a b = \log_a b^n$ для правой части:

$2\lg2 = \lg(2^2) = \lg4$

Уравнение принимает вид:

$\lg(x - 2)^2 = \lg4$

3. Так как основания логарифмов равны, мы можем приравнять их аргументы:

$(x - 2)^2 = 4$

4. Решим полученное уравнение. Извлекая квадратный корень из обеих частей, получаем:

$|x - 2| = 2$

Это равносильно двум уравнениям:

$x - 2 = 2 \implies x_1 = 4$

$x - 2 = -2 \implies x_2 = 0$

5. Проверяем найденные корни по ОДЗ. Оба корня $x=4$ и $x=0$ удовлетворяют условию $x \neq 2$.

Ответ: $0; 4$.

б) Исходное уравнение: $\lg(2x + 3)^4 = 4\lg3$.

1. Найдем ОДЗ. Аргумент логарифма должен быть строго больше нуля:

$(2x + 3)^4 > 0$

Это неравенство выполняется для всех $x$, при которых $2x + 3 \neq 0$, то есть $x \neq -3/2$.

2. Преобразуем правую часть уравнения:

$4\lg3 = \lg(3^4) = \lg81$

Уравнение принимает вид:

$\lg(2x + 3)^4 = \lg81$

3. Приравниваем аргументы логарифмов:

$(2x + 3)^4 = 81$

4. Так как $81 = 3^4$, уравнение можно записать как:

$(2x + 3)^4 = 3^4$

Извлекая корень четвертой степени, получаем:

$|2x + 3| = 3$

5. Раскрываем модуль:

$2x + 3 = 3 \implies 2x = 0 \implies x_1 = 0$

$2x + 3 = -3 \implies 2x = -6 \implies x_2 = -3$

6. Оба корня $x=0$ и $x=-3$ удовлетворяют ОДЗ ($x \neq -3/2$).

Ответ: $-3; 0$.

в) Исходное уравнение: $2\lg x^2 + \lg^2(-x) = 5$.

1. Найдем ОДЗ. Должны выполняться два условия:

1) $x^2 > 0 \implies x \neq 0$

2) $-x > 0 \implies x < 0$

Объединяя условия, получаем ОДЗ: $x < 0$.

2. Преобразуем выражение $\lg x^2$. Используем свойство $\log_a b^c = c \log_a|b|$.

$\lg x^2 = 2\lg|x|$. Так как по ОДЗ $x < 0$, то $|x| = -x$. Следовательно:

$\lg x^2 = 2\lg(-x)$

3. Подставим это в исходное уравнение:

$2 \cdot (2\lg(-x)) + \lg^2(-x) = 5$

$4\lg(-x) + \lg^2(-x) = 5$

4. Сделаем замену переменной. Пусть $t = \lg(-x)$. Уравнение принимает вид квадратного:

$t^2 + 4t - 5 = 0$

5. Решаем квадратное уравнение. По теореме Виета, корни $t_1 = 1$ и $t_2 = -5$.

6. Выполним обратную замену:

- Если $t = 1$, то $\lg(-x) = 1 \implies -x = 10^1 \implies x_1 = -10$.

- Если $t = -5$, то $\lg(-x) = -5 \implies -x = 10^{-5} \implies x_2 = -0.00001$.

7. Оба корня удовлетворяют ОДЗ ($x < 0$).

Ответ: $-10; -0.00001$.

г) Исходное уравнение: $3\log_2 x^2 + \log_2^2(-x) = 7$.

1. Найдем ОДЗ. Условия те же, что и в предыдущем пункте:

1) $x^2 > 0 \implies x \neq 0$

2) $-x > 0 \implies x < 0$

ОДЗ: $x < 0$.

2. Преобразуем выражение $\log_2 x^2$. Так как $x < 0$, имеем $|x| = -x$.

$\log_2 x^2 = 2\log_2|x| = 2\log_2(-x)$

3. Подставим в уравнение:

$3 \cdot (2\log_2(-x)) + \log_2^2(-x) = 7$

$6\log_2(-x) + \log_2^2(-x) = 7$

4. Сделаем замену переменной. Пусть $y = \log_2(-x)$. Получаем квадратное уравнение:

$y^2 + 6y - 7 = 0$

5. Решаем уравнение. По теореме Виета, корни $y_1 = 1$ и $y_2 = -7$.

6. Выполним обратную замену:

- Если $y = 1$, то $\log_2(-x) = 1 \implies -x = 2^1 \implies x_1 = -2$.

- Если $y = -7$, то $\log_2(-x) = -7 \implies -x = 2^{-7} \implies -x = \frac{1}{128} \implies x_2 = -\frac{1}{128}$.

7. Оба корня удовлетворяют ОДЗ ($x < 0$).

Ответ: $-2; -\frac{1}{128}$.

Помогло решение? Оставьте отзыв в комментариях ниже.

Присоединяйтесь к Телеграм-группе @gdz_by_belarus

Присоединиться

Мы подготовили для вас ответ c подробным объяснением домашего задания по алгебре за 11 класс, для упражнения номер 21 расположенного на странице 73 к сборнику задач 2020 года издания для учащихся школ и гимназий.

Теперь на нашем сайте ГДЗ.ТОП вы всегда легко и бесплатно найдёте условие с правильным ответом на вопрос «Как решить ДЗ» и «Как сделать» задание по алгебре к упражнению №21 (с. 73), авторов: Арефьева (Ирина Глебовна), Пирютко (Ольга Николаевна), базовый и повышенный уровень обучения учебного пособия издательства Народная асвета.