Номер 16, страница 73 - гдз по алгебре 11 класс сборник задач Арефьева, Пирютко

Алгебра, 11 класс Сборник задач, авторы: Арефьева Ирина Глебовна, Пирютко Ольга Николаевна, издательство Народная асвета, Минск, 2020, белого цвета

Авторы: Арефьева И. Г., Пирютко О. Н.

Тип: Сборник задач

Издательство: Народная асвета

Год издания: 2020 - 2025

Уровень обучения: базовый и повышенный

Цвет обложки: белый с графиком

Допущено Министерством образования Республики Беларусь

Популярные ГДЗ в 11 классе

Глава 3. Логарифмическая функция. Параграф 9. Логарифмические уравнения - номер 16, страница 73.

№16 (с. 73)
Условие. №16 (с. 73)
скриншот условия
Алгебра, 11 класс Сборник задач, авторы: Арефьева Ирина Глебовна, Пирютко Ольга Николаевна, издательство Народная асвета, Минск, 2020, белого цвета, страница 73, номер 16, Условие

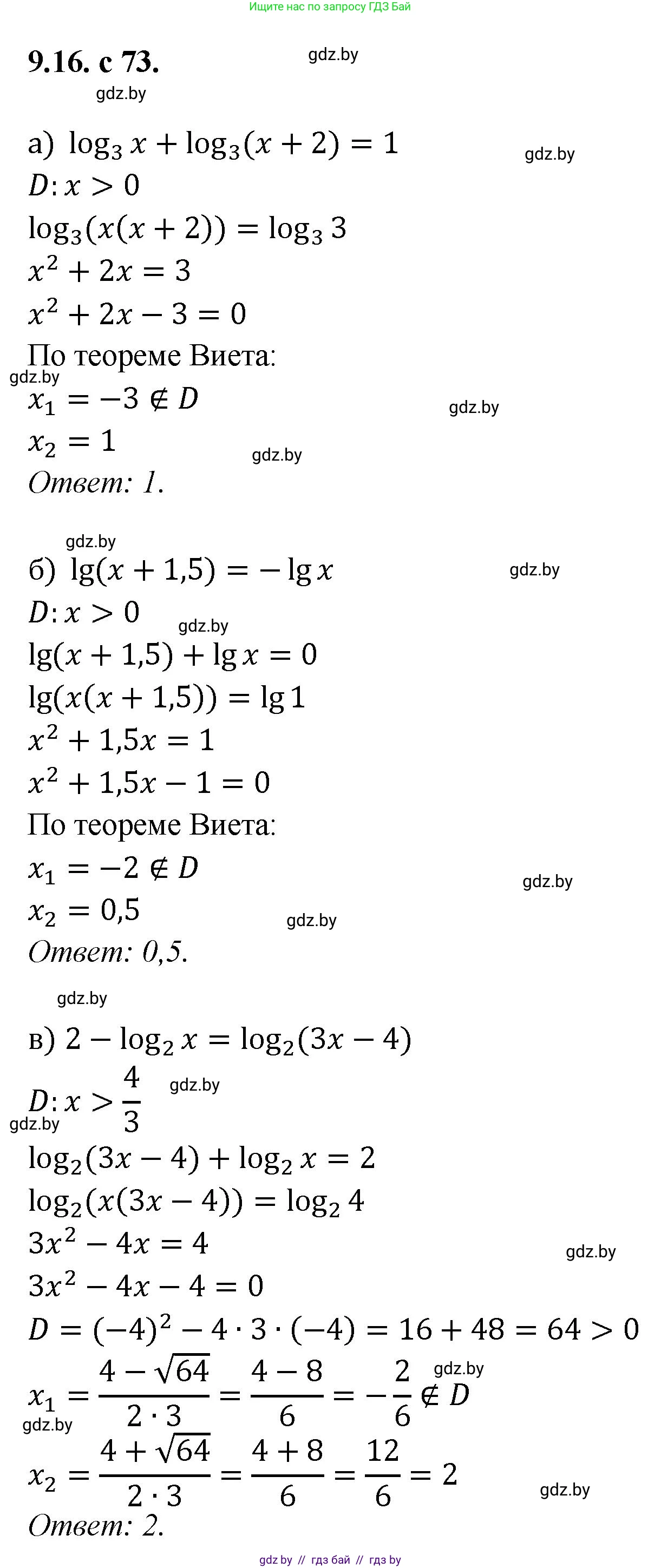
9.16. Решите уравнение:

а) $\log_3 x + \log_3 (x + 2) = 1$;

б) $\lg(x + 1.5) = -\lg x$;

в) $2 - \log_2 x = \log_2 (3x - 4)$;

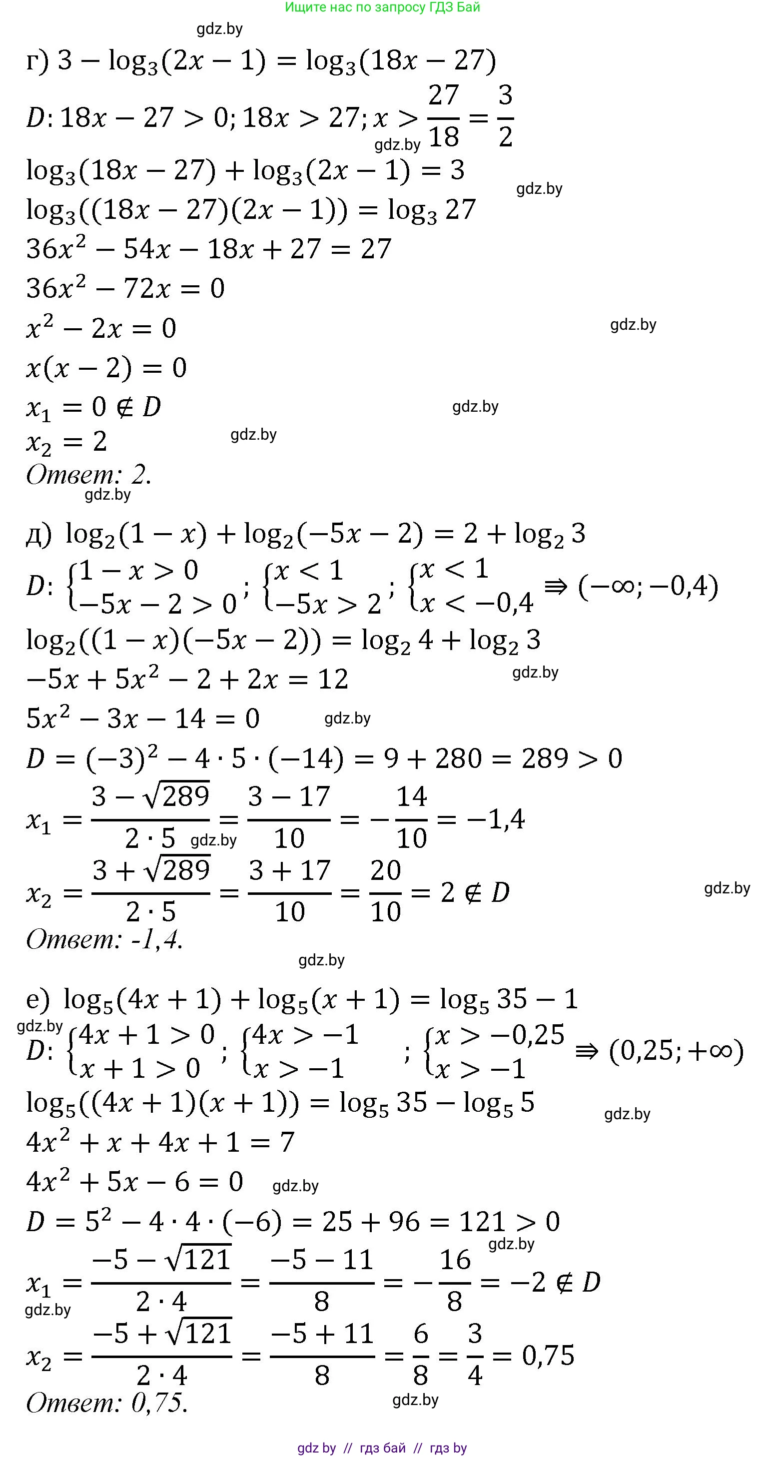
г) $3 - \log_3 (2x - 1) = \log_3 (18x - 27)$;

д) $\log_2 (1 - x) + \log_2 (-5x - 2) = 2 + \log_2 3$;

е) $\log_5 (4x + 1) + \log_5 (x + 1) = \log_5 35 - 1$.

Решение. №16 (с. 73)
Алгебра, 11 класс Сборник задач, авторы: Арефьева Ирина Глебовна, Пирютко Ольга Николаевна, издательство Народная асвета, Минск, 2020, белого цвета, страница 73, номер 16, Решение Алгебра, 11 класс Сборник задач, авторы: Арефьева Ирина Глебовна, Пирютко Ольга Николаевна, издательство Народная асвета, Минск, 2020, белого цвета, страница 73, номер 16, Решение (продолжение 2)
Решение 2. №16 (с. 73)

а) $\log_3 x + \log_3 (x + 2) = 1$

1. Найдем область допустимых значений (ОДЗ). Аргументы логарифмов должны быть строго положительными:

$\begin{cases} x > 0 \\ x + 2 > 0 \end{cases} \Rightarrow \begin{cases} x > 0 \\ x > -2 \end{cases} \Rightarrow x > 0$

2. Воспользуемся свойством суммы логарифмов: $\log_a b + \log_a c = \log_a(b \cdot c)$.

$\log_3(x(x+2)) = 1$

3. По определению логарифма ($ \log_a b = c \Leftrightarrow a^c = b $):

$x(x+2) = 3^1$

$x^2 + 2x = 3$

$x^2 + 2x - 3 = 0$

4. Решим полученное квадратное уравнение. По теореме Виета, корни уравнения: $x_1 = 1$, $x_2 = -3$.

5. Проверим найденные корни на соответствие ОДЗ ($x > 0$):

$x_1 = 1$ — удовлетворяет ОДЗ.

$x_2 = -3$ — не удовлетворяет ОДЗ, является посторонним корнем.

Ответ: $1$.

б) $\lg(x + 1.5) = -\lg x$

1. Найдем ОДЗ. $\lg$ — это десятичный логарифм ($\log_{10}$):

$\begin{cases} x + 1.5 > 0 \\ x > 0 \end{cases} \Rightarrow \begin{cases} x > -1.5 \\ x > 0 \end{cases} \Rightarrow x > 0$

2. Перенесем $-\lg x$ в левую часть уравнения:

$\lg(x + 1.5) + \lg x = 0$

3. Используем свойство суммы логарифмов:

$\lg(x(x+1.5)) = 0$

4. По определению логарифма:

$x(x+1.5) = 10^0$

$x^2 + 1.5x = 1$

$x^2 + 1.5x - 1 = 0$

Умножим на 2, чтобы избавиться от дроби: $2x^2 + 3x - 2 = 0$.

5. Решим квадратное уравнение через дискриминант:

$D = b^2 - 4ac = 3^2 - 4 \cdot 2 \cdot (-2) = 9 + 16 = 25$

$x = \frac{-b \pm \sqrt{D}}{2a} = \frac{-3 \pm 5}{4}$

$x_1 = \frac{-3+5}{4} = \frac{2}{4} = 0.5$

$x_2 = \frac{-3-5}{4} = \frac{-8}{4} = -2$

6. Проверим корни на соответствие ОДЗ ($x > 0$):

$x_1 = 0.5$ — удовлетворяет ОДЗ.

$x_2 = -2$ — не удовлетворяет ОДЗ.

Ответ: $0.5$.

в) $2 - \log_2 x = \log_2 (3x - 4)$

1. Найдем ОДЗ:

$\begin{cases} x > 0 \\ 3x - 4 > 0 \end{cases} \Rightarrow \begin{cases} x > 0 \\ 3x > 4 \end{cases} \Rightarrow \begin{cases} x > 0 \\ x > 4/3 \end{cases} \Rightarrow x > 4/3$

2. Преобразуем уравнение, собрав логарифмы в одной части:

$2 = \log_2 (3x - 4) + \log_2 x$

3. Применим свойство суммы логарифмов и представим 2 в виде логарифма по основанию 2 ($2 = \log_2 2^2 = \log_2 4$):

$\log_2 4 = \log_2(x(3x-4))$

4. Так как основания логарифмов равны, приравняем их аргументы:

$4 = x(3x - 4)$

$4 = 3x^2 - 4x$

$3x^2 - 4x - 4 = 0$

5. Решим квадратное уравнение:

$D = (-4)^2 - 4 \cdot 3 \cdot (-4) = 16 + 48 = 64$

$x = \frac{4 \pm \sqrt{64}}{6} = \frac{4 \pm 8}{6}$

$x_1 = \frac{4+8}{6} = \frac{12}{6} = 2$

$x_2 = \frac{4-8}{6} = \frac{-4}{6} = -2/3$

6. Проверим корни на соответствие ОДЗ ($x > 4/3$):

$x_1 = 2$ — удовлетворяет ОДЗ ($2 > 4/3$).

$x_2 = -2/3$ — не удовлетворяет ОДЗ.

Ответ: $2$.

г) $3 - \log_3 (2x - 1) = \log_3 (18x - 27)$

1. Найдем ОДЗ:

$\begin{cases} 2x - 1 > 0 \\ 18x - 27 > 0 \end{cases} \Rightarrow \begin{cases} 2x > 1 \\ 18x > 27 \end{cases} \Rightarrow \begin{cases} x > 1/2 \\ x > 27/18 \end{cases} \Rightarrow \begin{cases} x > 0.5 \\ x > 1.5 \end{cases} \Rightarrow x > 1.5$

2. Преобразуем уравнение:

$3 = \log_3 (18x - 27) + \log_3 (2x - 1)$

3. Применим свойство суммы логарифмов и представим 3 в виде логарифма по основанию 3 ($3 = \log_3 3^3 = \log_3 27$):

$\log_3 27 = \log_3((18x - 27)(2x - 1))$

4. Приравняем аргументы логарифмов:

$27 = (18x - 27)(2x - 1)$

$27 = 36x^2 - 18x - 54x + 27$

$27 = 36x^2 - 72x + 27$

$0 = 36x^2 - 72x$

$36x(x - 2) = 0$

5. Корни уравнения: $x_1 = 0$, $x_2 = 2$.

6. Проверим корни на соответствие ОДЗ ($x > 1.5$):

$x_1 = 0$ — не удовлетворяет ОДЗ.

$x_2 = 2$ — удовлетворяет ОДЗ.

Ответ: $2$.

д) $\log_2 (1 - x) + \log_2 (-5x - 2) = 2 + \log_2 3$

1. Найдем ОДЗ:

$\begin{cases} 1 - x > 0 \\ -5x - 2 > 0 \end{cases} \Rightarrow \begin{cases} x < 1 \\ -5x > 2 \end{cases} \Rightarrow \begin{cases} x < 1 \\ x < -2/5 \end{cases} \Rightarrow x < -2/5$

2. Преобразуем уравнение, используя свойства логарифмов:

$\log_2((1-x)(-5x-2)) = \log_2(2^2) + \log_2 3$

$\log_2(5x^2 - 3x - 2) = \log_2 4 + \log_2 3$

$\log_2(5x^2 - 3x - 2) = \log_2(4 \cdot 3)$

$\log_2(5x^2 - 3x - 2) = \log_2 12$

3. Приравняем аргументы логарифмов:

$5x^2 - 3x - 2 = 12$

$5x^2 - 3x - 14 = 0$

4. Решим квадратное уравнение:

$D = (-3)^2 - 4 \cdot 5 \cdot (-14) = 9 + 280 = 289 = 17^2$

$x = \frac{3 \pm 17}{10}$

$x_1 = \frac{3+17}{10} = \frac{20}{10} = 2$

$x_2 = \frac{3-17}{10} = \frac{-14}{10} = -7/5$

5. Проверим корни на соответствие ОДЗ ($x < -2/5$ или $x < -0.4$):

$x_1 = 2$ — не удовлетворяет ОДЗ.

$x_2 = -7/5 = -1.4$ — удовлетворяет ОДЗ.

Ответ: $-1\frac{2}{5}$.

е) $\log_5 (4x + 1) + \log_5 (x + 1) = \log_5 35 - 1$

1. Найдем ОДЗ:

$\begin{cases} 4x + 1 > 0 \\ x + 1 > 0 \end{cases} \Rightarrow \begin{cases} 4x > -1 \\ x > -1 \end{cases} \Rightarrow \begin{cases} x > -1/4 \\ x > -1 \end{cases} \Rightarrow x > -1/4$

2. Преобразуем уравнение, представив 1 как логарифм по основанию 5 ($1 = \log_5 5$):

$\log_5((4x+1)(x+1)) = \log_5 35 - \log_5 5$

3. Используем свойства суммы и разности логарифмов:

$\log_5(4x^2 + 5x + 1) = \log_5(35/5)$

$\log_5(4x^2 + 5x + 1) = \log_5 7$

4. Приравняем аргументы логарифмов:

$4x^2 + 5x + 1 = 7$

$4x^2 + 5x - 6 = 0$

5. Решим квадратное уравнение:

$D = 5^2 - 4 \cdot 4 \cdot (-6) = 25 + 96 = 121 = 11^2$

$x = \frac{-5 \pm 11}{8}$

$x_1 = \frac{-5+11}{8} = \frac{6}{8} = 3/4$

$x_2 = \frac{-5-11}{8} = \frac{-16}{8} = -2$

6. Проверим корни на соответствие ОДЗ ($x > -1/4$ или $x > -0.25$):

$x_1 = 3/4 = 0.75$ — удовлетворяет ОДЗ.

$x_2 = -2$ — не удовлетворяет ОДЗ.

Ответ: $\frac{3}{4}$.

Помогло решение? Оставьте отзыв в комментариях ниже.

Присоединяйтесь к Телеграм-группе @gdz_by_belarus

Присоединиться

Мы подготовили для вас ответ c подробным объяснением домашего задания по алгебре за 11 класс, для упражнения номер 16 расположенного на странице 73 к сборнику задач 2020 года издания для учащихся школ и гимназий.

Теперь на нашем сайте ГДЗ.ТОП вы всегда легко и бесплатно найдёте условие с правильным ответом на вопрос «Как решить ДЗ» и «Как сделать» задание по алгебре к упражнению №16 (с. 73), авторов: Арефьева (Ирина Глебовна), Пирютко (Ольга Николаевна), базовый и повышенный уровень обучения учебного пособия издательства Народная асвета.