Номер 29, страница 94 - гдз по алгебре 11 класс сборник задач Арефьева, Пирютко

Алгебра, 11 класс Сборник задач, авторы: Арефьева Ирина Глебовна, Пирютко Ольга Николаевна, издательство Народная асвета, Минск, 2020, белого цвета

Авторы: Арефьева И. Г., Пирютко О. Н.

Тип: Сборник задач

Издательство: Народная асвета

Год издания: 2020 - 2025

Уровень обучения: базовый и повышенный

Цвет обложки: белый с графиком

Допущено Министерством образования Республики Беларусь

Популярные ГДЗ в 11 классе

Глава 3. Логарифмическая функция. Параграф 10. Логарифмические неравенства - номер 29, страница 94.

№29 (с. 94)
Условие. №29 (с. 94)
скриншот условия
Алгебра, 11 класс Сборник задач, авторы: Арефьева Ирина Глебовна, Пирютко Ольга Николаевна, издательство Народная асвета, Минск, 2020, белого цвета, страница 94, номер 29, Условие

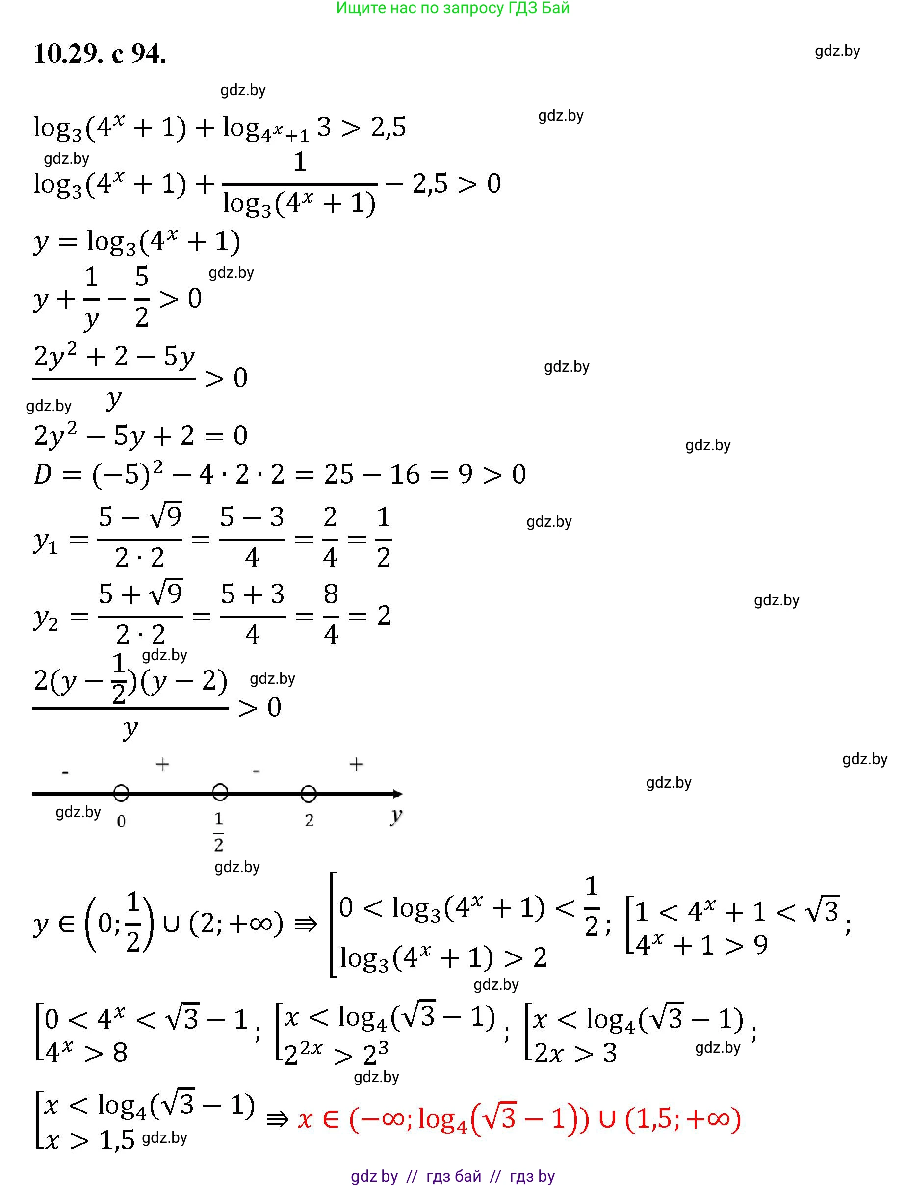
10.29. Решите неравенство $\log_3(4^x + 1) + \log_{4^x + 1} 3 > 2,5$.

Решение. №29 (с. 94)
Алгебра, 11 класс Сборник задач, авторы: Арефьева Ирина Глебовна, Пирютко Ольга Николаевна, издательство Народная асвета, Минск, 2020, белого цвета, страница 94, номер 29, Решение
Решение 2. №29 (с. 94)

Исходное неравенство:

$$ \log_3(4^x + 1) + \log_{4^x+1}(3) > 2,5 $$

Определение области допустимых значений (ОДЗ) Для существования логарифмов необходимо, чтобы их аргументы были строго положительны, а основания были строго положительны и не равны единице.

  • Аргумент $4^x + 1$: так как показательная функция $4^x$ всегда больше нуля ($4^x > 0$) для любого действительного $x$, то и сумма $4^x + 1$ всегда будет больше единицы ($4^x + 1 > 1$). Это удовлетворяет условию положительности.
  • Основание второго логарифма $4^x + 1$: как было показано выше, $4^x + 1 > 1$. Это означает, что основание положительно и не равно 1.
  • Основание первого логарифма равно 3, а аргумент второго логарифма равен 3, что удовлетворяет всем условиям.

Следовательно, область допустимых значений для данного неравенства — все действительные числа, $x \in \mathbb{R}$.

Преобразование неравенства и введение замены

Используем формулу перехода к новому основанию для второго логарифма: $\log_b a = \frac{1}{\log_a b}$.

$$ \log_{4^x+1}(3) = \frac{1}{\log_3(4^x+1)} $$

Теперь неравенство можно переписать в виде:

$$ \log_3(4^x + 1) + \frac{1}{\log_3(4^x+1)} > 2,5 $$

Для упрощения введем замену. Пусть $t = \log_3(4^x + 1)$.

Поскольку $4^x + 1 > 1$, то $t = \log_3(4^x + 1) > \log_3(1) = 0$. Таким образом, мы имеем ограничение $t > 0$.

Подставив $t$ в неравенство, получаем:

$$ t + \frac{1}{t} > 2,5 $$

Решение неравенства относительно новой переменной

Перенесем 2,5 в левую часть и приведем к общему знаменателю:

$$ t + \frac{1}{t} - \frac{5}{2} > 0 $$

$$ \frac{2t^2 + 2 - 5t}{2t} > 0 $$

$$ \frac{2t^2 - 5t + 2}{t} > 0 $$

Решим это неравенство методом интервалов. Сначала найдем корни числителя и знаменателя.

Корень знаменателя: $t=0$.

Корни числителя $2t^2 - 5t + 2 = 0$. Найдем их через дискриминант:

$D = b^2 - 4ac = (-5)^2 - 4 \cdot 2 \cdot 2 = 25 - 16 = 9 = 3^2$.

$$ t_1 = \frac{-b - \sqrt{D}}{2a} = \frac{5 - 3}{4} = \frac{2}{4} = \frac{1}{2} $$

$$ t_2 = \frac{-b + \sqrt{D}}{2a} = \frac{5 + 3}{4} = \frac{8}{4} = 2 $$

Наносим точки $0, \frac{1}{2}, 2$ на числовую ось и определяем знаки выражения $\frac{2(t-1/2)(t-2)}{t}$ на полученных интервалах. Учитывая ограничение $t > 0$, рассматриваем интервалы $(0; \frac{1}{2})$, $(\frac{1}{2}; 2)$ и $(2; +\infty)$.

  • При $t \in (2; +\infty)$ (например, $t=3$): $\frac{2(3-1/2)(3-2)}{3} > 0$. Интервал подходит.
  • При $t \in (\frac{1}{2}; 2)$ (например, $t=1$): $\frac{2(1-1/2)(1-2)}{1} < 0$. Интервал не подходит.
  • При $t \in (0; \frac{1}{2})$ (например, $t=1/4$): $\frac{2(1/4-1/2)(1/4-2)}{1/4} > 0$. Интервал подходит.

Решением для $t$ является совокупность: $0 < t < \frac{1}{2}$ или $t > 2$.

Обратная замена и нахождение x

Теперь вернемся к исходной переменной $x$. Мы получили совокупность двух неравенств:

$$ \left[ \begin{gathered} \log_3(4^x+1) > 2 \\ 0 < \log_3(4^x+1) < \frac{1}{2} \end{gathered} \right. $$

1. Решим первое неравенство:

$$ \log_3(4^x+1) > 2 $$

Представим правую часть как логарифм по основанию 3: $2 = \log_3(3^2) = \log_3(9)$.

$$ \log_3(4^x+1) > \log_3(9) $$

Так как основание логарифма $3 > 1$, то при переходе к аргументам знак неравенства сохраняется:

$$ 4^x+1 > 9 $$

$$ 4^x > 8 $$

Приведем обе части к основанию 2: $(2^2)^x > 2^3 \Rightarrow 2^{2x} > 2^3$.

Так как основание степени $2 > 1$, знак неравенства сохраняется:

$$ 2x > 3 \Rightarrow x > \frac{3}{2} $$

2. Решим второе (двойное) неравенство:

$$ 0 < \log_3(4^x+1) < \frac{1}{2} $$

Представим границы в виде логарифмов по основанию 3: $0 = \log_3(1)$ и $\frac{1}{2} = \log_3(3^{1/2}) = \log_3(\sqrt{3})$.

$$ \log_3(1) < \log_3(4^x+1) < \log_3(\sqrt{3}) $$

Так как основание $3 > 1$, переходим к аргументам:

$$ 1 < 4^x+1 < \sqrt{3} $$

Вычтем 1 из всех частей неравенства:

$$ 0 < 4^x < \sqrt{3}-1 $$

Неравенство $4^x > 0$ верно для всех $x$. Решим оставшуюся часть $4^x < \sqrt{3}-1$.

Прологарифмируем по основанию 4. Так как $4 > 1$, знак неравенства сохраняется:

$$ \log_4(4^x) < \log_4(\sqrt{3}-1) $$

$$ x < \log_4(\sqrt{3}-1) $$

Итоговый ответ

Объединяя полученные решения, получаем итоговый ответ. Неправильную дробь $\frac{3}{2}$ представляем в виде смешанного числа $1\frac{1}{2}$.

Ответ: $x \in (-\infty; \log_4(\sqrt{3}-1)) \cup (1\frac{1}{2}; +\infty)$.

Помогло решение? Оставьте отзыв в комментариях ниже.

Присоединяйтесь к Телеграм-группе @gdz_by_belarus

Присоединиться

Мы подготовили для вас ответ c подробным объяснением домашего задания по алгебре за 11 класс, для упражнения номер 29 расположенного на странице 94 к сборнику задач 2020 года издания для учащихся школ и гимназий.

Теперь на нашем сайте ГДЗ.ТОП вы всегда легко и бесплатно найдёте условие с правильным ответом на вопрос «Как решить ДЗ» и «Как сделать» задание по алгебре к упражнению №29 (с. 94), авторов: Арефьева (Ирина Глебовна), Пирютко (Ольга Николаевна), базовый и повышенный уровень обучения учебного пособия издательства Народная асвета.