Номер 12, страница 72 - гдз по алгебре 11 класс сборник задач Арефьева, Пирютко

Алгебра, 11 класс Сборник задач, авторы: Арефьева Ирина Глебовна, Пирютко Ольга Николаевна, издательство Народная асвета, Минск, 2020, белого цвета

Авторы: Арефьева И. Г., Пирютко О. Н.

Тип: Сборник задач

Издательство: Народная асвета

Год издания: 2020 - 2025

Уровень обучения: базовый и повышенный

Цвет обложки: белый с графиком

Допущено Министерством образования Республики Беларусь

Популярные ГДЗ в 11 классе

Глава 3. Логарифмическая функция. Параграф 9. Логарифмические уравнения - номер 12, страница 72.

№12 (с. 72)
Условие. №12 (с. 72)
скриншот условия
Алгебра, 11 класс Сборник задач, авторы: Арефьева Ирина Глебовна, Пирютко Ольга Николаевна, издательство Народная асвета, Минск, 2020, белого цвета, страница 72, номер 12, Условие

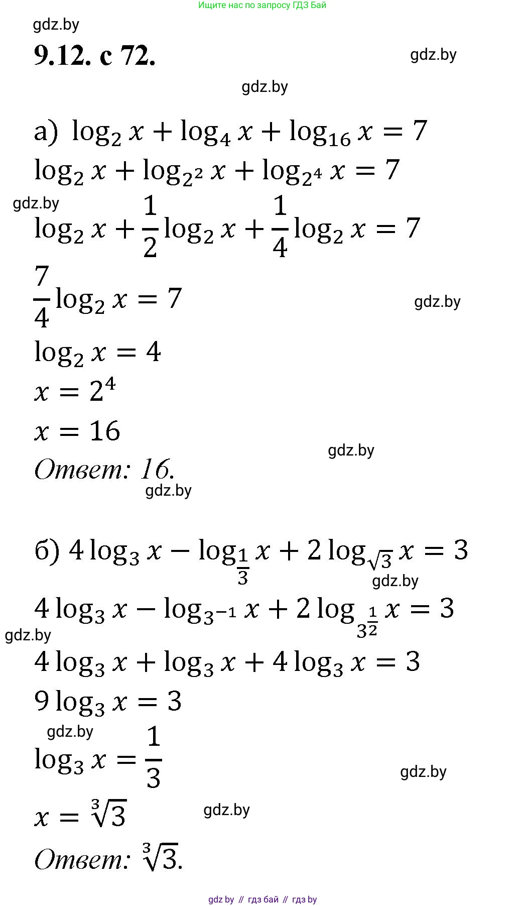
9.12. Решите уравнение:

a) $ \log_2 x + \log_4 x + \log_{16} x = 7; $

б) $ 4\log_3 x - \log_{\frac{1}{3}} x + 2\log_{\sqrt{3}} x = 3. $

Решение. №12 (с. 72)
Алгебра, 11 класс Сборник задач, авторы: Арефьева Ирина Глебовна, Пирютко Ольга Николаевна, издательство Народная асвета, Минск, 2020, белого цвета, страница 72, номер 12, Решение
Решение 2. №12 (с. 72)

а) $ \log_{2}{x} + \log_{4}{x} + \log_{16}{x} = 7 $

Область допустимых значений (ОДЗ): аргумент логарифма должен быть строго положительным, следовательно, $ x > 0 $.

Для решения уравнения приведем все логарифмы к одному основанию — 2. Воспользуемся свойством логарифма $ \log_{a^k}{b} = \frac{1}{k}\log_{a}{b} $.

$ \log_{4}{x} = \log_{2^2}{x} = \frac{1}{2}\log_{2}{x} $

$ \log_{16}{x} = \log_{2^4}{x} = \frac{1}{4}\log_{2}{x} $

Подставим полученные выражения в исходное уравнение:

$ \log_{2}{x} + \frac{1}{2}\log_{2}{x} + \frac{1}{4}\log_{2}{x} = 7 $

Вынесем общий множитель $ \log_{2}{x} $ за скобки и выполним сложение в скобках:

$ \log_{2}{x} \cdot (1 + \frac{1}{2} + \frac{1}{4}) = 7 $

$ \log_{2}{x} \cdot (\frac{4}{4} + \frac{2}{4} + \frac{1}{4}) = 7 $

$ \log_{2}{x} \cdot \frac{7}{4} = 7 $

Теперь найдем $ \log_{2}{x} $:

$ \log_{2}{x} = 7 : \frac{7}{4} = 7 \cdot \frac{4}{7} = 4 $

По определению логарифма находим $ x $:

$ x = 2^4 = 16 $

Полученное значение $ x = 16 $ удовлетворяет ОДЗ ($16 > 0$).

Ответ: 16.

б) $ 4\log_{3}{x} - \log_{\frac{1}{3}}{x} + 2\log_{\sqrt{3}}{x} = 3 $

Область допустимых значений (ОДЗ): $ x > 0 $.

Приведем все логарифмы к основанию 3, используя то же свойство $ \log_{a^k}{b} = \frac{1}{k}\log_{a}{b} $:

$ \log_{\frac{1}{3}}{x} = \log_{3^{-1}}{x} = \frac{1}{-1}\log_{3}{x} = -\log_{3}{x} $

$ \log_{\sqrt{3}}{x} = \log_{3^{1/2}}{x} = \frac{1}{1/2}\log_{3}{x} = 2\log_{3}{x} $

Подставим преобразованные логарифмы в исходное уравнение:

$ 4\log_{3}{x} - (-\log_{3}{x}) + 2(2\log_{3}{x}) = 3 $

$ 4\log_{3}{x} + \log_{3}{x} + 4\log_{3}{x} = 3 $

Сложим коэффициенты при $ \log_{3}{x} $:

$ (4 + 1 + 4)\log_{3}{x} = 3 $

$ 9\log_{3}{x} = 3 $

Отсюда:

$ \log_{3}{x} = \frac{3}{9} = \frac{1}{3} $

По определению логарифма находим $ x $:

$ x = 3^{1/3} = \sqrt[3]{3} $

Полученное значение $ x = \sqrt[3]{3} $ удовлетворяет ОДЗ ($ \sqrt[3]{3} > 0 $).

Ответ: $ \sqrt[3]{3} $.

Помогло решение? Оставьте отзыв в комментариях ниже.

Присоединяйтесь к Телеграм-группе @gdz_by_belarus

Присоединиться

Мы подготовили для вас ответ c подробным объяснением домашего задания по алгебре за 11 класс, для упражнения номер 12 расположенного на странице 72 к сборнику задач 2020 года издания для учащихся школ и гимназий.

Теперь на нашем сайте ГДЗ.ТОП вы всегда легко и бесплатно найдёте условие с правильным ответом на вопрос «Как решить ДЗ» и «Как сделать» задание по алгебре к упражнению №12 (с. 72), авторов: Арефьева (Ирина Глебовна), Пирютко (Ольга Николаевна), базовый и повышенный уровень обучения учебного пособия издательства Народная асвета.