Номер 34, страница 138 - гдз по алгебре 11 класс сборник задач Арефьева, Пирютко

Алгебра, 11 класс Сборник задач, авторы: Арефьева Ирина Глебовна, Пирютко Ольга Николаевна, издательство Народная асвета, Минск, 2020, белого цвета

Авторы: Арефьева И. Г., Пирютко О. Н.

Тип: Сборник задач

Издательство: Народная асвета

Год издания: 2020 - 2025

Уровень обучения: базовый и повышенный

Цвет обложки: белый с графиком

Допущено Министерством образования Республики Беларусь

Популярные ГДЗ в 11 классе

Глава 4. Системы уравнений и неравенств. Параграф 14. Задачи с параметрами. Линейные уравнения с параметрами - номер 34, страница 138.

№34 (с. 138)
Условие. №34 (с. 138)
скриншот условия
Алгебра, 11 класс Сборник задач, авторы: Арефьева Ирина Глебовна, Пирютко Ольга Николаевна, издательство Народная асвета, Минск, 2020, белого цвета, страница 138, номер 34, Условие

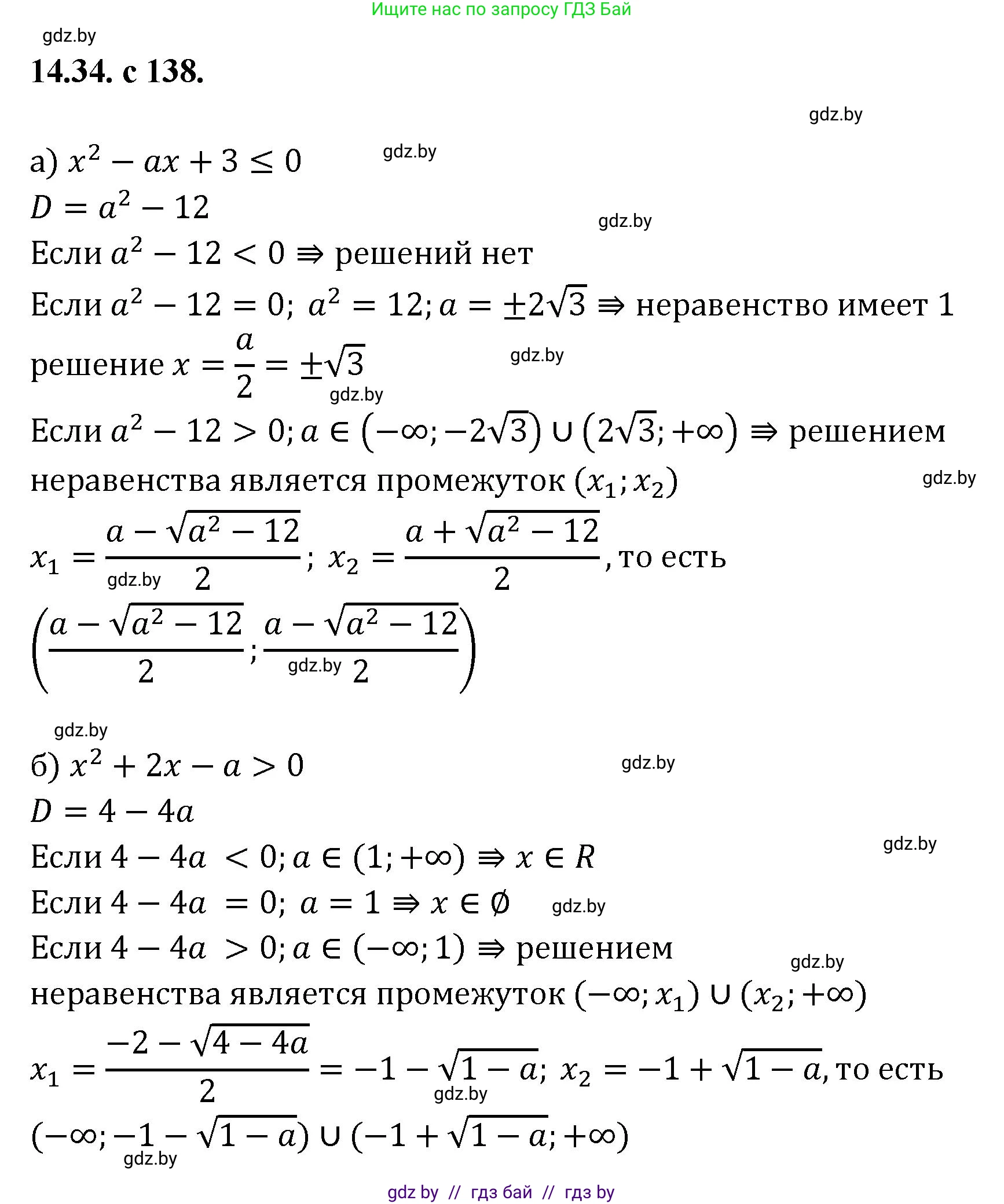
14.34. Решите относительно x неравенство:

а) $x^2 - ax + 3 \le 0;$

б) $x^2 + 2x - a > 0;$

в) $ax^2 + 3x - 4 \ge 0;$

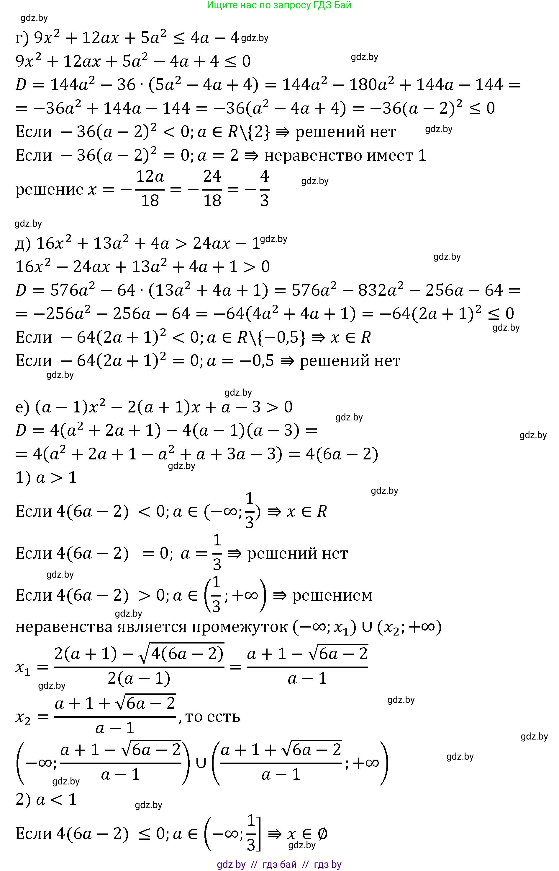
г) $9x^2 + 12ax + 5a^2 \le 4a - 4;$

д) $16x^2 + 13a^2 + 4a > 24ax - 1;$

е) $(a - 1)x^2 - 2(a + 1)x + a - 3 > 0;$

ж) $\frac{x^2}{a} - 2x - \frac{x}{a} + a + 1 > 0.$

Решение. №34 (с. 138)
Алгебра, 11 класс Сборник задач, авторы: Арефьева Ирина Глебовна, Пирютко Ольга Николаевна, издательство Народная асвета, Минск, 2020, белого цвета, страница 138, номер 34, Решение Алгебра, 11 класс Сборник задач, авторы: Арефьева Ирина Глебовна, Пирютко Ольга Николаевна, издательство Народная асвета, Минск, 2020, белого цвета, страница 138, номер 34, Решение (продолжение 2)
Решение 2. №34 (с. 138)

а) Решим неравенство $x^2 - ax + 3 \le 0$.

Это квадратное неравенство относительно $x$. Графиком функции $y = x^2 - ax + 3$ является парабола, ветви которой направлены вверх, так как коэффициент при $x^2$ равен 1 (положительный). Решение неравенства зависит от знака дискриминанта квадратного трехчлена.

Найдем дискриминант $D$ уравнения $x^2 - ax + 3 = 0$:

$D = (-a)^2 - 4 \cdot 1 \cdot 3 = a^2 - 12$.

Рассмотрим три случая:

  1. $D < 0$, то есть $a^2 - 12 < 0 \implies a^2 < 12 \implies -2\sqrt{3} < a < 2\sqrt{3}$.
    В этом случае квадратный трехчлен не имеет корней и, так как ветви параболы направлены вверх, он всегда положителен ($x^2 - ax + 3 > 0$). Следовательно, неравенство $x^2 - ax + 3 \le 0$ не имеет решений.
  2. $D = 0$, то есть $a^2 - 12 = 0 \implies a = \pm 2\sqrt{3}$.
    В этом случае квадратный трехчлен имеет один корень $x = \frac{a}{2}$. Выражение $x^2 - ax + 3$ равно нулю в этой точке и положительно при всех других значениях $x$. Неравенству $x^2 - ax + 3 \le 0$ удовлетворяет единственное значение $x$.
    При $a = 2\sqrt{3}$, $x = \frac{2\sqrt{3}}{2} = \sqrt{3}$.
    При $a = -2\sqrt{3}$, $x = \frac{-2\sqrt{3}}{2} = -\sqrt{3}$.
  3. $D > 0$, то есть $a^2 - 12 > 0 \implies a < -2\sqrt{3}$ или $a > 2\sqrt{3}$.
    В этом случае квадратный трехчлен имеет два различных корня: $x_{1,2} = \frac{a \pm \sqrt{a^2-12}}{2}$.
    Неравенство $x^2 - ax + 3 \le 0$ выполняется для значений $x$, находящихся между корнями (включая сами корни).
    $x \in \left[\frac{a - \sqrt{a^2-12}}{2}, \frac{a + \sqrt{a^2-12}}{2}\right]$.

Ответ:
- если $a \in (-\infty, -2\sqrt{3}) \cup (2\sqrt{3}, \infty)$, то $x \in \left[\frac{a - \sqrt{a^2 - 12}}{2}, \frac{a + \sqrt{a^2 - 12}}{2}\right]$;
- если $a = -2\sqrt{3}$, то $x = -\sqrt{3}$;
- если $a = 2\sqrt{3}$, то $x = \sqrt{3}$;
- если $a \in (-2\sqrt{3}, 2\sqrt{3})$, то решений нет ($x \in \emptyset$).

б) Решим неравенство $x^2 + 2x - a > 0$.

Это квадратное неравенство относительно $x$. Графиком функции $y = x^2 + 2x - a$ является парабола с ветвями вверх. Решение зависит от дискриминанта.

Найдем дискриминант $D$ уравнения $x^2 + 2x - a = 0$:

$D = 2^2 - 4 \cdot 1 \cdot (-a) = 4 + 4a = 4(1+a)$.

Рассмотрим три случая:

  1. $D < 0$, то есть $4(1+a) < 0 \implies 1+a < 0 \implies a < -1$.
    В этом случае квадратный трехчлен не имеет корней и всегда положителен. Неравенство $x^2 + 2x - a > 0$ выполняется для любых действительных $x$.
  2. $D = 0$, то есть $4(1+a) = 0 \implies a = -1$.
    Неравенство принимает вид $x^2 + 2x + 1 > 0$, или $(x+1)^2 > 0$. Это неравенство верно для всех $x$, кроме $x = -1$.
  3. $D > 0$, то есть $4(1+a) > 0 \implies a > -1$.
    Квадратное уравнение имеет два корня: $x_{1,2} = \frac{-2 \pm \sqrt{4(1+a)}}{2} = -1 \pm \sqrt{1+a}$.
    Неравенство $x^2 + 2x - a > 0$ выполняется для значений $x$ вне отрезка между корнями.
    $x \in (-\infty, -1 - \sqrt{1+a}) \cup (-1 + \sqrt{1+a}, \infty)$.

Ответ:
- если $a < -1$, то $x \in (-\infty, \infty)$;
- если $a = -1$, то $x \in (-\infty, -1) \cup (-1, \infty)$;
- если $a > -1$, то $x \in (-\infty, -1 - \sqrt{1+a}) \cup (-1 + \sqrt{1+a}, \infty)$.

в) Решим неравенство $ax^2 + 3x - 4 \ge 0$.

Это неравенство является квадратным, если $a \ne 0$, и линейным, если $a=0$.

Рассмотрим случаи:

  1. $a = 0$. Неравенство становится линейным: $3x - 4 \ge 0 \implies 3x \ge 4 \implies x \ge \frac{4}{3}$.
  2. $a > 0$. Ветви параболы $y = ax^2 + 3x - 4$ направлены вверх. Найдем дискриминант: $D = 3^2 - 4a(-4) = 9 + 16a$. При $a>0$, $D$ всегда положителен. Уравнение имеет два корня: $x_{1,2} = \frac{-3 \pm \sqrt{9+16a}}{2a}$. Неравенство выполняется вне интервала между корнями.
    $x \in \left(-\infty, \frac{-3 - \sqrt{9+16a}}{2a}\right] \cup \left[\frac{-3 + \sqrt{9+16a}}{2a}, \infty\right)$.
  3. $a < 0$. Ветви параболы направлены вниз. Дискриминант $D = 9+16a$.
    • Если $D < 0$, то есть $9+16a < 0 \implies a < -\frac{9}{16}$. Квадратный трехчлен всегда отрицателен, и неравенство $ax^2 + 3x - 4 \ge 0$ не имеет решений.
    • Если $D = 0$, то есть $a = -\frac{9}{16}$. Трехчлен имеет один корень $x = \frac{-3}{2a} = \frac{-3}{2(-9/16)} = \frac{8}{3}$. В этой точке $ax^2 + 3x - 4 = 0$, в остальных точках значение отрицательно. Неравенству удовлетворяет единственное решение $x = \frac{8}{3}$.
    • Если $D > 0$, то есть $-\frac{9}{16} < a < 0$. Уравнение имеет два корня. Неравенство выполняется между корнями. Так как $a < 0$, то $2a < 0$, и при делении на $2a$ знак неравенства меняется, поэтому больший корень будет $\frac{-3 - \sqrt{9+16a}}{2a}$. $x \in \left[\frac{-3 + \sqrt{9+16a}}{2a}, \frac{-3 - \sqrt{9+16a}}{2a}\right]$.

Ответ:
- если $a < -\frac{9}{16}$, то решений нет ($x \in \emptyset$);
- если $a = -\frac{9}{16}$, то $x = \frac{8}{3} = \textbf{2}\frac{2}{3}$;
- если $-\frac{9}{16} < a < 0$, то $x \in \left[\frac{-3 + \sqrt{9+16a}}{2a}, \frac{-3 - \sqrt{9+16a}}{2a}\right]$;
- если $a = 0$, то $x \in [\frac{4}{3}, \infty)$, то есть $x \in [\textbf{1}\frac{1}{3}, \infty)$;
- если $a > 0$, то $x \in \left(-\infty, \frac{-3 - \sqrt{9+16a}}{2a}\right] \cup \left[\frac{-3 + \sqrt{9+16a}}{2a}, \infty\right)$.

г) Решим неравенство $9x^2 + 12ax + 5a^2 \le 4a - 4$.

Перенесем все члены в левую часть: $9x^2 + 12ax + (5a^2 - 4a + 4) \le 0$.
Это квадратное неравенство относительно $x$. Ветви параболы направлены вверх ($9 > 0$). Найдем дискриминант $D/4$ (так как коэффициент при $x$ четный):

$D/4 = (6a)^2 - 9(5a^2 - 4a + 4) = 36a^2 - 45a^2 + 36a - 36 = -9a^2 + 36a - 36 = -9(a^2 - 4a + 4) = -9(a-2)^2$.

Выражение $(a-2)^2$ всегда неотрицательно, поэтому $D/4 = -9(a-2)^2 \le 0$ для любых значений $a$.

  1. Если $a \ne 2$, то $(a-2)^2 > 0$, и $D/4 < 0$. Так как ветви параболы направлены вверх, квадратный трехчлен всегда положителен. Следовательно, неравенство $9x^2 + \dots \le 0$ не имеет решений.
  2. Если $a = 2$, то $D/4 = 0$. Квадратный трехчлен имеет единственный корень $x = \frac{-12a}{2 \cdot 9} = \frac{-2a}{3} = \frac{-2(2)}{3} = -\frac{4}{3}$. В этой точке трехчлен равен нулю. Таким образом, неравенство $(3x+4)^2 \le 0$ выполняется только при $x = -\frac{4}{3}$.

Ответ:
- если $a \ne 2$, то решений нет ($x \in \emptyset$);
- если $a = 2$, то $x = -\frac{4}{3} = -\textbf{1}\frac{1}{3}$.

д) Решим неравенство $16x^2 + 13a^2 + 4a > 24ax - 1$.

Перенесем все члены в левую часть: $16x^2 - 24ax + (13a^2 + 4a + 1) > 0$.
Это квадратное неравенство с ветвями параболы вверх ($16 > 0$). Найдем дискриминант $D/4$:

$D/4 = (-12a)^2 - 16(13a^2 + 4a + 1) = 144a^2 - 208a^2 - 64a - 16 = -64a^2 - 64a - 16 = -16(4a^2 + 4a + 1) = -16(2a+1)^2$.

Выражение $(2a+1)^2$ всегда неотрицательно, поэтому $D/4 = -16(2a+1)^2 \le 0$ для любых $a$.

  1. Если $a \ne -\frac{1}{2}$, то $(2a+1)^2 > 0$, и $D/4 < 0$. Квадратный трехчлен всегда положителен, так как ветви параболы направлены вверх. Неравенство выполняется для всех действительных $x$.
  2. Если $a = -\frac{1}{2}$, то $D/4 = 0$. Квадратный трехчлен имеет один корень $x = \frac{24a}{2 \cdot 16} = \frac{3a}{4} = \frac{3(-1/2)}{4} = -\frac{3}{8}$. В этой точке трехчлен равен нулю, а при всех других $x$ он положителен. Неравенство $(4x + \frac{3}{2})^2 > 0$ выполняется для всех $x$, кроме $x = -3/8$.

Ответ:
- если $a = -\frac{1}{2}$, то $x \in (-\infty, -3/8) \cup (-3/8, \infty)$;
- если $a \ne -\frac{1}{2}$, то $x \in (-\infty, \infty)$.

е) Решим неравенство $(a-1)x^2 - 2(a+1)x + a - 3 > 0$.

Коэффициент при $x^2$ зависит от параметра $a$.

Рассмотрим случаи:

  1. $a - 1 = 0 \implies a = 1$. Неравенство становится линейным: $-2(1+1)x + 1 - 3 > 0 \implies -4x - 2 > 0 \implies -4x > 2 \implies x < -\frac{1}{2}$.
  2. $a - 1 > 0 \implies a > 1$. Ветви параболы направлены вверх. Найдем $D/4$:
    $D/4 = (-(a+1))^2 - (a-1)(a-3) = (a^2+2a+1) - (a^2-4a+3) = 6a-2$.
    При $a > 1$, $6a-2 > 6-2=4 > 0$, значит, всегда есть два корня: $x_{1,2} = \frac{a+1 \pm \sqrt{6a-2}}{a-1}$.
    Решение - вне интервала между корнями: $x \in \left(-\infty, \frac{a+1 - \sqrt{6a-2}}{a-1}\right) \cup \left(\frac{a+1 + \sqrt{6a-2}}{a-1}, \infty\right)$.
  3. $a - 1 < 0 \implies a < 1$. Ветви параболы направлены вниз. Дискриминант $D/4 = 6a-2$.
    • Если $D/4 < 0$, то есть $6a-2 < 0 \implies a < \frac{1}{3}$. Квадратный трехчлен всегда отрицателен, и неравенство $>0$ не имеет решений.
    • Если $D/4 = 0$, то есть $a = \frac{1}{3}$. Трехчлен имеет один корень, в котором он равен нулю, а в остальных точках отрицателен. Решений нет.
    • Если $D/4 > 0$, то есть $\frac{1}{3} < a < 1$. Есть два корня. Неравенство выполняется между корнями. Учитывая, что $a-1 < 0$, $x \in \left(\frac{a+1 + \sqrt{6a-2}}{a-1}, \frac{a+1 - \sqrt{6a-2}}{a-1}\right)$.

Ответ:
- если $a \le \frac{1}{3}$, то решений нет ($x \in \emptyset$);
- если $\frac{1}{3} < a < 1$, то $x \in \left(\frac{a+1 + \sqrt{6a-2}}{a-1}, \frac{a+1 - \sqrt{6a-2}}{a-1}\right)$;
- если $a = 1$, то $x \in (-\infty, -\frac{1}{2})$;
- если $a > 1$, то $x \in \left(-\infty, \frac{a+1 - \sqrt{6a-2}}{a-1}\right) \cup \left(\frac{a+1 + \sqrt{6a-2}}{a-1}, \infty\right)$.

ж) Решим неравенство $\frac{x^2}{a} - 2x - \frac{x}{a} + a + 1 > 0$.

Область определения неравенства: $a \ne 0$. Приведем к общему знаменателю и сгруппируем члены при $x$:

$\frac{x^2}{a} - \left(2 + \frac{1}{a}\right)x + (a+1) > 0 \implies \frac{x^2 - (2a+1)x + a(a+1)}{a} > 0$.

Рассмотрим два случая:

  1. $a > 0$. Умножим обе части на $a$, знак неравенства сохранится:
    $x^2 - (2a+1)x + a(a+1) > 0$.
    Разложим левую часть на множители. Корнями уравнения $x^2 - (2a+1)x + a(a+1) = 0$ являются $x_1=a$ и $x_2=a+1$.
    Неравенство принимает вид $(x-a)(x-(a+1)) > 0$.
    Так как $a < a+1$, и парабола направлена ветвями вверх, решение находится вне интервала между корнями.
    $x \in (-\infty, a) \cup (a+1, \infty)$.
  2. $a < 0$. Умножим обе части на $a$, знак неравенства изменится на противоположный:
    $x^2 - (2a+1)x + a(a+1) < 0$.
    Неравенство принимает вид $(x-a)(x-(a+1)) < 0$.
    Решение находится в интервале между корнями.
    $x \in (a, a+1)$.

Ответ:
- если $a < 0$, то $x \in (a, a+1)$;
- если $a = 0$, то неравенство не определено;
- если $a > 0$, то $x \in (-\infty, a) \cup (a+1, \infty)$.

Помогло решение? Оставьте отзыв в комментариях ниже.

Присоединяйтесь к Телеграм-группе @gdz_by_belarus

Присоединиться

Мы подготовили для вас ответ c подробным объяснением домашего задания по алгебре за 11 класс, для упражнения номер 34 расположенного на странице 138 к сборнику задач 2020 года издания для учащихся школ и гимназий.

Теперь на нашем сайте ГДЗ.ТОП вы всегда легко и бесплатно найдёте условие с правильным ответом на вопрос «Как решить ДЗ» и «Как сделать» задание по алгебре к упражнению №34 (с. 138), авторов: Арефьева (Ирина Глебовна), Пирютко (Ольга Николаевна), базовый и повышенный уровень обучения учебного пособия издательства Народная асвета.