Номер 30, страница 94 - гдз по алгебре 11 класс сборник задач Арефьева, Пирютко

Алгебра, 11 класс Сборник задач, авторы: Арефьева Ирина Глебовна, Пирютко Ольга Николаевна, издательство Народная асвета, Минск, 2020, белого цвета

Авторы: Арефьева И. Г., Пирютко О. Н.

Тип: Сборник задач

Издательство: Народная асвета

Год издания: 2020 - 2025

Уровень обучения: базовый и повышенный

Цвет обложки: белый с графиком

Допущено Министерством образования Республики Беларусь

Популярные ГДЗ в 11 классе

Глава 3. Логарифмическая функция. Параграф 10. Логарифмические неравенства - номер 30, страница 94.

№30 (с. 94)
Условие. №30 (с. 94)
скриншот условия
Алгебра, 11 класс Сборник задач, авторы: Арефьева Ирина Глебовна, Пирютко Ольга Николаевна, издательство Народная асвета, Минск, 2020, белого цвета, страница 94, номер 30, Условие

10.30. Найдите все решения неравенства:

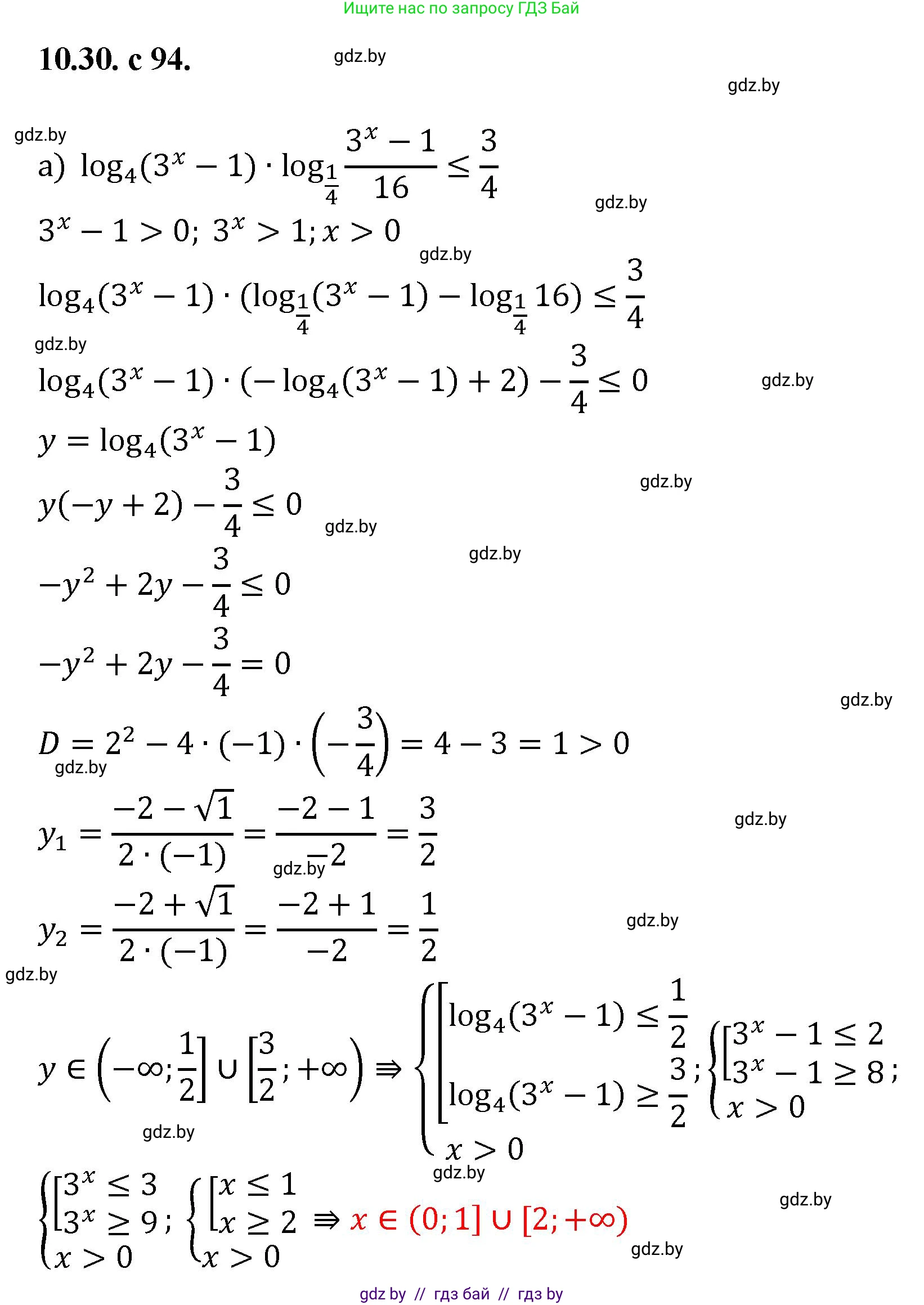
a) $log_4(3^x - 1) \cdot log_{\frac{1}{4}} \frac{3^x - 1}{16} \leq \frac{3}{4}$;

б) $log_{\sqrt{2}}(5^x - 1) \cdot log_{\sqrt{2}} \frac{2\sqrt{2}}{5^x - 1} > 2$.

Решение. №30 (с. 94)
Алгебра, 11 класс Сборник задач, авторы: Арефьева Ирина Глебовна, Пирютко Ольга Николаевна, издательство Народная асвета, Минск, 2020, белого цвета, страница 94, номер 30, Решение Алгебра, 11 класс Сборник задач, авторы: Арефьева Ирина Глебовна, Пирютко Ольга Николаевна, издательство Народная асвета, Минск, 2020, белого цвета, страница 94, номер 30, Решение (продолжение 2)
Решение 2. №30 (с. 94)

a) $\log_{4}(3^x - 1) \cdot \log_{\frac{1}{4}}\frac{3^x - 1}{16} \le \frac{3}{4}$

1. Найдем область допустимых значений (ОДЗ). Аргументы логарифмов должны быть строго положительными:$3^x - 1 > 0 \implies 3^x > 1 \implies 3^x > 3^0 \implies x > 0$.
Второй аргумент $\frac{3^x - 1}{16}$ также будет положительным, так как числитель и знаменатель положительны при $x > 0$. Итак, ОДЗ: $x \in (0, +\infty)$.

2. Преобразуем неравенство. Приведем логарифмы к одному основанию 4. Используем формулу перехода к новому основанию и свойства логарифма:$\log_{\frac{1}{4}} a = \log_{4^{-1}} a = -\log_4 a$.
$\log_{\frac{1}{4}}\frac{3^x - 1}{16} = -\log_{4}\left(\frac{3^x - 1}{16}\right) = -(\log_{4}(3^x - 1) - \log_{4}16) = -(\log_{4}(3^x - 1) - 2) = 2 - \log_{4}(3^x - 1)$.

3. Подставим преобразованное выражение в исходное неравенство:$\log_{4}(3^x - 1) \cdot (2 - \log_{4}(3^x - 1)) \le \frac{3}{4}$.

4. Сделаем замену переменной. Пусть $t = \log_{4}(3^x - 1)$. Неравенство примет вид:$t(2 - t) \le \frac{3}{4}$$2t - t^2 \le \frac{3}{4}$$t^2 - 2t + \frac{3}{4} \ge 0$.

5. Решим квадратное неравенство. Найдем корни уравнения $t^2 - 2t + \frac{3}{4} = 0$. Умножим на 4 для удобства:$4t^2 - 8t + 3 = 0$. Дискриминант: $D = (-8)^2 - 4 \cdot 4 \cdot 3 = 64 - 48 = 16$. Корни: $t = \frac{8 \pm \sqrt{16}}{8} = \frac{8 \pm 4}{8}$.$t_1 = \frac{8 - 4}{8} = \frac{4}{8} = \frac{1}{2}$.$t_2 = \frac{8 + 4}{8} = \frac{12}{8} = \frac{3}{2}$. Так как парабола $y = t^2 - 2t + \frac{3}{4}$ направлена ветвями вверх, неравенство выполняется при $t \le t_1$ или $t \ge t_2$.$t \le \frac{1}{2}$ или $t \ge \frac{3}{2}$.

6. Вернемся к исходной переменной $x$:
Случай 1: $\log_{4}(3^x - 1) \le \frac{1}{2}$. Так как основание логарифма $4 > 1$, знак неравенства сохраняется:$3^x - 1 \le 4^{\frac{1}{2}}$$3^x - 1 \le 2$$3^x \le 3^1 \implies x \le 1$.
Случай 2: $\log_{4}(3^x - 1) \ge \frac{3}{2}$.$3^x - 1 \ge 4^{\frac{3}{2}} = (4^{\frac{1}{2}})^3 = 2^3 = 8$$3^x - 1 \ge 8$$3^x \ge 9$$3^x \ge 3^2 \implies x \ge 2$.

7. Учтем ОДЗ ($x > 0$):Из $x \le 1$ и $x > 0$ получаем $0 < x \le 1$. Из $x \ge 2$ и $x > 0$ получаем $x \ge 2$. Объединяя решения, получаем итоговый ответ.
Ответ: $x \in (0, 1] \cup [2, +\infty)$.


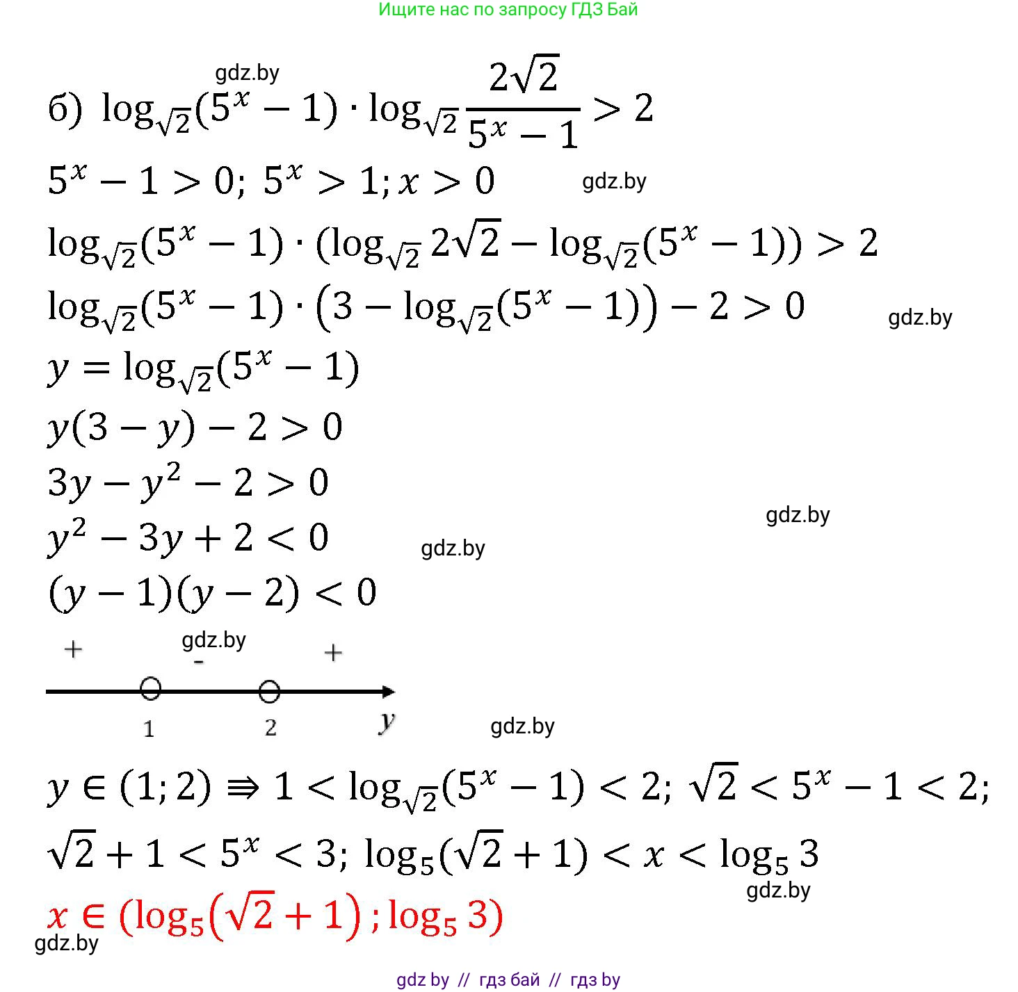
б) $\log_{\sqrt{2}}(5^x - 1) \cdot \log_{\sqrt{2}}\frac{2\sqrt{2}}{5^x - 1} > 2$

1. Найдем область допустимых значений (ОДЗ):$5^x - 1 > 0 \implies 5^x > 1 \implies 5^x > 5^0 \implies x > 0$. ОДЗ: $x \in (0, +\infty)$.

2. Преобразуем второй логарифм, используя свойство логарифма частного:$\log_{\sqrt{2}}\frac{2\sqrt{2}}{5^x - 1} = \log_{\sqrt{2}}(2\sqrt{2}) - \log_{\sqrt{2}}(5^x - 1)$. Вычислим $\log_{\sqrt{2}}(2\sqrt{2})$. Так как $2\sqrt{2} = (\sqrt{2})^2 \cdot \sqrt{2} = (\sqrt{2})^3$, то:$\log_{\sqrt{2}}(2\sqrt{2}) = \log_{\sqrt{2}}((\sqrt{2})^3) = 3$. Таким образом, второй множитель равен $3 - \log_{\sqrt{2}}(5^x - 1)$.

3. Подставим в исходное неравенство:$\log_{\sqrt{2}}(5^x - 1) \cdot (3 - \log_{\sqrt{2}}(5^x - 1)) > 2$.

4. Сделаем замену переменной. Пусть $t = \log_{\sqrt{2}}(5^x - 1)$. Неравенство примет вид:$t(3 - t) > 2$$3t - t^2 > 2$$t^2 - 3t + 2 < 0$.

5. Решим квадратное неравенство. Найдем корни уравнения $t^2 - 3t + 2 = 0$. По теореме Виета, корни $t_1 = 1, t_2 = 2$. Так как парабола $y = t^2 - 3t + 2$ направлена ветвями вверх, неравенство выполняется между корнями:$1 < t < 2$.

6. Вернемся к исходной переменной $x$:$1 < \log_{\sqrt{2}}(5^x - 1) < 2$. Так как основание логарифма $\sqrt{2} > 1$, знаки неравенства сохраняются при потенцировании:$(\sqrt{2})^1 < 5^x - 1 < (\sqrt{2})^2$$\sqrt{2} < 5^x - 1 < 2$. Прибавим 1 ко всем частям двойного неравенства:$1 + \sqrt{2} < 5^x < 3$.

7. Прологарифмируем все части по основанию 5. Так как $5 > 1$, знаки неравенства сохраняются:$\log_5(1 + \sqrt{2}) < \log_5(5^x) < \log_5(3)$$\log_5(1 + \sqrt{2}) < x < \log_5(3)$. Решение удовлетворяет ОДЗ ($x > 0$), так как $1 + \sqrt{2} > 1$, и следовательно, $\log_5(1 + \sqrt{2}) > \log_5(1) = 0$.
Ответ: $x \in (\log_5(1 + \sqrt{2}); \log_5(3))$.

Помогло решение? Оставьте отзыв в комментариях ниже.

Присоединяйтесь к Телеграм-группе @gdz_by_belarus

Присоединиться

Мы подготовили для вас ответ c подробным объяснением домашего задания по алгебре за 11 класс, для упражнения номер 30 расположенного на странице 94 к сборнику задач 2020 года издания для учащихся школ и гимназий.

Теперь на нашем сайте ГДЗ.ТОП вы всегда легко и бесплатно найдёте условие с правильным ответом на вопрос «Как решить ДЗ» и «Как сделать» задание по алгебре к упражнению №30 (с. 94), авторов: Арефьева (Ирина Глебовна), Пирютко (Ольга Николаевна), базовый и повышенный уровень обучения учебного пособия издательства Народная асвета.