Номер 41, страница 75 - гдз по алгебре 11 класс сборник задач Арефьева, Пирютко

Алгебра, 11 класс Сборник задач, авторы: Арефьева Ирина Глебовна, Пирютко Ольга Николаевна, издательство Народная асвета, Минск, 2020, белого цвета

Авторы: Арефьева И. Г., Пирютко О. Н.

Тип: Сборник задач

Издательство: Народная асвета

Год издания: 2020 - 2025

Уровень обучения: базовый и повышенный

Цвет обложки: белый с графиком

Допущено Министерством образования Республики Беларусь

Популярные ГДЗ в 11 классе

Глава 3. Логарифмическая функция. Параграф 9. Логарифмические уравнения - номер 41, страница 75.

№41 (с. 75)
Условие. №41 (с. 75)
скриншот условия
Алгебра, 11 класс Сборник задач, авторы: Арефьева Ирина Глебовна, Пирютко Ольга Николаевна, издательство Народная асвета, Минск, 2020, белого цвета, страница 75, номер 41, Условие

9.41. Решите уравнение:

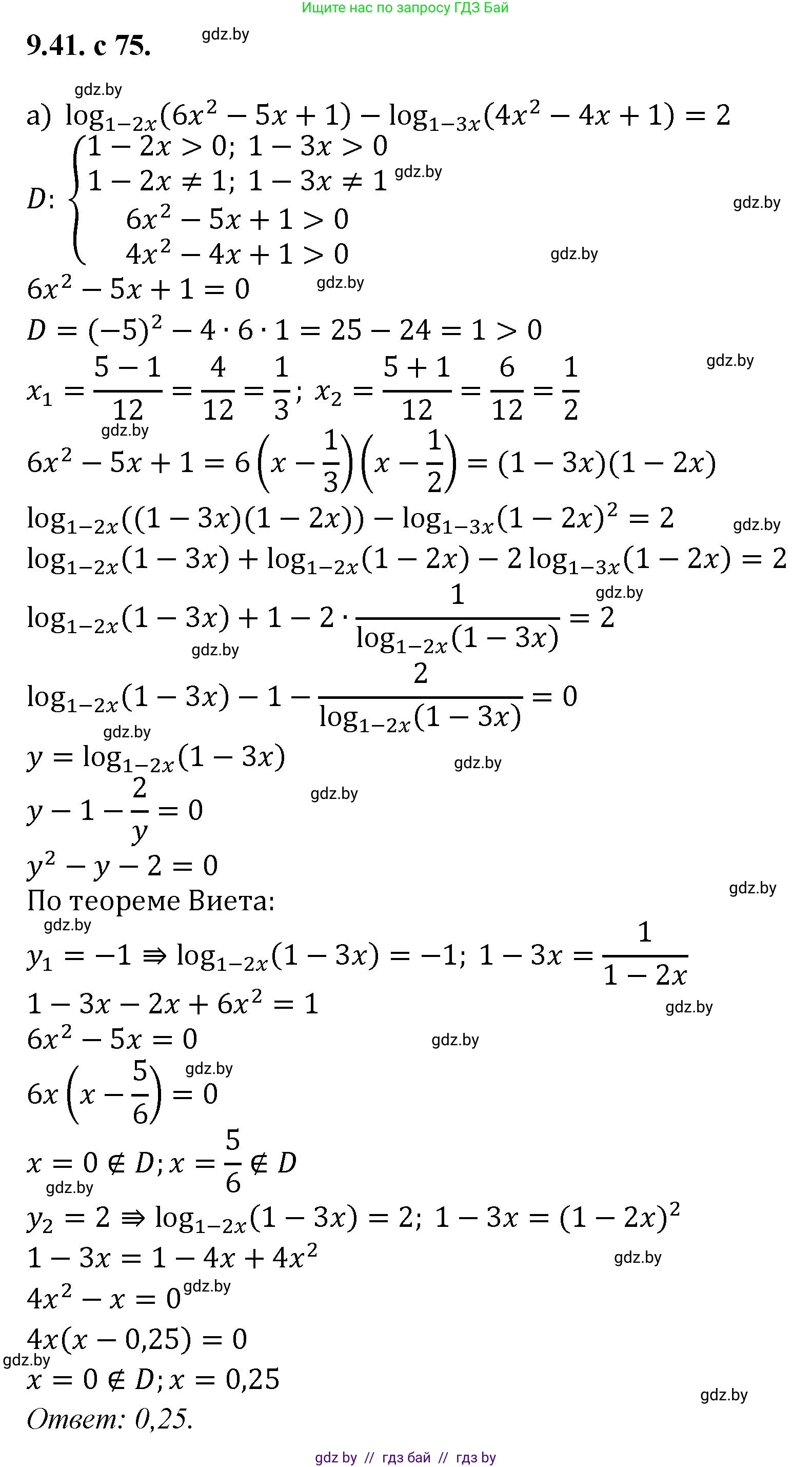
a) $log_{1-2x} (6x^2 - 5x + 1) - log_{1-3x} (4x^2 - 4x + 1) = 2;$

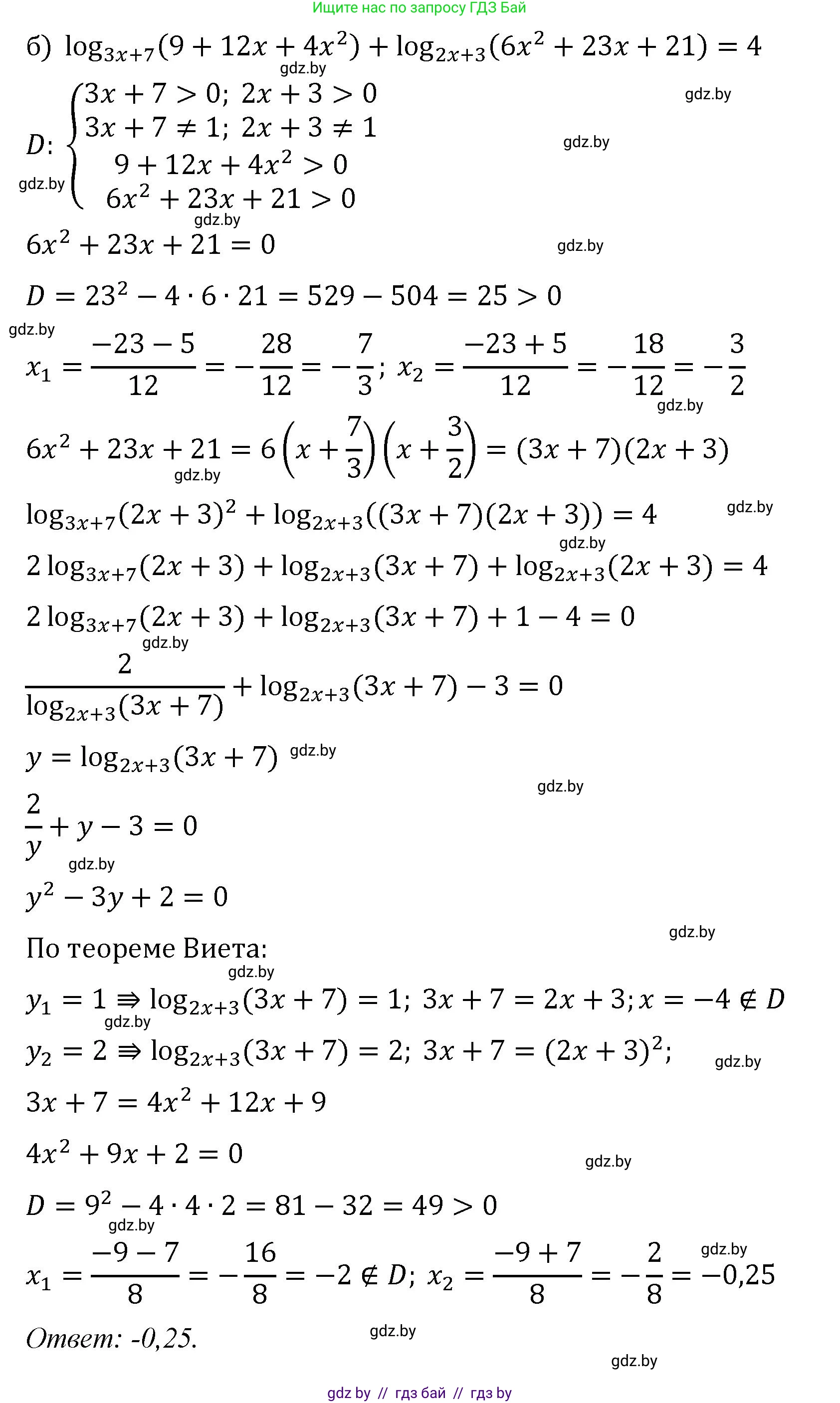
б) $log_{3x+7} (9 + 12x + 4x^2) + log_{2x+3} (6x^2 + 23x + 21) = 4.$

Решение. №41 (с. 75)
Алгебра, 11 класс Сборник задач, авторы: Арефьева Ирина Глебовна, Пирютко Ольга Николаевна, издательство Народная асвета, Минск, 2020, белого цвета, страница 75, номер 41, Решение Алгебра, 11 класс Сборник задач, авторы: Арефьева Ирина Глебовна, Пирютко Ольга Николаевна, издательство Народная асвета, Минск, 2020, белого цвета, страница 75, номер 41, Решение (продолжение 2)
Решение 2. №41 (с. 75)

a) $ \log_{1-2x}(6x^2 - 5x + 1) - \log_{1-3x}(4x^2 - 4x + 1) = 2 $

1. Найдем область допустимых значений (ОДЗ). Для логарифма $ \log_b(a) $ должны выполняться условия: $ a > 0 $, $ b > 0 $, $ b \neq 1 $.

Для первого логарифма:

  • Основание: $ 1 - 2x > 0 \Rightarrow 2x < 1 \Rightarrow x < 1/2 $.
  • Основание: $ 1 - 2x \neq 1 \Rightarrow -2x \neq 0 \Rightarrow x \neq 0 $.
  • Аргумент: $ 6x^2 - 5x + 1 > 0 $. Разложим на множители: $ 6(x - 1/2)(x - 1/3) > 0 $, или $ (2x - 1)(3x - 1) > 0 $. Решение этого неравенства: $ x \in (-\infty, 1/3) \cup (1/2, +\infty) $.

Для второго логарифма:

  • Основание: $ 1 - 3x > 0 \Rightarrow 3x < 1 \Rightarrow x < 1/3 $.
  • Основание: $ 1 - 3x \neq 1 \Rightarrow -3x \neq 0 \Rightarrow x \neq 0 $.
  • Аргумент: $ 4x^2 - 4x + 1 > 0 \Rightarrow (2x - 1)^2 > 0 $. Это верно для всех $ x $, кроме $ x = 1/2 $.

Пересекая все условия, получаем ОДЗ: $ x \in (-\infty, 0) \cup (0, 1/3) $.

2. Упростим уравнение. Заметим, что аргументы логарифмов можно выразить через их основания:

  • $ 6x^2 - 5x + 1 = (2x-1)(3x-1) = (-(1-2x))(-(1-3x)) = (1-2x)(1-3x) $
  • $ 4x^2 - 4x + 1 = (2x-1)^2 = (-(1-2x))^2 = (1-2x)^2 $

Подставим это в исходное уравнение:

$ \log_{1-2x}((1-2x)(1-3x)) - \log_{1-3x}((1-2x)^2) = 2 $

Используем свойства логарифмов $ \log_b(ac) = \log_b a + \log_b c $ и $ \log_b(a^n) = n \log_b a $:

$ (\log_{1-2x}(1-2x) + \log_{1-2x}(1-3x)) - 2\log_{1-3x}(1-2x) = 2 $

$ 1 + \log_{1-2x}(1-3x) - 2\log_{1-3x}(1-2x) = 2 $

$ \log_{1-2x}(1-3x) - 2\log_{1-3x}(1-2x) = 1 $

3. Решим полученное уравнение. Сделаем замену. Пусть $ y = \log_{1-2x}(1-3x) $. Тогда, используя формулу перехода к новому основанию $ \log_b a = 1/\log_a b $, получаем $ \log_{1-3x}(1-2x) = 1/y $.

$ y - \frac{2}{y} = 1 $

Умножим обе части на $ y $ (где $ y \neq 0 $):

$ y^2 - 2 = y $

$ y^2 - y - 2 = 0 $

По теореме Виета, корни этого квадратного уравнения: $ y_1 = 2 $ и $ y_2 = -1 $.

4. Вернемся к исходной переменной $ x $.

Случай 1: $ y = 2 $

$ \log_{1-2x}(1-3x) = 2 $

$ (1-2x)^2 = 1-3x $

$ 1 - 4x + 4x^2 = 1 - 3x $

$ 4x^2 - x = 0 $

$ x(4x - 1) = 0 $

Корни: $ x_1 = 0 $ (не входит в ОДЗ) и $ x_2 = 1/4 $. Корень $ x = 1/4 $ удовлетворяет ОДЗ, так как $ 0 < 1/4 < 1/3 $.

Случай 2: $ y = -1 $

$ \log_{1-2x}(1-3x) = -1 $

$ (1-2x)^{-1} = 1-3x $

$ \frac{1}{1-2x} = 1-3x $

$ 1 = (1-2x)(1-3x) $

$ 1 = 1 - 5x + 6x^2 $

$ 6x^2 - 5x = 0 $

$ x(6x - 5) = 0 $

Корни: $ x_3 = 0 $ (не входит в ОДЗ) и $ x_4 = 5/6 $. Корень $ x = 5/6 $ не удовлетворяет ОДЗ, так как $ 5/6 > 1/3 $.

Таким образом, единственным решением является $ x = 1/4 $.

Ответ: $ x = \frac{1}{4} $.


б) $ \log_{3x+7}(9 + 12x + 4x^2) + \log_{2x+3}(6x^2 + 23x + 21) = 4 $

1. Найдем область допустимых значений (ОДЗ).

  • Основание: $ 3x + 7 > 0 \Rightarrow x > -7/3 $.
  • Основание: $ 3x + 7 \neq 1 \Rightarrow 3x \neq -6 \Rightarrow x \neq -2 $.
  • Основание: $ 2x + 3 > 0 \Rightarrow x > -3/2 $.
  • Основание: $ 2x + 3 \neq 1 \Rightarrow 2x \neq -2 \Rightarrow x \neq -1 $.
  • Аргумент: $ 9 + 12x + 4x^2 = (2x+3)^2 > 0 $, что выполняется при $ x \neq -3/2 $ (это условие уже учтено в $ 2x+3>0 $).
  • Аргумент: $ 6x^2 + 23x + 21 > 0 $. Разложим на множители: $ (2x+3)(3x+7) > 0 $. Так как из условий на основания логарифмов $ 2x+3>0 $ и $ 3x+7>0 $, это неравенство выполняется.

Объединяя условия, получаем ОДЗ: $ x > -3/2 $ и $ x \neq -1 $, то есть $ x \in (-3/2, -1) \cup (-1, +\infty) $.

2. Упростим уравнение. Аргументы логарифмов представляют собой полные квадраты и произведения выражений, стоящих в основаниях:

  • $ 9 + 12x + 4x^2 = (2x+3)^2 $
  • $ 6x^2 + 23x + 21 = (2x+3)(3x+7) $

Подставим в уравнение:

$ \log_{3x+7}((2x+3)^2) + \log_{2x+3}((2x+3)(3x+7)) = 4 $

Используем свойства логарифмов:

$ 2\log_{3x+7}(2x+3) + (\log_{2x+3}(2x+3) + \log_{2x+3}(3x+7)) = 4 $

$ 2\log_{3x+7}(2x+3) + 1 + \log_{2x+3}(3x+7) = 4 $

$ 2\log_{3x+7}(2x+3) + \log_{2x+3}(3x+7) = 3 $

3. Решим полученное уравнение. Сделаем замену. Пусть $ y = \log_{2x+3}(3x+7) $. Тогда $ \log_{3x+7}(2x+3) = 1/y $.

$ \frac{2}{y} + y = 3 $

Умножим обе части на $ y $ (где $ y \neq 0 $):

$ 2 + y^2 = 3y $

$ y^2 - 3y + 2 = 0 $

По теореме Виета, корни: $ y_1 = 1 $ и $ y_2 = 2 $.

4. Вернемся к исходной переменной $ x $.

Случай 1: $ y = 1 $

$ \log_{2x+3}(3x+7) = 1 $

$ 2x+3 = 3x+7 $

$ -x = 4 \Rightarrow x = -4 $

Этот корень не входит в ОДЗ, так как $ -4 < -3/2 $.

Случай 2: $ y = 2 $

$ \log_{2x+3}(3x+7) = 2 $

$ (2x+3)^2 = 3x+7 $

$ 4x^2 + 12x + 9 = 3x + 7 $

$ 4x^2 + 9x + 2 = 0 $

Решим квадратное уравнение: $ D = 9^2 - 4 \cdot 4 \cdot 2 = 81 - 32 = 49 = 7^2 $.

$ x = \frac{-9 \pm 7}{2 \cdot 4} $

Корни: $ x_1 = \frac{-9+7}{8} = \frac{-2}{8} = -1/4 $. Этот корень входит в ОДЗ.

$ x_2 = \frac{-9-7}{8} = \frac{-16}{8} = -2 $. Этот корень не входит в ОДЗ.

Единственным решением является $ x = -1/4 $.

Ответ: $ x = -\frac{1}{4} $.

Помогло решение? Оставьте отзыв в комментариях ниже.

Присоединяйтесь к Телеграм-группе @gdz_by_belarus

Присоединиться

Мы подготовили для вас ответ c подробным объяснением домашего задания по алгебре за 11 класс, для упражнения номер 41 расположенного на странице 75 к сборнику задач 2020 года издания для учащихся школ и гимназий.

Теперь на нашем сайте ГДЗ.ТОП вы всегда легко и бесплатно найдёте условие с правильным ответом на вопрос «Как решить ДЗ» и «Как сделать» задание по алгебре к упражнению №41 (с. 75), авторов: Арефьева (Ирина Глебовна), Пирютко (Ольга Николаевна), базовый и повышенный уровень обучения учебного пособия издательства Народная асвета.