Номер 10, страница 72 - гдз по алгебре 11 класс сборник задач Арефьева, Пирютко

Алгебра, 11 класс Сборник задач, авторы: Арефьева Ирина Глебовна, Пирютко Ольга Николаевна, издательство Народная асвета, Минск, 2020, белого цвета

Авторы: Арефьева И. Г., Пирютко О. Н.

Тип: Сборник задач

Издательство: Народная асвета

Год издания: 2020 - 2025

Уровень обучения: базовый и повышенный

Цвет обложки: белый с графиком

Допущено Министерством образования Республики Беларусь

Популярные ГДЗ в 11 классе

Глава 3. Логарифмическая функция. Параграф 9. Логарифмические уравнения - номер 10, страница 72.

№10 (с. 72)
Условие. №10 (с. 72)
скриншот условия
Алгебра, 11 класс Сборник задач, авторы: Арефьева Ирина Глебовна, Пирютко Ольга Николаевна, издательство Народная асвета, Минск, 2020, белого цвета, страница 72, номер 10, Условие

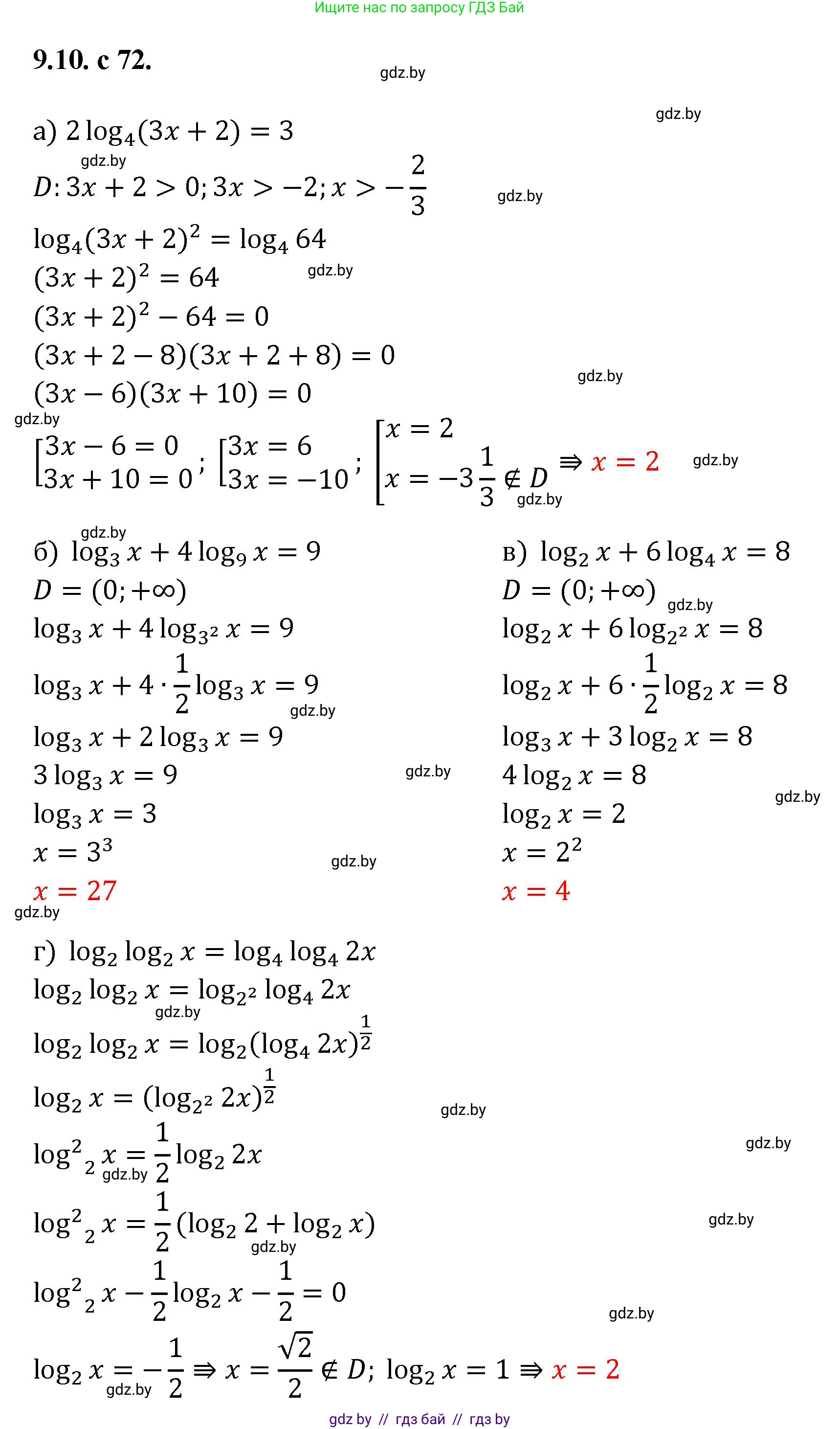
9.10. Решите уравнение:

а) $2\log_4 (3x + 2) = 3;$

б) $\log_3 x + 4\log_9 x = 9;$

в) $\log_2 x + 6\log_4 x = 8;$

г) $\log_2 \log_2 x = \log_4 \log_4 2x.$

Решение. №10 (с. 72)
Алгебра, 11 класс Сборник задач, авторы: Арефьева Ирина Глебовна, Пирютко Ольга Николаевна, издательство Народная асвета, Минск, 2020, белого цвета, страница 72, номер 10, Решение
Решение 2. №10 (с. 72)

а) $2\log_{4}(3x+2) = 3$

1. Найдем область допустимых значений (ОДЗ). Аргумент логарифма должен быть строго больше нуля:
$3x + 2 > 0$
$3x > -2$
$x > -\frac{2}{3}$

2. Разделим обе части уравнения на 2:
$\log_{4}(3x+2) = \frac{3}{2}$

3. По определению логарифма ($ \log_{a}b = c \Leftrightarrow a^c = b $):
$3x+2 = 4^{\frac{3}{2}}$

4. Вычислим правую часть:
$4^{\frac{3}{2}} = (\sqrt{4})^3 = 2^3 = 8$

5. Подставим значение и решим полученное линейное уравнение:
$3x + 2 = 8$
$3x = 8 - 2$
$3x = 6$
$x = 2$

6. Проверим, удовлетворяет ли корень ОДЗ ($x > -\frac{2}{3}$).
$2 > -\frac{2}{3}$. Корень подходит.

Ответ: 2.

б) $\log_{3}x + 4\log_{9}x = 9$

1. ОДЗ: $x > 0$.

2. Приведем все логарифмы к одному основанию 3, используя формулу перехода к новому основанию $\log_{a^k}b = \frac{1}{k}\log_{a}b$:
$\log_{9}x = \log_{3^2}x = \frac{1}{2}\log_{3}x$

3. Подставим это выражение в исходное уравнение:
$\log_{3}x + 4 \cdot (\frac{1}{2}\log_{3}x) = 9$

4. Упростим уравнение:
$\log_{3}x + 2\log_{3}x = 9$
$3\log_{3}x = 9$

5. Разделим обе части на 3:
$\log_{3}x = 3$

6. По определению логарифма:
$x = 3^3$
$x = 27$

7. Корень $x=27$ удовлетворяет ОДЗ ($27 > 0$).

Ответ: 27.

в) $\log_{2}x + 6\log_{4}x = 8$

1. ОДЗ: $x > 0$.

2. Приведем логарифм с основанием 4 к основанию 2:
$\log_{4}x = \log_{2^2}x = \frac{1}{2}\log_{2}x$

3. Подставим в уравнение:
$\log_{2}x + 6 \cdot (\frac{1}{2}\log_{2}x) = 8$

4. Упростим:
$\log_{2}x + 3\log_{2}x = 8$
$4\log_{2}x = 8$

5. Разделим обе части на 4:
$\log_{2}x = 2$

6. По определению логарифма:
$x = 2^2$
$x = 4$

7. Корень $x=4$ удовлетворяет ОДЗ ($4 > 0$).

Ответ: 4.

г) $\log_{2}\log_{2}x = \log_{4}\log_{4}2x$

1. Найдем ОДЗ. Все аргументы логарифмов должны быть положительными:
1) $x > 0$
2) $2x > 0 \implies x > 0$
3) $\log_{2}x > 0 \implies x > 2^0 \implies x > 1$
4) $\log_{4}2x > 0 \implies 2x > 4^0 \implies 2x > 1 \implies x > \frac{1}{2}$
Объединяя все условия, получаем ОДЗ: $x > 1$.

2. Приведем логарифмы в правой части к основанию 2:
$\log_{4}\log_{4}2x = \frac{\log_{2}(\log_{4}2x)}{\log_{2}4} = \frac{1}{2}\log_{2}(\log_{4}2x)$

3. Уравнение принимает вид:
$\log_{2}\log_{2}x = \frac{1}{2}\log_{2}(\log_{4}2x)$
$2\log_{2}\log_{2}x = \log_{2}(\log_{4}2x)$
$\log_{2}((\log_{2}x)^2) = \log_{2}(\log_{4}2x)$

4. Так как основания внешних логарифмов равны, приравниваем их аргументы:
$(\log_{2}x)^2 = \log_{4}2x$

5. Преобразуем правую часть к основанию 2:
$\log_{4}2x = \frac{\log_{2}2x}{\log_{2}4} = \frac{\log_{2}2 + \log_{2}x}{2} = \frac{1 + \log_{2}x}{2}$

6. Подставим это в уравнение:
$(\log_{2}x)^2 = \frac{1 + \log_{2}x}{2}$

7. Сделаем замену переменной. Пусть $t = \log_{2}x$. Учитывая ОДЗ ($x>1$), получаем, что $t = \log_2 x > \log_2 1 = 0$. Итак, $t > 0$.
$t^2 = \frac{1 + t}{2}$
$2t^2 = 1 + t$
$2t^2 - t - 1 = 0$

8. Решим квадратное уравнение. Дискриминант $D = (-1)^2 - 4 \cdot 2 \cdot (-1) = 1 + 8 = 9$.
$t_1 = \frac{1 + \sqrt{9}}{2 \cdot 2} = \frac{1 + 3}{4} = 1$
$t_2 = \frac{1 - \sqrt{9}}{2 \cdot 2} = \frac{1 - 3}{4} = -\frac{1}{2}$

9. Проверим корни по условию $t > 0$.
$t_1 = 1$ подходит.
$t_2 = -0.5$ не подходит.

10. Выполним обратную замену для $t_1$:
$\log_{2}x = 1$
$x = 2^1$
$x = 2$

11. Проверим корень $x=2$ по ОДЗ ($x > 1$).
$2 > 1$. Корень подходит.

Ответ: 2.

Помогло решение? Оставьте отзыв в комментариях ниже.

Присоединяйтесь к Телеграм-группе @gdz_by_belarus

Присоединиться

Мы подготовили для вас ответ c подробным объяснением домашего задания по алгебре за 11 класс, для упражнения номер 10 расположенного на странице 72 к сборнику задач 2020 года издания для учащихся школ и гимназий.

Теперь на нашем сайте ГДЗ.ТОП вы всегда легко и бесплатно найдёте условие с правильным ответом на вопрос «Как решить ДЗ» и «Как сделать» задание по алгебре к упражнению №10 (с. 72), авторов: Арефьева (Ирина Глебовна), Пирютко (Ольга Николаевна), базовый и повышенный уровень обучения учебного пособия издательства Народная асвета.